Il piano cartesiano è il tuo strumento fondamentale per visualizzare... Mostra di più
Iscriviti per mostrare il contenutoÈ gratis!
Accesso a tutti i documenti
Migliora i tuoi voti
Unisciti a milioni di studenti
Knowunity AI
Materie
Triangle Congruence and Similarity Theorems
Triangle Properties and Classification
Linear Equations and Graphs
Geometric Angle Relationships
Trigonometric Functions and Identities
Equation Solving Techniques
Circle Geometry Fundamentals
Division Operations and Methods
Basic Differentiation Rules
Exponent and Logarithm Properties
Mostra tutti gli argomenti
Human Organ Systems
Reproductive Cell Cycles
Biological Sciences Subdisciplines
Cellular Energy Metabolism
Autotrophic Energy Processes
Inheritance Patterns and Principles
Biomolecular Structure and Organization
Cell Cycle and Division Mechanics
Cellular Organization and Development
Biological Structural Organization
Mostra tutti gli argomenti
Chemical Sciences and Applications
Atomic Structure and Composition
Molecular Electron Structure Representation
Atomic Electron Behavior
Matter Properties and Water
Mole Concept and Calculations
Gas Laws and Behavior
Periodic Table Organization
Chemical Thermodynamics Fundamentals
Chemical Bond Types and Properties
Mostra tutti gli argomenti
European Renaissance and Enlightenment
European Cultural Movements 800-1920
American Revolution Era 1763-1797
American Civil War 1861-1865
Global Imperial Systems
Mongol and Chinese Dynasties
U.S. Presidents and World Leaders
Historical Sources and Documentation
World Wars Era and Impact
World Religious Systems
Mostra tutti gli argomenti
Classic and Contemporary Novels
Literary Character Analysis
Rhetorical Theory and Practice
Classic Literary Narratives
Reading Analysis and Interpretation
Narrative Structure and Techniques
English Language Components
Influential English-Language Authors
Basic Sentence Structure
Narrative Voice and Perspective
Mostra tutti gli argomenti
3,751
•
Aggiornato Apr 1, 2026
•
carlotta guagliardo
@carlottaguagliardo
Il piano cartesiano è il tuo strumento fondamentale per visualizzare... Mostra di più











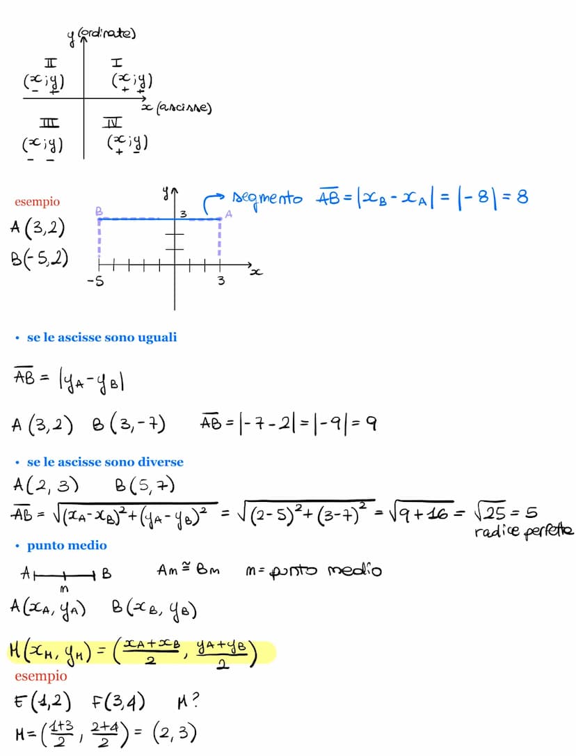
Il piano cartesiano è diviso in quattro quadranti dove ogni punto ha coordinate (x,y). Nel primo e terzo quadrante entrambe le coordinate hanno lo stesso segno, mentre nel secondo e quarto hanno segni opposti.
Per calcolare la distanza tra due punti hai tre formule essenziali. Se i punti hanno la stessa ordinata (y uguale), usi |x_B - x_A|. Se hanno la stessa ascissa (x uguale), usi |y_A - y_B|.
Quando le coordinate sono diverse, applichi il teorema di Pitagora: √. Il punto medio di un segmento ha coordinate che sono la media delle coordinate dei due estremi: .
💡 Trucco per gli esami: Controlla sempre se i punti sono allineati orizzontalmente o verticalmente prima di usare la formula completa della distanza!

