APPUNTI SPIEGATI ED ESERCIZI SVOLTI sulle funzioni, complete di dominio, codominio, crescente, descrescente, costante, asintoti, insieme positività
Iscriviti per mostrare il contenutoÈ gratis!
Accesso a tutti i documenti
Migliora i tuoi voti
Unisciti a milioni di studenti
Iscrivendosi si accettano i Termini di servizio e la Informativa sulla privacy.











![parentesi []
parentesi ()
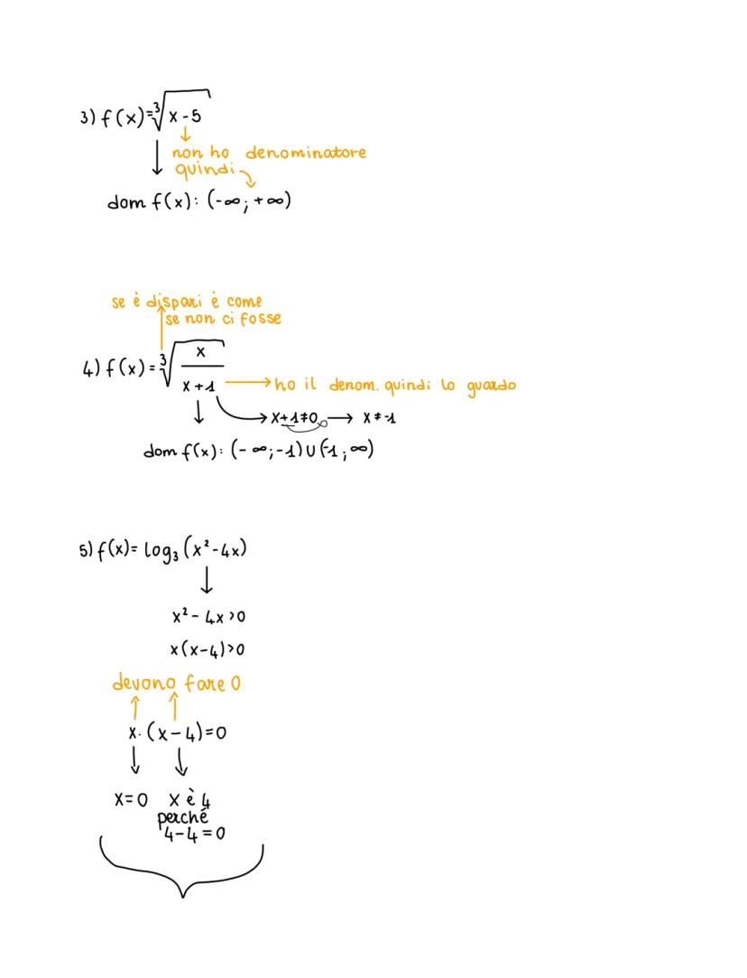
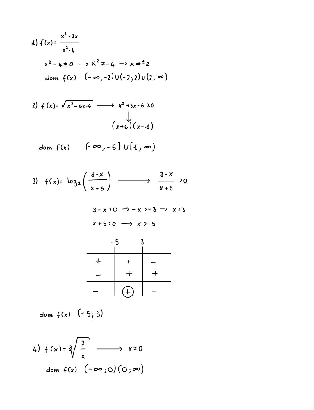
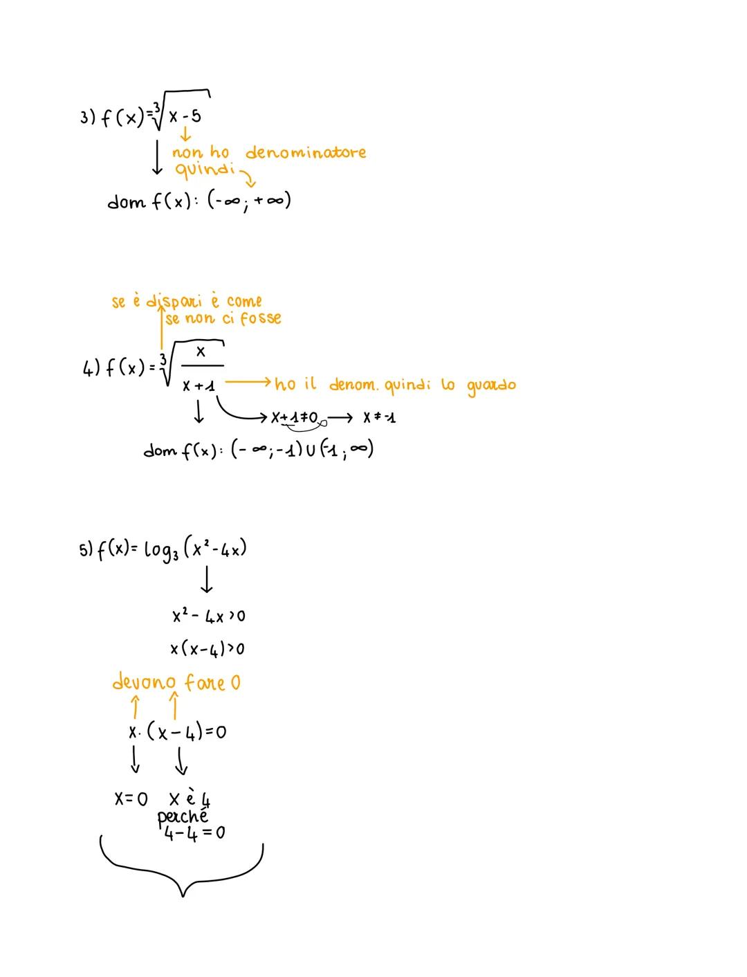
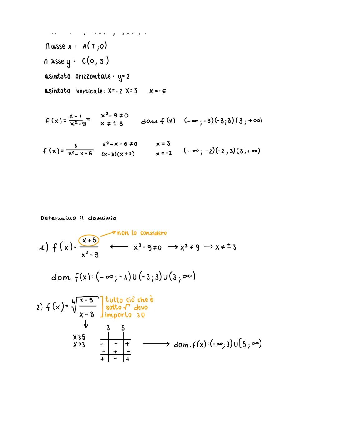
DOMINIO
f(x)=y=x²
DOMINIO dom f(x) = [1,4]
CODOMINIO : [6;8]
CRESCENTE: (2,3)
DECRESCENTE: (1,2)
COSTANTE: (3,4)
I](/_next/image?url=https%3A%2F%2Fcontent-eu-central-1.knowunity.com%2FCONTENT%2FxUtvyLkMsbpDxnJLlaHs_image_page_1.webp&w=2048&q=75)
![parentesi []
parentesi ()
DOMINIO
f(x)=y=x²
DOMINIO dom f(x) = [1,4]
CODOMINIO : [6;8]
CRESCENTE: (2,3)
DECRESCENTE: (1,2)
COSTANTE: (3,4)
I](/_next/image?url=https%3A%2F%2Fcontent-eu-central-1.knowunity.com%2FCONTENT%2FxUtvyLkMsbpDxnJLlaHs_image_page_2.webp&w=2048&q=75)
![parentesi []
parentesi ()
DOMINIO
f(x)=y=x²
DOMINIO dom f(x) = [1,4]
CODOMINIO : [6;8]
CRESCENTE: (2,3)
DECRESCENTE: (1,2)
COSTANTE: (3,4)
I](/_next/image?url=https%3A%2F%2Fcontent-eu-central-1.knowunity.com%2FCONTENT%2FxUtvyLkMsbpDxnJLlaHs_image_page_3.webp&w=2048&q=75)
![parentesi []
parentesi ()
DOMINIO
f(x)=y=x²
DOMINIO dom f(x) = [1,4]
CODOMINIO : [6;8]
CRESCENTE: (2,3)
DECRESCENTE: (1,2)
COSTANTE: (3,4)
I](/_next/image?url=https%3A%2F%2Fcontent-eu-central-1.knowunity.com%2FCONTENT%2FxUtvyLkMsbpDxnJLlaHs_image_page_4.webp&w=2048&q=75)
![parentesi []
