Dopo aver conquistato l'Italia, Roma si scontra con Cartagine per... Mostra di più
Iscriviti per mostrare il contenutoÈ gratis!
Accesso a tutti i documenti
Migliora i tuoi voti
Unisciti a milioni di studenti
Knowunity AI
Materie
Triangle Congruence and Similarity Theorems
Triangle Properties and Classification
Linear Equations and Graphs
Geometric Angle Relationships
Trigonometric Functions and Identities
Equation Solving Techniques
Circle Geometry Fundamentals
Division Operations and Methods
Basic Differentiation Rules
Exponent and Logarithm Properties
Mostra tutti gli argomenti
Human Organ Systems
Reproductive Cell Cycles
Biological Sciences Subdisciplines
Cellular Energy Metabolism
Autotrophic Energy Processes
Inheritance Patterns and Principles
Biomolecular Structure and Organization
Cell Cycle and Division Mechanics
Cellular Organization and Development
Biological Structural Organization
Mostra tutti gli argomenti
Chemical Sciences and Applications
Atomic Structure and Composition
Molecular Electron Structure Representation
Atomic Electron Behavior
Matter Properties and Water
Mole Concept and Calculations
Gas Laws and Behavior
Periodic Table Organization
Chemical Thermodynamics Fundamentals
Chemical Bond Types and Properties
Mostra tutti gli argomenti
European Renaissance and Enlightenment
European Cultural Movements 800-1920
American Revolution Era 1763-1797
American Civil War 1861-1865
Global Imperial Systems
Mongol and Chinese Dynasties
U.S. Presidents and World Leaders
Historical Sources and Documentation
World Wars Era and Impact
World Religious Systems
Mostra tutti gli argomenti
Classic and Contemporary Novels
Literary Character Analysis
Rhetorical Theory and Practice
Classic Literary Narratives
Reading Analysis and Interpretation
Narrative Structure and Techniques
English Language Components
Influential English-Language Authors
Basic Sentence Structure
Narrative Voice and Perspective
Mostra tutti gli argomenti
690
•
Aggiornato Apr 9, 2026
•
kekka
@kekkix
Dopo aver conquistato l'Italia, Roma si scontra con Cartagine per... Mostra di più




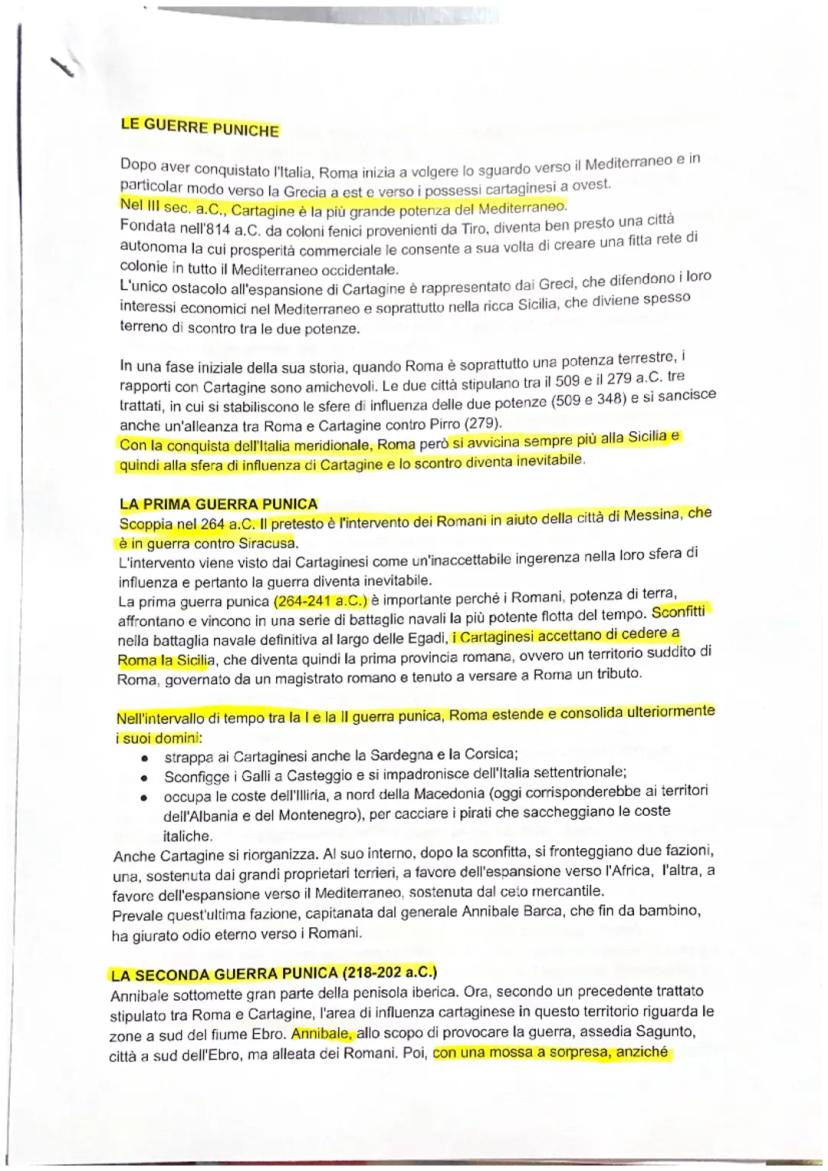
Ti sei mai chiesto come Roma sia diventata così potente? Tutto inizia quando i Romani guardano oltre l'Italia e si scontrano con Cartagine, la superpotenza del Mediterraneo del III secolo a.C.