L'equazione di una retta può essere scritta in due forme principali. La forma esplicita y = mx + q è più intuitiva, mentre quella implicita ax + by + c = 0 è utile per i calcoli.
Il coefficiente angolare m indica l'inclinazione della retta. Se m > 0, la retta passa per il primo e terzo quadrante; se m < 0, passa per il secondo e quarto quadrante. Il termine noto q rappresenta dove la retta interseca l'asse y.
Le rette particolari sono facili da riconoscere: x = 0 è l'asse y, y = 0 è l'asse x, y = x è la bisettrice del primo e terzo quadrante, y = -x è quella del secondo e quarto.
💡 Memorizza: Il coefficiente angolare m = Δy/Δx ti dice sempre "quanto sale" la retta per ogni unità che vai a destra!

Per disegnare una retta parti dall'equazione y = mx + q e calcola almeno due punti. Sostituisci valori semplici per x e trova le corrispondenti y.
Le rette parallele agli assi hanno equazioni particolari. Le rette verticali hanno equazione x = h (dove h è un numero fisso), mentre quelle orizzontali hanno y = k. Queste rette sono fondamentali per molti esercizi.
Quando rappresenti graficamente, ricorda che il punto (0, q) è sempre sulla retta perché è l'intersezione con l'asse y. Da lì puoi usare il coefficiente angolare per trovare altri punti.
💡 Strategia vincente: Usa sempre x = 0 come primo punto da calcolare - ti dà subito l'intercetta y!

Per verificare se un punto appartiene a una retta, sostituisci le sue coordinate nell'equazione. Se ottieni un'uguaglianza , il punto appartiene alla retta. Se ottieni una disuguaglianza , il punto non appartiene.
L'intersezione tra due rette si trova risolvendo il sistema formato dalle loro equazioni. Il tipo di soluzione ti dice la relazione tra le rette: se il sistema è determinato sono incidenti, se indeterminato sono coincidenti, se impossibile sono parallele.
Questo collegamento tra rette e sistemi lineari è fondamentale per capire la geometria analitica. Ogni coppia di rette corrisponde a un sistema di due equazioni in due incognite.
💡 Collegamento importante: Rette parallele = sistema impossibile, rette coincidenti = sistema indeterminato!

Due rette sono parallele quando hanno lo stesso coefficiente angolare: m₁ = m₂. È una condizione semplice ma potentissima per riconoscere rette parallele.
La perpendicolarità è più complessa: due rette sono perpendicolari quando m₁ × m₂ = -1, oppure quando m₁ = -1/m₂ (antireciproco). Se una retta ha coefficiente 2, quella perpendicolare avrà -1/2.
Questi concetti sono essenziali per costruire rette con caratteristiche specifiche. Sapere come trovare rette parallele o perpendicolari a una data ti permette di risolvere molti problemi geometrici.
💡 Regola d'oro: Per la perpendicolare, cambia il segno e capovolgi il coefficiente angolare!

Un fascio proprio è un insieme di rette che passano tutte per lo stesso punto, chiamato centro del fascio. La sua equazione generale è y - y_p = m, dove P è il centro.
Il fascio improprio è formato da rette parallele, tutte con lo stesso coefficiente angolare ma termini noti diversi. Non hanno un punto in comune.
Per trovare il fascio di rette passanti per l'intersezione di due rette date, prima risolvi il sistema per trovare il punto di intersezione, poi scrivi l'equazione del fascio proprio con quel centro.
💡 Visualizza: Il fascio proprio è come un ventaglio che si apre da un punto fisso!

Ci sono tre metodi principali per scrivere l'equazione di una retta. Con punto e coefficiente angolare noti, usi y - y_p = m.
Con due punti noti, prima calcoli il coefficiente angolare m = /, poi applichi la formula del punto precedente.
L'asse di un segmento è più complesso: devi trovare il punto medio, calcolare il coefficiente angolare del segmento, trovare quello perpendicolare (antireciproco), e infine scrivere l'equazione della retta che passa per il punto medio con il coefficiente perpendicolare.
💡 Procedura standard: Punto medio → coefficiente angolare → perpendicolare → equazione finale!

