Imparare a determinare il dominio delle funzioni matematiche è fondamentale... Mostra di più
Iscriviti per mostrare il contenutoÈ gratis!
Accesso a tutti i documenti
Migliora i tuoi voti
Unisciti a milioni di studenti
Knowunity AI
Materie
Triangle Congruence and Similarity Theorems
Triangle Properties and Classification
Linear Equations and Graphs
Geometric Angle Relationships
Trigonometric Functions and Identities
Equation Solving Techniques
Circle Geometry Fundamentals
Division Operations and Methods
Basic Differentiation Rules
Exponent and Logarithm Properties
Mostra tutti gli argomenti
Human Organ Systems
Reproductive Cell Cycles
Biological Sciences Subdisciplines
Cellular Energy Metabolism
Autotrophic Energy Processes
Inheritance Patterns and Principles
Biomolecular Structure and Organization
Cell Cycle and Division Mechanics
Cellular Organization and Development
Biological Structural Organization
Mostra tutti gli argomenti
Chemical Sciences and Applications
Atomic Structure and Composition
Molecular Electron Structure Representation
Atomic Electron Behavior
Matter Properties and Water
Mole Concept and Calculations
Gas Laws and Behavior
Periodic Table Organization
Chemical Thermodynamics Fundamentals
Chemical Bond Types and Properties
Mostra tutti gli argomenti
European Renaissance and Enlightenment
European Cultural Movements 800-1920
American Revolution Era 1763-1797
American Civil War 1861-1865
Global Imperial Systems
Mongol and Chinese Dynasties
U.S. Presidents and World Leaders
Historical Sources and Documentation
World Wars Era and Impact
World Religious Systems
Mostra tutti gli argomenti
Classic and Contemporary Novels
Literary Character Analysis
Rhetorical Theory and Practice
Classic Literary Narratives
Reading Analysis and Interpretation
Narrative Structure and Techniques
English Language Components
Influential English-Language Authors
Basic Sentence Structure
Narrative Voice and Perspective
Mostra tutti gli argomenti
338
•
Aggiornato Apr 3, 2026
•
Imparare a determinare il dominio delle funzioni matematiche è fondamentale... Mostra di più









Le funzioni algebriche si dividono in diverse categorie che devi imparare a riconoscere subito. Quelle razionali intere come f(x) = x²-3x+1 hanno dominio su tutti i reali (ℝ), quindi sono le più semplici da gestire.
Le funzioni razionali fratte invece richiedono più attenzione. Per esempio, con g(x) = /, devi assicurarti che il denominatore non sia mai zero: 2-x ≠ 0, quindi x ≠ 2. Il dominio diventa quindi ℝ-{2} o (-∞;2)∪(2;+∞).
Per le funzioni irrazionali con radici pari, ricorda che l'argomento sotto radice deve essere ≥ 0. Se hai √, allora x-1 ≥ 0, quindi x ≥ 1 e il dominio è [1;+∞).
Trucco memoria: Razionali fratte → denominatore ≠ 0; Radici pari → argomento ≥ 0!

Le funzioni con valore assoluto combinano spesso più condizioni. Quando hai f(x) = /√, devi risolvere un sistema di condizioni.
Prima risolvi |x+3|-5 ≠ 0, che significa |x+3| ≠ 5. Questo ti dà x+3 ≠ ±5, quindi x ≠ 2 e x ≠ -8. Poi aggiungi la condizione per la radice: x-2 > 0, quindi x > 2.
Il dominio finale sarà l'intersezione di tutte le condizioni: (-∞;-8)∪(-8;2)∪(2;+∞), escludendo però i punti dove x ≤ 2. Quindi ottieni (2;+∞) escluso eventuali altri punti problematici.
Le radici con indice dispari invece non hanno restrizioni sull'argomento - possono avere valori negativi sotto radice!