Cartagine era una città incredibilmente ricca, fondata dai Fenici nell'814 a.C., che controllava il commercio marittimo con le sue colonie. Inizialmente Roma e Cartagine erano alleate - Roma dominava sulla terraferma, Cartagine sui mari. Ma quando Roma conquista l'Italia meridionale, le due potenze si trovano a competere per la Sicilia.
La Prima Guerra Punica scoppia per Messina, ma quello che conta davvero è il risultato: Roma, che non aveva mai avuto una grande flotta, sconfigge la potentissima marina cartaginese! La vittoria alle Egadi porta Roma a conquistare la Sicilia, che diventa la prima provincia romana.
Ricorda: Una provincia è diversa dalle città italiche - è un territorio completamente sottomesso che paga tributi a Roma.

Immagina di attraversare le Alpi con un esercito di elefanti per attaccare Roma - è esattamente quello che fa Annibale! Il generale cartaginese, che da bambino aveva giurato odio eterno contro i Romani, scatena la Seconda Guerra Punica assediando Sagunto in Spagna.
Annibale sorprende tutti arrivando in Italia dal nord e infligge ai Romani sconfitte terribili: Ticino, Trebbia, Trasimeno e soprattutto Canne (216 a.C.), una delle peggiori disfatte militari romane. Per un momento sembra che Roma sia spacciata, con nemici che arrivano anche dalla Macedonia.
Ma i Romani non si arrendono mai! Le città italiche rimangono fedeli a Roma (deludendo le speranze di Annibale), mentre Scipione riorganizza l'esercito. La guerra si ribalta: prima cadono Siracusa e Cartagena, poi nel 202 Scipione sconfigge Annibale a Zama in Africa, guadagnandosi il soprannome di "Africano".
Curiosità: Dopo la sconfitta, Annibale va in esilio e si suicida nel 183 a.C. per non cadere nelle mani dei Romani.

Con Cartagine sconfitta, Roma guarda a est verso la Grecia e l'Oriente. Ma non tutti sono d'accordo: Scipione l'Africano vuole espandersi, mentre Catone preferisce restare concentrati sull'agricoltura italiana.
Roma conquista la Grecia attraverso quattro guerre macedoniche e siriane . Le vittorie più importanti? Cinocefale contro Filippo V, Termopili e Magnesia contro Antioco di Siria, e Pidna contro Perseo. Nel 146 a.C. Corinto viene distrutta e tutta la Grecia diventa la provincia di Acaia.