La distanza da un punto a una retta si calcola con la formula d = |ax_p + by_p + c|/√, dove la retta è in forma implicita ax + by + c = 0.
Il baricentro di un triangolo è il punto di incontro delle mediane e ha coordinate G = . È semplicemente la media delle coordinate dei tre vertici.
Questi strumenti sono fondamentali per risolvere problemi di ottimizzazione e per trovare punti particolari nelle figure geometriche.
💡 Ricorda: Il baricentro divide ogni mediana nel rapporto 2:1 dal vertice!

L'asse di un segmento può essere trovato con due metodi. Il primo usa il punto medio e la perpendicolarità. Il secondo usa la definizione: l'asse è il luogo dei punti equidistanti dagli estremi, quindi imposti PA = PB.
Le bisettrici degli angoli formati da due rette sono i luoghi geometrici dei punti equidistanti dalle due rette. Usi la formula delle distanze punto-retta uguagliandole: ±/√ = ±/√.
Il doppio segno ± ti dà le due bisettrici che dividono gli angoli opposti formati dalle due rette.
💡 Attenzione: Le bisettrici sono sempre due e sono perpendicolari tra loro!

Un fascio di rette può essere rappresentato come combinazione lineare di due rette generatrici: ax + by + c + k = 0, dove k è un parametro.
Per analizzare un fascio, prima identifica le rette generatrici ponendo k = 0 e il coefficiente della k uguale a zero. Poi trova il centro risolvendo il sistema formato dalle due generatrici.
Se il sistema delle generatrici ha una soluzione unica, il fascio è proprio (le rette si incontrano in un punto). Se il sistema è impossibile, il fascio è improprio (rette parallele).
💡 Strategia: Raggruppa sempre i termini con k e quelli senza k separatamente per identificare le generatrici!
Il nostro assistente AI è costruito specificamente per le esigenze degli studenti. Sulla base dei milioni di contenuti presenti sulla piattaforma, possiamo fornire agli studenti risposte davvero significative e pertinenti. Ma non si tratta solo di risposte, l'assistente è in grado di guidare gli studenti attraverso le loro sfide quotidiane di studio, con piani di studio personalizzati, quiz o contenuti nella chat e una personalizzazione al 100% basata sulle competenze e sugli sviluppi degli studenti.
È possibile scaricare l'applicazione dal Google Play Store e dall'Apple App Store.
Sì, hai accesso completamente gratuito a tutti i contenuti nell'app e puoi chattare o seguire i Creatori in qualsiasi momento. Sbloccherai nuove funzioni crescendo il tuo numero di follower. Inoltre, offriamo Knowunity Premium, che consente di studiare senza alcun limite!!
App Store
Google Play
L'applicazione è molto facile da usare e ben progettata. Finora ho trovato tutto quello che cercavo e ho potuto imparare molto dalle presentazioni! Utilizzerò sicuramente l'app per i compiti in classe! È molto utile anche come fonte di ispirazione.
Stefano S
utente iOS
Questa applicazione è davvero grande! Ci sono tantissimi appunti e aiuti con lo studio [...]. La mia materia problematica, per esempio, è il francese e l'app ha così tante opzioni per aiutarmi. Grazie a questa app ho migliorato il mio francese. La consiglio a tutti.
Samantha Klich
utente Android
Wow, sono davvero stupita. Ho appena provato l'app perché l'ho vista pubblicizzata molte volte e sono rimasta assolutamente sbalordita. Questa app è L'AIUTO che cercate per la scuola e soprattutto offre tantissime cose, come allenamenti e schede, che a me personalmente sono state MOLTO utili.
Anna
utente iOS
È bellissima questa app, la adoro. È utilissima per lo studio e mi aiuta molto, anzi moltissimo, ma soprattutto mi aiutano molto i quiz, per memorizzare anche quello che non sapevo
Anastasia
utente Android
Fantastica per qualsiasi materia avere gli appunti anche di altre persone è molto utile perchè posso confrontarmi e vedere come migliorarmi. con i quiz riesco ad apprendere al meglio.
Francesca
utente Android
moooolto utile,gli appunti sono belli e funzionanti,schoolGPT da dei consigli formidabili!!
Marianna
utente Android
L'applicazione è semplicemente fantastica! Tutto ciò che devo fare è inserire l'argomento nella barra di ricerca e ottengo la risposta molto velocemente. Non devo guardare 10 video di YouTube per capire qualcosa, quindi risparmio tempo. Consigliatissima!
Sudenaz Ocak
utente Android