Negli esercizi del libro, imparerai a gestire casi sempre più complessi. Per y = /, devi fattorizzare il denominatore: x³+x+2 = .
Quindi risolvi ≠ 0. Il primo fattore ti dà x ≠ -1, mentre per il secondo fattore calcoli il discriminante: Δ = 1-8 = -7 < 0, quindi x²-x+2 > 0 sempre.
Per funzioni composte con radici multiple come y = √ + √, devi risolvere separatamente ogni parte. La prima richiede / ≥ 0 e x ≠ 3, la seconda richiede x ≥ 0 e 1-√x ≥ 0.
Strategia vincente: Affronta sempre una condizione alla volta, poi trova l'intersezione finale!

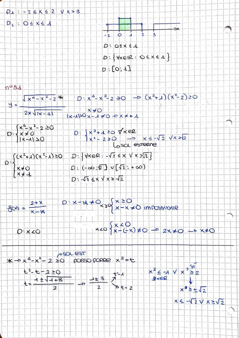
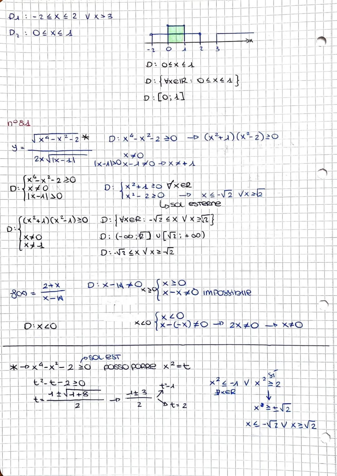
Quando hai più condizioni simultanee, devi trovare l'intersezione tra tutti i domini parziali. Nell'esercizio con le due radici, hai ottenuto D₁: -2 ≤ x ≤ 2 ∨ x > 3 e D₂: 0 ≤ x ≤ 1.
Il dominio finale è l'intersezione: D = [0;1]. Questo significa che la funzione esiste solo quando entrambe le condizioni sono soddisfatte contemporaneamente.
Per funzioni molto complesse come y = √/, devi gestire numeratore ≥ 0, denominatore ≠ 0, e |x-1| > 0. Fattorizzando x⁴-x²-2 con la sostituzione t = x², ottieni le condizioni finali.
Ricorda che x⁴-x²-2 = , dove x²+1 > 0 sempre, quindi ti resta solo x² ≥ 2, cioè |x| ≥ √2.

Le funzioni con radici annidate come g(x) = √ richiedono un approccio a strati. Prima risolvi la radice interna: x+2x² ≥ 0, poi quella esterna: 1-√ ≥ 0.
Per la condizione esterna, devi distinguere due casi basati sul valore assoluto. Se x+2x² ≤ 1 e x+2x² ≥ 0, risolvi il sistema e ottieni parte del dominio.
Fattorizzando 2x²+x-1 ≤ 0 trovi , mentre x ≥ 0 dà . L'intersezione ti porta a specifici intervalli.
Metodo infallibile: Con radici annidate, lavora dall'interno verso l'esterno, un livello alla volta!
Il dominio finale è [-1; 1/2], che comprende tutti i punti dove la funzione è matematicamente definita.

Le funzioni trascendenti hanno regole di dominio specifiche che devi memorizzare. Per y = a^(g(x)), il dominio coincide con quello di g(x) - non ci sono restrizioni aggiuntive sull'esponente.
I logaritmi sono più selettivi: per y = log_a g(x), serve g(x) > 0. Se hai un logaritmo con base variabile y = log_(g(x)) f(x), devi rispettare tre condizioni: f(x) > 0, g(x) > 0, e g(x) ≠ 1.
Per gli esempi pratici: f(x) = e^ ha dominio ℝ-{0} perché l'esponente 1/x non può avere denominatore nullo. Invece f(x) = ln richiede x/ > 0, che significa x < -2 ∨ x > 0.
Le funzioni del tipo f(x)^(g(x)) richiedono f(x) > 0 e che g(x) sia nel suo dominio naturale.
Regola d'oro: Logaritmi → argomento positivo; Esponenziali → nessuna restrizione aggiuntiva!