Nello stesso anno Roma elimina definitivamente il problema Cartagine con la Terza Guerra Punica . Nonostante Cartagine non avesse fatto nulla di male, Catone ripeteva ossessivamente "Carthago delenda est" (Cartagine deve essere distrutta). E così fu: dopo tre anni di assedio, la città viene completamente rasa al suolo.
Le province romane hanno caratteristiche precise: sono territori fuori dall'Italia, i loro abitanti sono sudditi (non alleati), e sono governati da proconsoli e propretori romani.
Risultato finale: Nel 133 a.C., con la conquista della Spagna, Roma controlla tutto il Mediterraneo!
Il nostro assistente AI è costruito specificamente per le esigenze degli studenti. Sulla base dei milioni di contenuti presenti sulla piattaforma, possiamo fornire agli studenti risposte davvero significative e pertinenti. Ma non si tratta solo di risposte, l'assistente è in grado di guidare gli studenti attraverso le loro sfide quotidiane di studio, con piani di studio personalizzati, quiz o contenuti nella chat e una personalizzazione al 100% basata sulle competenze e sugli sviluppi degli studenti.
È possibile scaricare l'applicazione dal Google Play Store e dall'Apple App Store.
Sì, hai accesso completamente gratuito a tutti i contenuti nell'app e puoi chattare o seguire i Creatori in qualsiasi momento. Sbloccherai nuove funzioni crescendo il tuo numero di follower. Inoltre, offriamo Knowunity Premium, che consente di studiare senza alcun limite!!
App Store
Google Play
L'applicazione è molto facile da usare e ben progettata. Finora ho trovato tutto quello che cercavo e ho potuto imparare molto dalle presentazioni! Utilizzerò sicuramente l'app per i compiti in classe! È molto utile anche come fonte di ispirazione.
Stefano S
utente iOS
Questa applicazione è davvero grande! Ci sono tantissimi appunti e aiuti con lo studio [...]. La mia materia problematica, per esempio, è il francese e l'app ha così tante opzioni per aiutarmi. Grazie a questa app ho migliorato il mio francese. La consiglio a tutti.
Samantha Klich
utente Android
Wow, sono davvero stupita. Ho appena provato l'app perché l'ho vista pubblicizzata molte volte e sono rimasta assolutamente sbalordita. Questa app è L'AIUTO che cercate per la scuola e soprattutto offre tantissime cose, come allenamenti e schede, che a me personalmente sono state MOLTO utili.
Anna
utente iOS
È bellissima questa app, la adoro. È utilissima per lo studio e mi aiuta molto, anzi moltissimo, ma soprattutto mi aiutano molto i quiz, per memorizzare anche quello che non sapevo
Anastasia
utente Android
Fantastica per qualsiasi materia avere gli appunti anche di altre persone è molto utile perchè posso confrontarmi e vedere come migliorarmi. con i quiz riesco ad apprendere al meglio.
Francesca
utente Android
moooolto utile,gli appunti sono belli e funzionanti,schoolGPT da dei consigli formidabili!!
Marianna
utente Android
L'applicazione è semplicemente fantastica! Tutto ciò che devo fare è inserire l'argomento nella barra di ricerca e ottengo la risposta molto velocemente. Non devo guardare 10 video di YouTube per capire qualcosa, quindi risparmio tempo. Consigliatissima!
Sudenaz Ocak
utente Android
A scuola andavo malissimo in matematica, ma grazie a questa applicazione ora vado meglio. Vi sono molto grato per aver creato questa app.
Greenlight Bonnie
utente Android
Knowunity è un applicazione fantastica,considerando che ha degli schemi veramente molto carini e sfiziosi e che ci sono dei quiz,oltre al fatto che questa cosa dell intelligenza artificiale "school gpt" è almeno per me molto utile, perché a differenza di Chatgpt ti da le spiegazioni, ti spiega ciò che non è chiaro! Posso studiare più velocemente tramite gli schemi e che posso pubblicare io stessa gli schemi è una funzione utilissima per gli altri studenti. Knowunity è PERFETTA
Aurora
utente Android
L’app funziona benissimo e puoi trovare qualsiasi tipo di informazione. Non ho l’abbonamento ma la parte gratuita è sufficiente per uno studio approfondito.