A scuola andavo malissimo in matematica, ma grazie a questa applicazione ora vado meglio. Vi sono molto grato per aver creato questa app.
Greenlight Bonnie
utente Android
Knowunity è un applicazione fantastica,considerando che ha degli schemi veramente molto carini e sfiziosi e che ci sono dei quiz,oltre al fatto che questa cosa dell intelligenza artificiale "school gpt" è almeno per me molto utile, perché a differenza di Chatgpt ti da le spiegazioni, ti spiega ciò che non è chiaro! Posso studiare più velocemente tramite gli schemi e che posso pubblicare io stessa gli schemi è una funzione utilissima per gli altri studenti. Knowunity è PERFETTA
Aurora
utente Android
L’app funziona benissimo e puoi trovare qualsiasi tipo di informazione. Non ho l’abbonamento ma la parte gratuita è sufficiente per uno studio approfondito.
Martina
utente iOS
I quiz E LE flashcard SONO COSÌ UTILI E ADORO Knowunity IA. È ANCHE LETTERALMENTE COME CHATGPT MA PIÙ INTELLIGENTE!! MI HA AIUTATO ANCHE COI MIEI PROBLEMI DI MASCARA!! E ANCHE CON LE MIE VERE MATERIE! OVVIO 😍😁😲🤑💗✨🎀😮
Chiara
utente IOS
Questa app è una delle migliori, nient’altro da dire.
Andrea
utente iOS
L'applicazione è molto facile da usare e ben progettata. Finora ho trovato tutto quello che cercavo e ho potuto imparare molto dalle presentazioni! Utilizzerò sicuramente l'app per i compiti in classe! È molto utile anche come fonte di ispirazione.
Stefano S
utente iOS
Questa applicazione è davvero grande! Ci sono tantissimi appunti e aiuti con lo studio [...]. La mia materia problematica, per esempio, è il francese e l'app ha così tante opzioni per aiutarmi. Grazie a questa app ho migliorato il mio francese. La consiglio a tutti.
Samantha Klich
utente Android
Wow, sono davvero stupita. Ho appena provato l'app perché l'ho vista pubblicizzata molte volte e sono rimasta assolutamente sbalordita. Questa app è L'AIUTO che cercate per la scuola e soprattutto offre tantissime cose, come allenamenti e schede, che a me personalmente sono state MOLTO utili.
Anna
utente iOS
È bellissima questa app, la adoro. È utilissima per lo studio e mi aiuta molto, anzi moltissimo, ma soprattutto mi aiutano molto i quiz, per memorizzare anche quello che non sapevo
Anastasia
utente Android
Fantastica per qualsiasi materia avere gli appunti anche di altre persone è molto utile perchè posso confrontarmi e vedere come migliorarmi. con i quiz riesco ad apprendere al meglio.
Francesca
utente Android
moooolto utile,gli appunti sono belli e funzionanti,schoolGPT da dei consigli formidabili!!
Marianna
utente Android
L'applicazione è semplicemente fantastica! Tutto ciò che devo fare è inserire l'argomento nella barra di ricerca e ottengo la risposta molto velocemente. Non devo guardare 10 video di YouTube per capire qualcosa, quindi risparmio tempo. Consigliatissima!
Sudenaz Ocak
utente Android
A scuola andavo malissimo in matematica, ma grazie a questa applicazione ora vado meglio. Vi sono molto grato per aver creato questa app.
Greenlight Bonnie
utente Android
Knowunity è un applicazione fantastica,considerando che ha degli schemi veramente molto carini e sfiziosi e che ci sono dei quiz,oltre al fatto che questa cosa dell intelligenza artificiale "school gpt" è almeno per me molto utile, perché a differenza di Chatgpt ti da le spiegazioni, ti spiega ciò che non è chiaro! Posso studiare più velocemente tramite gli schemi e che posso pubblicare io stessa gli schemi è una funzione utilissima per gli altri studenti. Knowunity è PERFETTA
Aurora
utente Android
L’app funziona benissimo e puoi trovare qualsiasi tipo di informazione. Non ho l’abbonamento ma la parte gratuita è sufficiente per uno studio approfondito.
Martina
utente iOS
I quiz E LE flashcard SONO COSÌ UTILI E ADORO Knowunity IA. È ANCHE LETTERALMENTE COME CHATGPT MA PIÙ INTELLIGENTE!! MI HA AIUTATO ANCHE COI MIEI PROBLEMI DI MASCARA!! E ANCHE CON LE MIE VERE MATERIE! OVVIO 😍😁😲🤑💗✨🎀😮
Chiara
utente IOS
Questa app è una delle migliori, nient’altro da dire.
Andrea
utente iOS
carlotta guagliardo
@carlottaguagliardo
Il piano cartesiano è il tuo strumento fondamentale per visualizzare e risolvere problemi di geometria analitica. Qui imparerai tutto quello che serve per padroneggiare punti, rette e le loro relazioni, dalle formule di base ai concetti più avanzati come i... Mostra di più