Quando hai esponenti razionali come ^(2/3), devi fare attenzione al segno della base. Se l'esponente ha denominatore pari, la base deve essere ≥ 0 per evitare problemi con numeri complessi.
Per funzioni come f(x) = √, risolvi 9-x² ≥ 0, che diventa ≥ 0. Usando il metodo dei segni, ottieni -3 ≤ x ≤ 3.
Le combinazioni complesse richiedono l'intersezione di più condizioni. Se hai radici e frazioni insieme, risolvi separatamente ogni vincolo, poi trova dove si sovrappongono.
Negli esercizi più difficili, potresti avere sistemi come -3 ≤ x ≤ 3 combinato con x ≠ 2 e x ≠ 3, che ti porta a domini come [-3;0)∪(2;3).

Le funzioni goniometriche hanno domini specifici da ricordare. Per f(x) = tan(g(x)), devi evitare g(x) = π/2 + kπ. Per f(x) = cot(g(x)), escludi g(x) = kπ.
Le funzioni goniometriche inverse hanno restrizioni sull'argomento: arcsin e arccos richiedono -1 ≤ argomento ≤ 1. Quindi per f(x) = arcsin, devi risolvere -1 ≤ x-1 ≤ 1, ottenendo 0 ≤ x ≤ 2.
Per combinazioni complesse come f(x) = tan(ln x), unisci le condizioni: ln x ≠ π/2 + kπ e x > 0 per il logaritmo.
Negli esercizi con funzioni composte tipo f(x) = ², devi rispettare sia il dominio dell'arcsin che la condizione per l'elevamento a potenza.
Memo veloce: tan e cot → escludi multipli di π; arcsin e arccos → argomento tra -1 e 1!
Il nostro assistente AI è costruito specificamente per le esigenze degli studenti. Sulla base dei milioni di contenuti presenti sulla piattaforma, possiamo fornire agli studenti risposte davvero significative e pertinenti. Ma non si tratta solo di risposte, l'assistente è in grado di guidare gli studenti attraverso le loro sfide quotidiane di studio, con piani di studio personalizzati, quiz o contenuti nella chat e una personalizzazione al 100% basata sulle competenze e sugli sviluppi degli studenti.
È possibile scaricare l'applicazione dal Google Play Store e dall'Apple App Store.
Sì, hai accesso completamente gratuito a tutti i contenuti nell'app e puoi chattare o seguire i Creatori in qualsiasi momento. Sbloccherai nuove funzioni crescendo il tuo numero di follower. Inoltre, offriamo Knowunity Premium, che consente di studiare senza alcun limite!!
App Store
Google Play
L'applicazione è molto facile da usare e ben progettata. Finora ho trovato tutto quello che cercavo e ho potuto imparare molto dalle presentazioni! Utilizzerò sicuramente l'app per i compiti in classe! È molto utile anche come fonte di ispirazione.
Stefano S
utente iOS
Questa applicazione è davvero grande! Ci sono tantissimi appunti e aiuti con lo studio [...]. La mia materia problematica, per esempio, è il francese e l'app ha così tante opzioni per aiutarmi. Grazie a questa app ho migliorato il mio francese. La consiglio a tutti.
Samantha Klich
utente Android
Wow, sono davvero stupita. Ho appena provato l'app perché l'ho vista pubblicizzata molte volte e sono rimasta assolutamente sbalordita. Questa app è L'AIUTO che cercate per la scuola e soprattutto offre tantissime cose, come allenamenti e schede, che a me personalmente sono state MOLTO utili.
Anna
utente iOS
È bellissima questa app, la adoro. È utilissima per lo studio e mi aiuta molto, anzi moltissimo, ma soprattutto mi aiutano molto i quiz, per memorizzare anche quello che non sapevo
Anastasia
utente Android
Fantastica per qualsiasi materia avere gli appunti anche di altre persone è molto utile perchè posso confrontarmi e vedere come migliorarmi. con i quiz riesco ad apprendere al meglio.
Francesca
utente Android
moooolto utile,gli appunti sono belli e funzionanti,schoolGPT da dei consigli formidabili!!
Marianna
utente Android
L'applicazione è semplicemente fantastica! Tutto ciò che devo fare è inserire l'argomento nella barra di ricerca e ottengo la risposta molto velocemente. Non devo guardare 10 video di YouTube per capire qualcosa, quindi risparmio tempo. Consigliatissima!
Sudenaz Ocak
utente Android
A scuola andavo malissimo in matematica, ma grazie a questa applicazione ora vado meglio. Vi sono molto grato per aver creato questa app.
Greenlight Bonnie
utente Android