Martina
utente iOS
I quiz E LE flashcard SONO COSÌ UTILI E ADORO Knowunity IA. È ANCHE LETTERALMENTE COME CHATGPT MA PIÙ INTELLIGENTE!! MI HA AIUTATO ANCHE COI MIEI PROBLEMI DI MASCARA!! E ANCHE CON LE MIE VERE MATERIE! OVVIO 😍😁😲🤑💗✨🎀😮
Chiara
utente IOS
Questa app è una delle migliori, nient’altro da dire.
Andrea
utente iOS
L'applicazione è molto facile da usare e ben progettata. Finora ho trovato tutto quello che cercavo e ho potuto imparare molto dalle presentazioni! Utilizzerò sicuramente l'app per i compiti in classe! È molto utile anche come fonte di ispirazione.
Stefano S
utente iOS
Questa applicazione è davvero grande! Ci sono tantissimi appunti e aiuti con lo studio [...]. La mia materia problematica, per esempio, è il francese e l'app ha così tante opzioni per aiutarmi. Grazie a questa app ho migliorato il mio francese. La consiglio a tutti.
Samantha Klich
utente Android
Wow, sono davvero stupita. Ho appena provato l'app perché l'ho vista pubblicizzata molte volte e sono rimasta assolutamente sbalordita. Questa app è L'AIUTO che cercate per la scuola e soprattutto offre tantissime cose, come allenamenti e schede, che a me personalmente sono state MOLTO utili.
Anna
utente iOS
È bellissima questa app, la adoro. È utilissima per lo studio e mi aiuta molto, anzi moltissimo, ma soprattutto mi aiutano molto i quiz, per memorizzare anche quello che non sapevo
Anastasia
utente Android
Fantastica per qualsiasi materia avere gli appunti anche di altre persone è molto utile perchè posso confrontarmi e vedere come migliorarmi. con i quiz riesco ad apprendere al meglio.
Francesca
utente Android
moooolto utile,gli appunti sono belli e funzionanti,schoolGPT da dei consigli formidabili!!
Marianna
utente Android
L'applicazione è semplicemente fantastica! Tutto ciò che devo fare è inserire l'argomento nella barra di ricerca e ottengo la risposta molto velocemente. Non devo guardare 10 video di YouTube per capire qualcosa, quindi risparmio tempo. Consigliatissima!
Sudenaz Ocak
utente Android
A scuola andavo malissimo in matematica, ma grazie a questa applicazione ora vado meglio. Vi sono molto grato per aver creato questa app.
Greenlight Bonnie
utente Android
Knowunity è un applicazione fantastica,considerando che ha degli schemi veramente molto carini e sfiziosi e che ci sono dei quiz,oltre al fatto che questa cosa dell intelligenza artificiale "school gpt" è almeno per me molto utile, perché a differenza di Chatgpt ti da le spiegazioni, ti spiega ciò che non è chiaro! Posso studiare più velocemente tramite gli schemi e che posso pubblicare io stessa gli schemi è una funzione utilissima per gli altri studenti. Knowunity è PERFETTA
Aurora
utente Android
L’app funziona benissimo e puoi trovare qualsiasi tipo di informazione. Non ho l’abbonamento ma la parte gratuita è sufficiente per uno studio approfondito.
Martina
utente iOS
I quiz E LE flashcard SONO COSÌ UTILI E ADORO Knowunity IA. È ANCHE LETTERALMENTE COME CHATGPT MA PIÙ INTELLIGENTE!! MI HA AIUTATO ANCHE COI MIEI PROBLEMI DI MASCARA!! E ANCHE CON LE MIE VERE MATERIE! OVVIO 😍😁😲🤑💗✨🎀😮
Chiara
utente IOS
Questa app è una delle migliori, nient’altro da dire.