Accesso a tutti i documenti
Migliora i tuoi voti
Unisciti a milioni di studenti
Il piano cartesiano è diviso in quattro quadranti dove ogni punto ha coordinate (x,y). Nel primo e terzo quadrante entrambe le coordinate hanno lo stesso segno, mentre nel secondo e quarto hanno segni opposti.
Per calcolare la distanza tra due punti hai tre formule essenziali. Se i punti hanno la stessa ordinata (y uguale), usi |x_B - x_A|. Se hanno la stessa ascissa (x uguale), usi |y_A - y_B|.
Quando le coordinate sono diverse, applichi il teorema di Pitagora: √. Il punto medio di un segmento ha coordinate che sono la media delle coordinate dei due estremi: .
💡 Trucco per gli esami: Controlla sempre se i punti sono allineati orizzontalmente o verticalmente prima di usare la formula completa della distanza!

Accesso a tutti i documenti
Migliora i tuoi voti
Unisciti a milioni di studenti
L'equazione di una retta può essere scritta in due forme principali. La forma esplicita y = mx + q è più intuitiva, mentre quella implicita ax + by + c = 0 è utile per i calcoli.
Il coefficiente angolare m indica l'inclinazione della retta. Se m > 0, la retta passa per il primo e terzo quadrante; se m < 0, passa per il secondo e quarto quadrante. Il termine noto q rappresenta dove la retta interseca l'asse y.
Le rette particolari sono facili da riconoscere: x = 0 è l'asse y, y = 0 è l'asse x, y = x è la bisettrice del primo e terzo quadrante, y = -x è quella del secondo e quarto.
💡 Memorizza: Il coefficiente angolare m = Δy/Δx ti dice sempre "quanto sale" la retta per ogni unità che vai a destra!

Accesso a tutti i documenti
Migliora i tuoi voti
Unisciti a milioni di studenti
Per disegnare una retta parti dall'equazione y = mx + q e calcola almeno due punti. Sostituisci valori semplici per x e trova le corrispondenti y.
Le rette parallele agli assi hanno equazioni particolari. Le rette verticali hanno equazione x = h (dove h è un numero fisso), mentre quelle orizzontali hanno y = k. Queste rette sono fondamentali per molti esercizi.
Quando rappresenti graficamente, ricorda che il punto (0, q) è sempre sulla retta perché è l'intersezione con l'asse y. Da lì puoi usare il coefficiente angolare per trovare altri punti.
💡 Strategia vincente: Usa sempre x = 0 come primo punto da calcolare - ti dà subito l'intercetta y!

Accesso a tutti i documenti
Migliora i tuoi voti
Unisciti a milioni di studenti
Per verificare se un punto appartiene a una retta, sostituisci le sue coordinate nell'equazione. Se ottieni un'uguaglianza , il punto appartiene alla retta. Se ottieni una disuguaglianza , il punto non appartiene.
L'intersezione tra due rette si trova risolvendo il sistema formato dalle loro equazioni. Il tipo di soluzione ti dice la relazione tra le rette: se il sistema è determinato sono incidenti, se indeterminato sono coincidenti, se impossibile sono parallele.
Questo collegamento tra rette e sistemi lineari è fondamentale per capire la geometria analitica. Ogni coppia di rette corrisponde a un sistema di due equazioni in due incognite.
💡 Collegamento importante: Rette parallele = sistema impossibile, rette coincidenti = sistema indeterminato!