Knowunity è un applicazione fantastica,considerando che ha degli schemi veramente molto carini e sfiziosi e che ci sono dei quiz,oltre al fatto che questa cosa dell intelligenza artificiale "school gpt" è almeno per me molto utile, perché a differenza di Chatgpt ti da le spiegazioni, ti spiega ciò che non è chiaro! Posso studiare più velocemente tramite gli schemi e che posso pubblicare io stessa gli schemi è una funzione utilissima per gli altri studenti. Knowunity è PERFETTA
Aurora
utente Android
L’app funziona benissimo e puoi trovare qualsiasi tipo di informazione. Non ho l’abbonamento ma la parte gratuita è sufficiente per uno studio approfondito.
Martina
utente iOS
I quiz E LE flashcard SONO COSÌ UTILI E ADORO Knowunity IA. È ANCHE LETTERALMENTE COME CHATGPT MA PIÙ INTELLIGENTE!! MI HA AIUTATO ANCHE COI MIEI PROBLEMI DI MASCARA!! E ANCHE CON LE MIE VERE MATERIE! OVVIO 😍😁😲🤑💗✨🎀😮
Chiara
utente IOS
Questa app è una delle migliori, nient’altro da dire.
Andrea
utente iOS
L'applicazione è molto facile da usare e ben progettata. Finora ho trovato tutto quello che cercavo e ho potuto imparare molto dalle presentazioni! Utilizzerò sicuramente l'app per i compiti in classe! È molto utile anche come fonte di ispirazione.
Stefano S
utente iOS
Questa applicazione è davvero grande! Ci sono tantissimi appunti e aiuti con lo studio [...]. La mia materia problematica, per esempio, è il francese e l'app ha così tante opzioni per aiutarmi. Grazie a questa app ho migliorato il mio francese. La consiglio a tutti.
Samantha Klich
utente Android
Wow, sono davvero stupita. Ho appena provato l'app perché l'ho vista pubblicizzata molte volte e sono rimasta assolutamente sbalordita. Questa app è L'AIUTO che cercate per la scuola e soprattutto offre tantissime cose, come allenamenti e schede, che a me personalmente sono state MOLTO utili.
Anna
utente iOS
È bellissima questa app, la adoro. È utilissima per lo studio e mi aiuta molto, anzi moltissimo, ma soprattutto mi aiutano molto i quiz, per memorizzare anche quello che non sapevo
Anastasia
utente Android
Fantastica per qualsiasi materia avere gli appunti anche di altre persone è molto utile perchè posso confrontarmi e vedere come migliorarmi. con i quiz riesco ad apprendere al meglio.
Francesca
utente Android
moooolto utile,gli appunti sono belli e funzionanti,schoolGPT da dei consigli formidabili!!
Marianna
utente Android
L'applicazione è semplicemente fantastica! Tutto ciò che devo fare è inserire l'argomento nella barra di ricerca e ottengo la risposta molto velocemente. Non devo guardare 10 video di YouTube per capire qualcosa, quindi risparmio tempo. Consigliatissima!
Sudenaz Ocak
utente Android
A scuola andavo malissimo in matematica, ma grazie a questa applicazione ora vado meglio. Vi sono molto grato per aver creato questa app.
Greenlight Bonnie
utente Android
Knowunity è un applicazione fantastica,considerando che ha degli schemi veramente molto carini e sfiziosi e che ci sono dei quiz,oltre al fatto che questa cosa dell intelligenza artificiale "school gpt" è almeno per me molto utile, perché a differenza di Chatgpt ti da le spiegazioni, ti spiega ciò che non è chiaro! Posso studiare più velocemente tramite gli schemi e che posso pubblicare io stessa gli schemi è una funzione utilissima per gli altri studenti. Knowunity è PERFETTA
Aurora
utente Android
L’app funziona benissimo e puoi trovare qualsiasi tipo di informazione. Non ho l’abbonamento ma la parte gratuita è sufficiente per uno studio approfondito.
Martina
utente iOS
I quiz E LE flashcard SONO COSÌ UTILI E ADORO Knowunity IA. È ANCHE LETTERALMENTE COME CHATGPT MA PIÙ INTELLIGENTE!! MI HA AIUTATO ANCHE COI MIEI PROBLEMI DI MASCARA!! E ANCHE CON LE MIE VERE MATERIE! OVVIO 😍😁😲🤑💗✨🎀😮
Chiara
utente IOS
Questa app è una delle migliori, nient’altro da dire.
Andrea
utente iOS
Imparare a determinare il dominio delle funzioni matematiche è fondamentale per il tuo percorso di studi! Questo argomento ti permetterà di capire dove una funzione "esiste" matematicamente e dove invece non è definita.