Andrea
utente iOS
kekka
@kekkix
Dopo aver conquistato l'Italia, Roma si scontra con Cartagine per il controllo del Mediterraneo in tre guerre epiche chiamate Guerre Puniche. Questi conflitti trasformeranno Roma da potenza locale a padrona di tutto il mondo mediterraneo.

Accesso a tutti i documenti
Migliora i tuoi voti
Unisciti a milioni di studenti
Ti sei mai chiesto come Roma sia diventata così potente? Tutto inizia quando i Romani guardano oltre l'Italia e si scontrano con Cartagine, la superpotenza del Mediterraneo del III secolo a.C.
Cartagine era una città incredibilmente ricca, fondata dai Fenici nell'814 a.C., che controllava il commercio marittimo con le sue colonie. Inizialmente Roma e Cartagine erano alleate - Roma dominava sulla terraferma, Cartagine sui mari. Ma quando Roma conquista l'Italia meridionale, le due potenze si trovano a competere per la Sicilia.
La Prima Guerra Punica scoppia per Messina, ma quello che conta davvero è il risultato: Roma, che non aveva mai avuto una grande flotta, sconfigge la potentissima marina cartaginese! La vittoria alle Egadi porta Roma a conquistare la Sicilia, che diventa la prima provincia romana.
Ricorda: Una provincia è diversa dalle città italiche - è un territorio completamente sottomesso che paga tributi a Roma.

Accesso a tutti i documenti
Migliora i tuoi voti
Unisciti a milioni di studenti
Immagina di attraversare le Alpi con un esercito di elefanti per attaccare Roma - è esattamente quello che fa Annibale! Il generale cartaginese, che da bambino aveva giurato odio eterno contro i Romani, scatena la Seconda Guerra Punica assediando Sagunto in Spagna.
Annibale sorprende tutti arrivando in Italia dal nord e infligge ai Romani sconfitte terribili: Ticino, Trebbia, Trasimeno e soprattutto Canne (216 a.C.), una delle peggiori disfatte militari romane. Per un momento sembra che Roma sia spacciata, con nemici che arrivano anche dalla Macedonia.
Ma i Romani non si arrendono mai! Le città italiche rimangono fedeli a Roma (deludendo le speranze di Annibale), mentre Scipione riorganizza l'esercito. La guerra si ribalta: prima cadono Siracusa e Cartagena, poi nel 202 Scipione sconfigge Annibale a Zama in Africa, guadagnandosi il soprannome di "Africano".
Curiosità: Dopo la sconfitta, Annibale va in esilio e si suicida nel 183 a.C. per non cadere nelle mani dei Romani.

Accesso a tutti i documenti
Migliora i tuoi voti
Unisciti a milioni di studenti
Con Cartagine sconfitta, Roma guarda a est verso la Grecia e l'Oriente. Ma non tutti sono d'accordo: Scipione l'Africano vuole espandersi, mentre Catone preferisce restare concentrati sull'agricoltura italiana.
Roma conquista la Grecia attraverso quattro guerre macedoniche e siriane . Le vittorie più importanti? Cinocefale contro Filippo V, Termopili e Magnesia contro Antioco di Siria, e Pidna contro Perseo. Nel 146 a.C. Corinto viene distrutta e tutta la Grecia diventa la provincia di Acaia.
Nello stesso anno Roma elimina definitivamente il problema Cartagine con la Terza Guerra Punica . Nonostante Cartagine non avesse fatto nulla di male, Catone ripeteva ossessivamente "Carthago delenda est" (Cartagine deve essere distrutta). E così fu: dopo tre anni di assedio, la città viene completamente rasa al suolo.
Le province romane hanno caratteristiche precise: sono territori fuori dall'Italia, i loro abitanti sono sudditi (non alleati), e sono governati da proconsoli e propretori romani.
Risultato finale: Nel 133 a.C., con la conquista della Spagna, Roma controlla tutto il Mediterraneo!