Accesso a tutti i documenti
Migliora i tuoi voti
Unisciti a milioni di studenti
Due rette sono parallele quando hanno lo stesso coefficiente angolare: m₁ = m₂. È una condizione semplice ma potentissima per riconoscere rette parallele.
La perpendicolarità è più complessa: due rette sono perpendicolari quando m₁ × m₂ = -1, oppure quando m₁ = -1/m₂ (antireciproco). Se una retta ha coefficiente 2, quella perpendicolare avrà -1/2.
Questi concetti sono essenziali per costruire rette con caratteristiche specifiche. Sapere come trovare rette parallele o perpendicolari a una data ti permette di risolvere molti problemi geometrici.
💡 Regola d'oro: Per la perpendicolare, cambia il segno e capovolgi il coefficiente angolare!

Accesso a tutti i documenti
Migliora i tuoi voti
Unisciti a milioni di studenti
Un fascio proprio è un insieme di rette che passano tutte per lo stesso punto, chiamato centro del fascio. La sua equazione generale è y - y_p = m, dove P è il centro.
Il fascio improprio è formato da rette parallele, tutte con lo stesso coefficiente angolare ma termini noti diversi. Non hanno un punto in comune.
Per trovare il fascio di rette passanti per l'intersezione di due rette date, prima risolvi il sistema per trovare il punto di intersezione, poi scrivi l'equazione del fascio proprio con quel centro.
💡 Visualizza: Il fascio proprio è come un ventaglio che si apre da un punto fisso!

Accesso a tutti i documenti
Migliora i tuoi voti
Unisciti a milioni di studenti
Ci sono tre metodi principali per scrivere l'equazione di una retta. Con punto e coefficiente angolare noti, usi y - y_p = m.
Con due punti noti, prima calcoli il coefficiente angolare m = /, poi applichi la formula del punto precedente.
L'asse di un segmento è più complesso: devi trovare il punto medio, calcolare il coefficiente angolare del segmento, trovare quello perpendicolare (antireciproco), e infine scrivere l'equazione della retta che passa per il punto medio con il coefficiente perpendicolare.
💡 Procedura standard: Punto medio → coefficiente angolare → perpendicolare → equazione finale!

Accesso a tutti i documenti
Migliora i tuoi voti
Unisciti a milioni di studenti
La distanza da un punto a una retta si calcola con la formula d = |ax_p + by_p + c|/√, dove la retta è in forma implicita ax + by + c = 0.
Il baricentro di un triangolo è il punto di incontro delle mediane e ha coordinate G = . È semplicemente la media delle coordinate dei tre vertici.
Questi strumenti sono fondamentali per risolvere problemi di ottimizzazione e per trovare punti particolari nelle figure geometriche.
💡 Ricorda: Il baricentro divide ogni mediana nel rapporto 2:1 dal vertice!

Accesso a tutti i documenti
Migliora i tuoi voti
Unisciti a milioni di studenti
L'asse di un segmento può essere trovato con due metodi. Il primo usa il punto medio e la perpendicolarità. Il secondo usa la definizione: l'asse è il luogo dei punti equidistanti dagli estremi, quindi imposti PA = PB.
Le bisettrici degli angoli formati da due rette sono i luoghi geometrici dei punti equidistanti dalle due rette. Usi la formula delle distanze punto-retta uguagliandole: ±/√ = ±/√.
Il doppio segno ± ti dà le due bisettrici che dividono gli angoli opposti formati dalle due rette.
💡 Attenzione: Le bisettrici sono sempre due e sono perpendicolari tra loro!