Accesso a tutti i documenti
Migliora i tuoi voti
Unisciti a milioni di studenti
Le funzioni algebriche si dividono in diverse categorie che devi imparare a riconoscere subito. Quelle razionali intere come f(x) = x²-3x+1 hanno dominio su tutti i reali (ℝ), quindi sono le più semplici da gestire.
Le funzioni razionali fratte invece richiedono più attenzione. Per esempio, con g(x) = /, devi assicurarti che il denominatore non sia mai zero: 2-x ≠ 0, quindi x ≠ 2. Il dominio diventa quindi ℝ-{2} o (-∞;2)∪(2;+∞).
Per le funzioni irrazionali con radici pari, ricorda che l'argomento sotto radice deve essere ≥ 0. Se hai √, allora x-1 ≥ 0, quindi x ≥ 1 e il dominio è [1;+∞).
Trucco memoria: Razionali fratte → denominatore ≠ 0; Radici pari → argomento ≥ 0!

Accesso a tutti i documenti
Migliora i tuoi voti
Unisciti a milioni di studenti
Le funzioni con valore assoluto combinano spesso più condizioni. Quando hai f(x) = /√, devi risolvere un sistema di condizioni.
Prima risolvi |x+3|-5 ≠ 0, che significa |x+3| ≠ 5. Questo ti dà x+3 ≠ ±5, quindi x ≠ 2 e x ≠ -8. Poi aggiungi la condizione per la radice: x-2 > 0, quindi x > 2.
Il dominio finale sarà l'intersezione di tutte le condizioni: (-∞;-8)∪(-8;2)∪(2;+∞), escludendo però i punti dove x ≤ 2. Quindi ottieni (2;+∞) escluso eventuali altri punti problematici.
Le radici con indice dispari invece non hanno restrizioni sull'argomento - possono avere valori negativi sotto radice!

Accesso a tutti i documenti
Migliora i tuoi voti
Unisciti a milioni di studenti
Negli esercizi del libro, imparerai a gestire casi sempre più complessi. Per y = /, devi fattorizzare il denominatore: x³+x+2 = .
Quindi risolvi ≠ 0. Il primo fattore ti dà x ≠ -1, mentre per il secondo fattore calcoli il discriminante: Δ = 1-8 = -7 < 0, quindi x²-x+2 > 0 sempre.
Per funzioni composte con radici multiple come y = √ + √, devi risolvere separatamente ogni parte. La prima richiede / ≥ 0 e x ≠ 3, la seconda richiede x ≥ 0 e 1-√x ≥ 0.
Strategia vincente: Affronta sempre una condizione alla volta, poi trova l'intersezione finale!

Accesso a tutti i documenti
Migliora i tuoi voti
Unisciti a milioni di studenti
Quando hai più condizioni simultanee, devi trovare l'intersezione tra tutti i domini parziali. Nell'esercizio con le due radici, hai ottenuto D₁: -2 ≤ x ≤ 2 ∨ x > 3 e D₂: 0 ≤ x ≤ 1.
Il dominio finale è l'intersezione: D = [0;1]. Questo significa che la funzione esiste solo quando entrambe le condizioni sono soddisfatte contemporaneamente.
Per funzioni molto complesse come y = √/, devi gestire numeratore ≥ 0, denominatore ≠ 0, e |x-1| > 0. Fattorizzando x⁴-x²-2 con la sostituzione t = x², ottieni le condizioni finali.
Ricorda che x⁴-x²-2 = , dove x²+1 > 0 sempre, quindi ti resta solo x² ≥ 2, cioè |x| ≥ √2.