Il nostro assistente AI è costruito specificamente per le esigenze degli studenti. Sulla base dei milioni di contenuti presenti sulla piattaforma, possiamo fornire agli studenti risposte davvero significative e pertinenti. Ma non si tratta solo di risposte, l'assistente è in grado di guidare gli studenti attraverso le loro sfide quotidiane di studio, con piani di studio personalizzati, quiz o contenuti nella chat e una personalizzazione al 100% basata sulle competenze e sugli sviluppi degli studenti.
È possibile scaricare l'applicazione dal Google Play Store e dall'Apple App Store.
Sì, hai accesso completamente gratuito a tutti i contenuti nell'app e puoi chattare o seguire i Creatori in qualsiasi momento. Sbloccherai nuove funzioni crescendo il tuo numero di follower. Inoltre, offriamo Knowunity Premium, che consente di studiare senza alcun limite!!
12
Strumenti Intelligenti NUOVO
Trasforma questi appunti in: ✓ 50+ Domande di Pratica ✓ Flashcard Interattive ✓ Simulazione d'esame completa ✓ Schemi per Saggi
PowerPoint sulle guerre puniche
Fondazione, città, governo, economia e commercio
Storia romana
Sintesi della seconda guerra punica
Roma decide di conquistare tutti i territori bagnati dal Mare Nostrum: Guerre Puniche; nascita della Letteratura Latina; Filellenismo e Anti Ellenismo; avvio alla prima Guerra Civile tra Mario e Silla.
la guerra contro pirro, secondo e terza guerra punica, conquista dell’oriente
App Store
Google Play
L'applicazione è molto facile da usare e ben progettata. Finora ho trovato tutto quello che cercavo e ho potuto imparare molto dalle presentazioni! Utilizzerò sicuramente l'app per i compiti in classe! È molto utile anche come fonte di ispirazione.
Stefano S
utente iOS
Questa applicazione è davvero grande! Ci sono tantissimi appunti e aiuti con lo studio [...]. La mia materia problematica, per esempio, è il francese e l'app ha così tante opzioni per aiutarmi. Grazie a questa app ho migliorato il mio francese. La consiglio a tutti.
Samantha Klich
utente Android
Wow, sono davvero stupita. Ho appena provato l'app perché l'ho vista pubblicizzata molte volte e sono rimasta assolutamente sbalordita. Questa app è L'AIUTO che cercate per la scuola e soprattutto offre tantissime cose, come allenamenti e schede, che a me personalmente sono state MOLTO utili.
Anna
utente iOS
È bellissima questa app, la adoro. È utilissima per lo studio e mi aiuta molto, anzi moltissimo, ma soprattutto mi aiutano molto i quiz, per memorizzare anche quello che non sapevo
Anastasia
utente Android
Fantastica per qualsiasi materia avere gli appunti anche di altre persone è molto utile perchè posso confrontarmi e vedere come migliorarmi. con i quiz riesco ad apprendere al meglio.
Francesca
utente Android
moooolto utile,gli appunti sono belli e funzionanti,schoolGPT da dei consigli formidabili!!
Marianna
utente Android
L'applicazione è semplicemente fantastica! Tutto ciò che devo fare è inserire l'argomento nella barra di ricerca e ottengo la risposta molto velocemente. Non devo guardare 10 video di YouTube per capire qualcosa, quindi risparmio tempo. Consigliatissima!
Sudenaz Ocak
utente Android
A scuola andavo malissimo in matematica, ma grazie a questa applicazione ora vado meglio. Vi sono molto grato per aver creato questa app.
Greenlight Bonnie
utente Android
Knowunity è un applicazione fantastica,considerando che ha degli schemi veramente molto carini e sfiziosi e che ci sono dei quiz,oltre al fatto che questa cosa dell intelligenza artificiale "school gpt" è almeno per me molto utile, perché a differenza di Chatgpt ti da le spiegazioni, ti spiega ciò che non è chiaro! Posso studiare più velocemente tramite gli schemi e che posso pubblicare io stessa gli schemi è una funzione utilissima per gli altri studenti. Knowunity è PERFETTA
Aurora
utente Android
L’app funziona benissimo e puoi trovare qualsiasi tipo di informazione. Non ho l’abbonamento ma la parte gratuita è sufficiente per uno studio approfondito.