Accesso a tutti i documenti
Migliora i tuoi voti
Unisciti a milioni di studenti
Un fascio di rette può essere rappresentato come combinazione lineare di due rette generatrici: ax + by + c + k = 0, dove k è un parametro.
Per analizzare un fascio, prima identifica le rette generatrici ponendo k = 0 e il coefficiente della k uguale a zero. Poi trova il centro risolvendo il sistema formato dalle due generatrici.
Se il sistema delle generatrici ha una soluzione unica, il fascio è proprio (le rette si incontrano in un punto). Se il sistema è impossibile, il fascio è improprio (rette parallele).
💡 Strategia: Raggruppa sempre i termini con k e quelli senza k separatamente per identificare le generatrici!
Il nostro assistente AI è costruito specificamente per le esigenze degli studenti. Sulla base dei milioni di contenuti presenti sulla piattaforma, possiamo fornire agli studenti risposte davvero significative e pertinenti. Ma non si tratta solo di risposte, l'assistente è in grado di guidare gli studenti attraverso le loro sfide quotidiane di studio, con piani di studio personalizzati, quiz o contenuti nella chat e una personalizzazione al 100% basata sulle competenze e sugli sviluppi degli studenti.
È possibile scaricare l'applicazione dal Google Play Store e dall'Apple App Store.
Sì, hai accesso completamente gratuito a tutti i contenuti nell'app e puoi chattare o seguire i Creatori in qualsiasi momento. Sbloccherai nuove funzioni crescendo il tuo numero di follower. Inoltre, offriamo Knowunity Premium, che consente di studiare senza alcun limite!!
37
Strumenti Intelligenti NUOVO
Trasforma questi appunti in: ✓ 50+ Domande di Pratica ✓ Flashcard Interattive ✓ Simulazione d'esame completa ✓ Schemi per Saggi
Reve schema riassuntivo sulle disequazioni di secondo grado, utile per il ripasso o per il consolidamento degli argomenti giá studiati
appunti matematica che SPIEGANO OGNI PASSAGGIO per questi metodi: - divisione in riga tra monomio e polinomio. divisione in colonna tra polinomio e polinomio. divisione con la regola di Ruffini (tabella). teorema del resto di Ruffini. teorema del resto.
Risolviamo disequazioni fratte, sistemi di disequazioni e equazioni irrazionali con valore assoluto. Studio del segno e soluzioni comuni.
Formulario delle principali regole e formule del piano cartesiano e dell'equazione della retta.
Formulario su Retta e Parabola
Appunti presi in classe
App Store
Google Play
L'applicazione è molto facile da usare e ben progettata. Finora ho trovato tutto quello che cercavo e ho potuto imparare molto dalle presentazioni! Utilizzerò sicuramente l'app per i compiti in classe! È molto utile anche come fonte di ispirazione.
Stefano S
utente iOS
Questa applicazione è davvero grande! Ci sono tantissimi appunti e aiuti con lo studio [...]. La mia materia problematica, per esempio, è il francese e l'app ha così tante opzioni per aiutarmi. Grazie a questa app ho migliorato il mio francese. La consiglio a tutti.
Samantha Klich
utente Android
Wow, sono davvero stupita. Ho appena provato l'app perché l'ho vista pubblicizzata molte volte e sono rimasta assolutamente sbalordita. Questa app è L'AIUTO che cercate per la scuola e soprattutto offre tantissime cose, come allenamenti e schede, che a me personalmente sono state MOLTO utili.
Anna
utente iOS
È bellissima questa app, la adoro. È utilissima per lo studio e mi aiuta molto, anzi moltissimo, ma soprattutto mi aiutano molto i quiz, per memorizzare anche quello che non sapevo
Anastasia
utente Android
Fantastica per qualsiasi materia avere gli appunti anche di altre persone è molto utile perchè posso confrontarmi e vedere come migliorarmi. con i quiz riesco ad apprendere al meglio.
Francesca
utente Android
moooolto utile,gli appunti sono belli e funzionanti,schoolGPT da dei consigli formidabili!!
Marianna
utente Android
L'applicazione è semplicemente fantastica! Tutto ciò che devo fare è inserire l'argomento nella barra di ricerca e ottengo la risposta molto velocemente. Non devo guardare 10 video di YouTube per capire qualcosa, quindi risparmio tempo. Consigliatissima!