Accesso a tutti i documenti
Migliora i tuoi voti
Unisciti a milioni di studenti
Le funzioni con radici annidate come g(x) = √ richiedono un approccio a strati. Prima risolvi la radice interna: x+2x² ≥ 0, poi quella esterna: 1-√ ≥ 0.
Per la condizione esterna, devi distinguere due casi basati sul valore assoluto. Se x+2x² ≤ 1 e x+2x² ≥ 0, risolvi il sistema e ottieni parte del dominio.
Fattorizzando 2x²+x-1 ≤ 0 trovi , mentre x ≥ 0 dà . L'intersezione ti porta a specifici intervalli.
Metodo infallibile: Con radici annidate, lavora dall'interno verso l'esterno, un livello alla volta!
Il dominio finale è [-1; 1/2], che comprende tutti i punti dove la funzione è matematicamente definita.

Accesso a tutti i documenti
Migliora i tuoi voti
Unisciti a milioni di studenti
Le funzioni trascendenti hanno regole di dominio specifiche che devi memorizzare. Per y = a^(g(x)), il dominio coincide con quello di g(x) - non ci sono restrizioni aggiuntive sull'esponente.
I logaritmi sono più selettivi: per y = log_a g(x), serve g(x) > 0. Se hai un logaritmo con base variabile y = log_(g(x)) f(x), devi rispettare tre condizioni: f(x) > 0, g(x) > 0, e g(x) ≠ 1.
Per gli esempi pratici: f(x) = e^ ha dominio ℝ-{0} perché l'esponente 1/x non può avere denominatore nullo. Invece f(x) = ln richiede x/ > 0, che significa x < -2 ∨ x > 0.
Le funzioni del tipo f(x)^(g(x)) richiedono f(x) > 0 e che g(x) sia nel suo dominio naturale.
Regola d'oro: Logaritmi → argomento positivo; Esponenziali → nessuna restrizione aggiuntiva!

Accesso a tutti i documenti
Migliora i tuoi voti
Unisciti a milioni di studenti
Quando hai esponenti razionali come ^(2/3), devi fare attenzione al segno della base. Se l'esponente ha denominatore pari, la base deve essere ≥ 0 per evitare problemi con numeri complessi.
Per funzioni come f(x) = √, risolvi 9-x² ≥ 0, che diventa ≥ 0. Usando il metodo dei segni, ottieni -3 ≤ x ≤ 3.
Le combinazioni complesse richiedono l'intersezione di più condizioni. Se hai radici e frazioni insieme, risolvi separatamente ogni vincolo, poi trova dove si sovrappongono.
Negli esercizi più difficili, potresti avere sistemi come -3 ≤ x ≤ 3 combinato con x ≠ 2 e x ≠ 3, che ti porta a domini come [-3;0)∪(2;3).