Martina
utente iOS
I quiz E LE flashcard SONO COSÌ UTILI E ADORO Knowunity IA. È ANCHE LETTERALMENTE COME CHATGPT MA PIÙ INTELLIGENTE!! MI HA AIUTATO ANCHE COI MIEI PROBLEMI DI MASCARA!! E ANCHE CON LE MIE VERE MATERIE! OVVIO 😍😁😲🤑💗✨🎀😮
Chiara
utente IOS
Questa app è una delle migliori, nient’altro da dire.
Andrea
utente iOS
L'applicazione è molto facile da usare e ben progettata. Finora ho trovato tutto quello che cercavo e ho potuto imparare molto dalle presentazioni! Utilizzerò sicuramente l'app per i compiti in classe! È molto utile anche come fonte di ispirazione.
Stefano S
utente iOS
Questa applicazione è davvero grande! Ci sono tantissimi appunti e aiuti con lo studio [...]. La mia materia problematica, per esempio, è il francese e l'app ha così tante opzioni per aiutarmi. Grazie a questa app ho migliorato il mio francese. La consiglio a tutti.
Samantha Klich
utente Android
Wow, sono davvero stupita. Ho appena provato l'app perché l'ho vista pubblicizzata molte volte e sono rimasta assolutamente sbalordita. Questa app è L'AIUTO che cercate per la scuola e soprattutto offre tantissime cose, come allenamenti e schede, che a me personalmente sono state MOLTO utili.
Anna
utente iOS
È bellissima questa app, la adoro. È utilissima per lo studio e mi aiuta molto, anzi moltissimo, ma soprattutto mi aiutano molto i quiz, per memorizzare anche quello che non sapevo
Anastasia
utente Android
Fantastica per qualsiasi materia avere gli appunti anche di altre persone è molto utile perchè posso confrontarmi e vedere come migliorarmi. con i quiz riesco ad apprendere al meglio.
Francesca
utente Android
moooolto utile,gli appunti sono belli e funzionanti,schoolGPT da dei consigli formidabili!!
Marianna
utente Android
L'applicazione è semplicemente fantastica! Tutto ciò che devo fare è inserire l'argomento nella barra di ricerca e ottengo la risposta molto velocemente. Non devo guardare 10 video di YouTube per capire qualcosa, quindi risparmio tempo. Consigliatissima!
Sudenaz Ocak
utente Android
A scuola andavo malissimo in matematica, ma grazie a questa applicazione ora vado meglio. Vi sono molto grato per aver creato questa app.
Greenlight Bonnie
utente Android
Knowunity è un applicazione fantastica,considerando che ha degli schemi veramente molto carini e sfiziosi e che ci sono dei quiz,oltre al fatto che questa cosa dell intelligenza artificiale "school gpt" è almeno per me molto utile, perché a differenza di Chatgpt ti da le spiegazioni, ti spiega ciò che non è chiaro! Posso studiare più velocemente tramite gli schemi e che posso pubblicare io stessa gli schemi è una funzione utilissima per gli altri studenti. Knowunity è PERFETTA
Aurora
utente Android
L’app funziona benissimo e puoi trovare qualsiasi tipo di informazione. Non ho l’abbonamento ma la parte gratuita è sufficiente per uno studio approfondito.
Martina
utente iOS
I quiz E LE flashcard SONO COSÌ UTILI E ADORO Knowunity IA. È ANCHE LETTERALMENTE COME CHATGPT MA PIÙ INTELLIGENTE!! MI HA AIUTATO ANCHE COI MIEI PROBLEMI DI MASCARA!! E ANCHE CON LE MIE VERE MATERIE! OVVIO 😍😁😲🤑💗✨🎀😮
Chiara
utente IOS
Questa app è una delle migliori, nient’altro da dire.
Andrea
utente iOS