Sudenaz Ocak
utente Android
A scuola andavo malissimo in matematica, ma grazie a questa applicazione ora vado meglio. Vi sono molto grato per aver creato questa app.
Greenlight Bonnie
utente Android
Knowunity è un applicazione fantastica,considerando che ha degli schemi veramente molto carini e sfiziosi e che ci sono dei quiz,oltre al fatto che questa cosa dell intelligenza artificiale "school gpt" è almeno per me molto utile, perché a differenza di Chatgpt ti da le spiegazioni, ti spiega ciò che non è chiaro! Posso studiare più velocemente tramite gli schemi e che posso pubblicare io stessa gli schemi è una funzione utilissima per gli altri studenti. Knowunity è PERFETTA
Aurora
utente Android
L’app funziona benissimo e puoi trovare qualsiasi tipo di informazione. Non ho l’abbonamento ma la parte gratuita è sufficiente per uno studio approfondito.
Martina
utente iOS
I quiz E LE flashcard SONO COSÌ UTILI E ADORO Knowunity IA. È ANCHE LETTERALMENTE COME CHATGPT MA PIÙ INTELLIGENTE!! MI HA AIUTATO ANCHE COI MIEI PROBLEMI DI MASCARA!! E ANCHE CON LE MIE VERE MATERIE! OVVIO 😍😁😲🤑💗✨🎀😮
Chiara
utente IOS
Questa app è una delle migliori, nient’altro da dire.
Andrea
utente iOS
L'applicazione è molto facile da usare e ben progettata. Finora ho trovato tutto quello che cercavo e ho potuto imparare molto dalle presentazioni! Utilizzerò sicuramente l'app per i compiti in classe! È molto utile anche come fonte di ispirazione.
Stefano S
utente iOS
Questa applicazione è davvero grande! Ci sono tantissimi appunti e aiuti con lo studio [...]. La mia materia problematica, per esempio, è il francese e l'app ha così tante opzioni per aiutarmi. Grazie a questa app ho migliorato il mio francese. La consiglio a tutti.
Samantha Klich
utente Android
Wow, sono davvero stupita. Ho appena provato l'app perché l'ho vista pubblicizzata molte volte e sono rimasta assolutamente sbalordita. Questa app è L'AIUTO che cercate per la scuola e soprattutto offre tantissime cose, come allenamenti e schede, che a me personalmente sono state MOLTO utili.
Anna
utente iOS
È bellissima questa app, la adoro. È utilissima per lo studio e mi aiuta molto, anzi moltissimo, ma soprattutto mi aiutano molto i quiz, per memorizzare anche quello che non sapevo
Anastasia
utente Android
Fantastica per qualsiasi materia avere gli appunti anche di altre persone è molto utile perchè posso confrontarmi e vedere come migliorarmi. con i quiz riesco ad apprendere al meglio.
Francesca
utente Android
moooolto utile,gli appunti sono belli e funzionanti,schoolGPT da dei consigli formidabili!!
Marianna
utente Android
L'applicazione è semplicemente fantastica! Tutto ciò che devo fare è inserire l'argomento nella barra di ricerca e ottengo la risposta molto velocemente. Non devo guardare 10 video di YouTube per capire qualcosa, quindi risparmio tempo. Consigliatissima!
Sudenaz Ocak
utente Android
A scuola andavo malissimo in matematica, ma grazie a questa applicazione ora vado meglio. Vi sono molto grato per aver creato questa app.
Greenlight Bonnie
utente Android
Knowunity è un applicazione fantastica,considerando che ha degli schemi veramente molto carini e sfiziosi e che ci sono dei quiz,oltre al fatto che questa cosa dell intelligenza artificiale "school gpt" è almeno per me molto utile, perché a differenza di Chatgpt ti da le spiegazioni, ti spiega ciò che non è chiaro! Posso studiare più velocemente tramite gli schemi e che posso pubblicare io stessa gli schemi è una funzione utilissima per gli altri studenti. Knowunity è PERFETTA
Aurora
utente Android
L’app funziona benissimo e puoi trovare qualsiasi tipo di informazione. Non ho l’abbonamento ma la parte gratuita è sufficiente per uno studio approfondito.
Martina
utente iOS
I quiz E LE flashcard SONO COSÌ UTILI E ADORO Knowunity IA. È ANCHE LETTERALMENTE COME CHATGPT MA PIÙ INTELLIGENTE!! MI HA AIUTATO ANCHE COI MIEI PROBLEMI DI MASCARA!! E ANCHE CON LE MIE VERE MATERIE! OVVIO 😍😁😲🤑💗✨🎀😮
Chiara
utente IOS
Questa app è una delle migliori, nient’altro da dire.
Andrea
utente iOS