Accesso a tutti i documenti
Migliora i tuoi voti
Unisciti a milioni di studenti
Le funzioni goniometriche hanno domini specifici da ricordare. Per f(x) = tan(g(x)), devi evitare g(x) = π/2 + kπ. Per f(x) = cot(g(x)), escludi g(x) = kπ.
Le funzioni goniometriche inverse hanno restrizioni sull'argomento: arcsin e arccos richiedono -1 ≤ argomento ≤ 1. Quindi per f(x) = arcsin, devi risolvere -1 ≤ x-1 ≤ 1, ottenendo 0 ≤ x ≤ 2.
Per combinazioni complesse come f(x) = tan(ln x), unisci le condizioni: ln x ≠ π/2 + kπ e x > 0 per il logaritmo.
Negli esercizi con funzioni composte tipo f(x) = ², devi rispettare sia il dominio dell'arcsin che la condizione per l'elevamento a potenza.
Memo veloce: tan e cot → escludi multipli di π; arcsin e arccos → argomento tra -1 e 1!
Il nostro assistente AI è costruito specificamente per le esigenze degli studenti. Sulla base dei milioni di contenuti presenti sulla piattaforma, possiamo fornire agli studenti risposte davvero significative e pertinenti. Ma non si tratta solo di risposte, l'assistente è in grado di guidare gli studenti attraverso le loro sfide quotidiane di studio, con piani di studio personalizzati, quiz o contenuti nella chat e una personalizzazione al 100% basata sulle competenze e sugli sviluppi degli studenti.
È possibile scaricare l'applicazione dal Google Play Store e dall'Apple App Store.
Sì, hai accesso completamente gratuito a tutti i contenuti nell'app e puoi chattare o seguire i Creatori in qualsiasi momento. Sbloccherai nuove funzioni crescendo il tuo numero di follower. Inoltre, offriamo Knowunity Premium, che consente di studiare senza alcun limite!!
4
Strumenti Intelligenti NUOVO
Trasforma questi appunti in: ✓ 50+ Domande di Pratica ✓ Flashcard Interattive ✓ Simulazione d'esame completa ✓ Schemi per Saggi
introduzione breve e schematizzata del dominio e delle funzioni+ classificazione (allegati esempi)✨
carattere e modalità
Media, mediana, moda, grafici, metodo dei minimi quadrati, teorema di Bayes, distribuzioni, variabili ecc.
Intorni di un punto, intorni circolari, intorni limitati, punti isolati, punti di accumulazione
le funzioni iniettive, suriettive, biettive e biunivoche
Introduzione alla statistica, Definizione di statistica, Criterio della raccolta dati, Interpretazione dei dati e loro rappresentazione, Media aritmetica, Moda, Mediana, Varianza, Deviazione standard
App Store
Google Play
L'applicazione è molto facile da usare e ben progettata. Finora ho trovato tutto quello che cercavo e ho potuto imparare molto dalle presentazioni! Utilizzerò sicuramente l'app per i compiti in classe! È molto utile anche come fonte di ispirazione.
Stefano S
utente iOS
Questa applicazione è davvero grande! Ci sono tantissimi appunti e aiuti con lo studio [...]. La mia materia problematica, per esempio, è il francese e l'app ha così tante opzioni per aiutarmi. Grazie a questa app ho migliorato il mio francese. La consiglio a tutti.
Samantha Klich
utente Android
Wow, sono davvero stupita. Ho appena provato l'app perché l'ho vista pubblicizzata molte volte e sono rimasta assolutamente sbalordita. Questa app è L'AIUTO che cercate per la scuola e soprattutto offre tantissime cose, come allenamenti e schede, che a me personalmente sono state MOLTO utili.
Anna
utente iOS
È bellissima questa app, la adoro. È utilissima per lo studio e mi aiuta molto, anzi moltissimo, ma soprattutto mi aiutano molto i quiz, per memorizzare anche quello che non sapevo
Anastasia
utente Android
Fantastica per qualsiasi materia avere gli appunti anche di altre persone è molto utile perchè posso confrontarmi e vedere come migliorarmi. con i quiz riesco ad apprendere al meglio.
Francesca
utente Android
moooolto utile,gli appunti sono belli e funzionanti,schoolGPT da dei consigli formidabili!!
Marianna
utente Android
L'applicazione è semplicemente fantastica! Tutto ciò che devo fare è inserire l'argomento nella barra di ricerca e ottengo la risposta molto velocemente. Non devo guardare 10 video di YouTube per capire qualcosa, quindi risparmio tempo. Consigliatissima!