parentesi ()
DOMINIO
f(x)=y=x²
DOMINIO dom f(x) = [1,4]
CODOMINIO : [6;8]
CRESCENTE: (2,3)
DECRESCENTE: (1,2)
COSTANTE: (3,4)
I](/_next/image?url=https%3A%2F%2Fcontent-eu-central-1.knowunity.com%2FCONTENT%2FxUtvyLkMsbpDxnJLlaHs_image_page_5.webp&w=2048&q=75)
![parentesi []
parentesi ()
DOMINIO
f(x)=y=x²
DOMINIO dom f(x) = [1,4]
CODOMINIO : [6;8]
CRESCENTE: (2,3)
DECRESCENTE: (1,2)
COSTANTE: (3,4)
I](/_next/image?url=https%3A%2F%2Fcontent-eu-central-1.knowunity.com%2FCONTENT%2FxUtvyLkMsbpDxnJLlaHs_image_page_6.webp&w=2048&q=75)
![parentesi []
parentesi ()
DOMINIO
f(x)=y=x²
DOMINIO dom f(x) = [1,4]
CODOMINIO : [6;8]
CRESCENTE: (2,3)
DECRESCENTE: (1,2)
COSTANTE: (3,4)
I](/_next/image?url=https%3A%2F%2Fcontent-eu-central-1.knowunity.com%2FCONTENT%2FxUtvyLkMsbpDxnJLlaHs_image_page_7.webp&w=2048&q=75)
![parentesi []
parentesi ()
DOMINIO
f(x)=y=x²
DOMINIO dom f(x) = [1,4]
CODOMINIO : [6;8]
CRESCENTE: (2,3)
DECRESCENTE: (1,2)
COSTANTE: (3,4)
I](/_next/image?url=https%3A%2F%2Fcontent-eu-central-1.knowunity.com%2FCONTENT%2FxUtvyLkMsbpDxnJLlaHs_image_page_8.webp&w=2048&q=75)
![parentesi []
parentesi ()
DOMINIO
f(x)=y=x²
DOMINIO dom f(x) = [1,4]
CODOMINIO : [6;8]
CRESCENTE: (2,3)
DECRESCENTE: (1,2)
COSTANTE: (3,4)
I](/_next/image?url=https%3A%2F%2Fcontent-eu-central-1.knowunity.com%2FCONTENT%2FxUtvyLkMsbpDxnJLlaHs_image_page_9.webp&w=2048&q=75)
![parentesi []
parentesi ()
DOMINIO
f(x)=y=x²
DOMINIO dom f(x) = [1,4]
CODOMINIO : [6;8]
CRESCENTE: (2,3)
DECRESCENTE: (1,2)
COSTANTE: (3,4)
I](/_next/image?url=https%3A%2F%2Fcontent-eu-central-1.knowunity.com%2FCONTENT%2FxUtvyLkMsbpDxnJLlaHs_image_page_10.webp&w=2048&q=75)