Sudenaz Ocak
utente Android
A scuola andavo malissimo in matematica, ma grazie a questa applicazione ora vado meglio. Vi sono molto grato per aver creato questa app.
Greenlight Bonnie
utente Android
Knowunity è un applicazione fantastica,considerando che ha degli schemi veramente molto carini e sfiziosi e che ci sono dei quiz,oltre al fatto che questa cosa dell intelligenza artificiale "school gpt" è almeno per me molto utile, perché a differenza di Chatgpt ti da le spiegazioni, ti spiega ciò che non è chiaro! Posso studiare più velocemente tramite gli schemi e che posso pubblicare io stessa gli schemi è una funzione utilissima per gli altri studenti. Knowunity è PERFETTA
Aurora
utente Android
L’app funziona benissimo e puoi trovare qualsiasi tipo di informazione. Non ho l’abbonamento ma la parte gratuita è sufficiente per uno studio approfondito.
Martina
utente iOS
I quiz E LE flashcard SONO COSÌ UTILI E ADORO Knowunity IA. È ANCHE LETTERALMENTE COME CHATGPT MA PIÙ INTELLIGENTE!! MI HA AIUTATO ANCHE COI MIEI PROBLEMI DI MASCARA!! E ANCHE CON LE MIE VERE MATERIE! OVVIO 😍😁😲🤑💗✨🎀😮
Chiara
utente IOS
Questa app è una delle migliori, nient’altro da dire.
Andrea
utente iOS
L'applicazione è molto facile da usare e ben progettata. Finora ho trovato tutto quello che cercavo e ho potuto imparare molto dalle presentazioni! Utilizzerò sicuramente l'app per i compiti in classe! È molto utile anche come fonte di ispirazione.
Stefano S
utente iOS
Questa applicazione è davvero grande! Ci sono tantissimi appunti e aiuti con lo studio [...]. La mia materia problematica, per esempio, è il francese e l'app ha così tante opzioni per aiutarmi. Grazie a questa app ho migliorato il mio francese. La consiglio a tutti.
Samantha Klich
utente Android
Wow, sono davvero stupita. Ho appena provato l'app perché l'ho vista pubblicizzata molte volte e sono rimasta assolutamente sbalordita. Questa app è L'AIUTO che cercate per la scuola e soprattutto offre tantissime cose, come allenamenti e schede, che a me personalmente sono state MOLTO utili.
Anna
utente iOS
È bellissima questa app, la adoro. È utilissima per lo studio e mi aiuta molto, anzi moltissimo, ma soprattutto mi aiutano molto i quiz, per memorizzare anche quello che non sapevo
Anastasia
utente Android
Fantastica per qualsiasi materia avere gli appunti anche di altre persone è molto utile perchè posso confrontarmi e vedere come migliorarmi. con i quiz riesco ad apprendere al meglio.
Francesca
utente Android
moooolto utile,gli appunti sono belli e funzionanti,schoolGPT da dei consigli formidabili!!
Marianna
utente Android
L'applicazione è semplicemente fantastica! Tutto ciò che devo fare è inserire l'argomento nella barra di ricerca e ottengo la risposta molto velocemente. Non devo guardare 10 video di YouTube per capire qualcosa, quindi risparmio tempo. Consigliatissima!
Sudenaz Ocak
utente Android
A scuola andavo malissimo in matematica, ma grazie a questa applicazione ora vado meglio. Vi sono molto grato per aver creato questa app.
Greenlight Bonnie
utente Android
Knowunity è un applicazione fantastica,considerando che ha degli schemi veramente molto carini e sfiziosi e che ci sono dei quiz,oltre al fatto che questa cosa dell intelligenza artificiale "school gpt" è almeno per me molto utile, perché a differenza di Chatgpt ti da le spiegazioni, ti spiega ciò che non è chiaro! Posso studiare più velocemente tramite gli schemi e che posso pubblicare io stessa gli schemi è una funzione utilissima per gli altri studenti. Knowunity è PERFETTA
Aurora
utente Android
L’app funziona benissimo e puoi trovare qualsiasi tipo di informazione. Non ho l’abbonamento ma la parte gratuita è sufficiente per uno studio approfondito.
Martina
utente iOS
I quiz E LE flashcard SONO COSÌ UTILI E ADORO Knowunity IA. È ANCHE LETTERALMENTE COME CHATGPT MA PIÙ INTELLIGENTE!! MI HA AIUTATO ANCHE COI MIEI PROBLEMI DI MASCARA!! E ANCHE CON LE MIE VERE MATERIE! OVVIO 😍😁😲🤑💗✨🎀😮
Chiara
utente IOS
Questa app è una delle migliori, nient’altro da dire.
Andrea
utente iOS