I radicali sono uno strumento matematico fondamentale che ti permetterà... Mostra di più
Iscriviti per mostrare il contenutoÈ gratis!
Accesso a tutti i documenti
Migliora i tuoi voti
Unisciti a milioni di studenti
Knowunity AI
Materie
Triangle Congruence and Similarity Theorems
Triangle Properties and Classification
Linear Equations and Graphs
Geometric Angle Relationships
Trigonometric Functions and Identities
Equation Solving Techniques
Circle Geometry Fundamentals
Division Operations and Methods
Basic Differentiation Rules
Exponent and Logarithm Properties
Mostra tutti gli argomenti
Human Organ Systems
Reproductive Cell Cycles
Biological Sciences Subdisciplines
Cellular Energy Metabolism
Autotrophic Energy Processes
Inheritance Patterns and Principles
Biomolecular Structure and Organization
Cell Cycle and Division Mechanics
Cellular Organization and Development
Biological Structural Organization
Mostra tutti gli argomenti
Chemical Sciences and Applications
Atomic Structure and Composition
Molecular Electron Structure Representation
Atomic Electron Behavior
Matter Properties and Water
Mole Concept and Calculations
Gas Laws and Behavior
Periodic Table Organization
Chemical Thermodynamics Fundamentals
Chemical Bond Types and Properties
Mostra tutti gli argomenti
European Renaissance and Enlightenment
European Cultural Movements 800-1920
American Revolution Era 1763-1797
American Civil War 1861-1865
Global Imperial Systems
Mongol and Chinese Dynasties
U.S. Presidents and World Leaders
Historical Sources and Documentation
World Wars Era and Impact
World Religious Systems
Mostra tutti gli argomenti
Classic and Contemporary Novels
Literary Character Analysis
Rhetorical Theory and Practice
Classic Literary Narratives
Reading Analysis and Interpretation
Narrative Structure and Techniques
English Language Components
Influential English-Language Authors
Basic Sentence Structure
Narrative Voice and Perspective
Mostra tutti gli argomenti
4,419
•
Aggiornato Mar 31, 2026
•
Marta C.
@artaascio_xtfrenxbpa
I radicali sono uno strumento matematico fondamentale che ti permetterà... Mostra di più











I radicali sono l'operazione inversa delle potenze e li riconosci dal simbolo √. Il numero sotto la radice si chiama radicando, mentre il numerino in alto a sinistra è l'indice (se non c'è niente, l'indice è 2).
Esempi pratici: √16 = 4 perché 4² = 16, oppure ∛8 = 2 perché 2³ = 8. È proprio come fare il contrario di elevare a potenza!
I radicali spesso producono numeri irrazionali, cioè numeri con decimali infiniti non periodici. Per esempio, √2 = 1,414... e continua all'infinito senza ripetersi.
💡 Ricorda: Un radicale è sempre collegato a una potenza. Se ∛27 = 3, allora 3³ = 27!

Puoi trasformare i radicali in potenze con esponente frazionario: ∛27² diventa 27^(2/3). Il numeratore della frazione viene dall'esponente del radicando, il denominatore dall'indice della radice.
Quando hai numeri negativi sotto radice, l'indice deve essere dispari per ottenere un risultato reale. Per esempio, ∛(-8) = -2 funziona, ma √(-4) non esiste nei numeri reali.
La regola è semplice: se l'indice è pari, il radicando deve essere positivo o zero. Se l'indice è dispari, il radicando può essere qualsiasi numero reale.
💡 Trucco: Con indici dispari puoi "portare fuori" il segno negativo: ∛(-27) = -∛27 = -3

Prima di lavorare con i radicali, devi sempre controllare le condizioni di esistenza (C.E.). Per √, serve che x-3 ≥ 0, quindi x ≥ 3.
Tre principi fondamentali ti aiuteranno sempre:
Il terzo principio ti permette di moltiplicare indice ed esponente per lo stesso numero per ottenere radicali equivalenti, ma solo se il radicando è positivo.
💡 Attenzione: Con numeri negativi, moltiplicare indice ed esponente può cambiare il risultato!

Puoi semplificare i radicali usando la proprietà invariantiva: se indice ed esponente hanno un fattore comune, dividili entrambi per quel fattore. ⁴√(3²) = √3 (diviso per 2).
Quando semplifici, devi mantenere le stesse condizioni di esistenza e lo stesso segno del radicale originale. A volte dovrai usare il valore assoluto per garantire questo.
Esempi corretti: ⁶√(a⁸) = ³√(a⁴) funziona perché entrambi sono sempre positivi. Ma ⁸√(a⁴) = √a non va bene se a è negativo!
💡 Strategia: Prima di semplificare, controlla sempre se il risultato avrà lo stesso segno dell'originale

Per moltiplicare o dividere radicali con lo stesso indice, moltiplica o dividi i radicandi: √3 · √4 = √12, √32 : √4 = √8 = 2√2.
Con indici diversi, devi prima renderli uguali usando il minimo comune multiplo: ∛5 · √3 = ⁶√(5²) · ⁶√(3³) = ⁶√75.
Per la potenza di un radicale, l'esponente va sul radicando: (∛6)² = ∛(6²) = ∛36. Per la radice di una radice, moltiplica gli indici: ³√(⁵√7) = ¹⁵√7.
💡 Pro tip: Quando hai segni negativi, portali sempre fuori dalla radice prima di fare i calcoli!

Puoi sommare o sottrarre solo radicali simili (stesso indice e radicando): 2√3 + 3√3 = 5√3.
Per rendere simili i radicali non simili, porta fattori fuori dalla radice: √8 = √(4·2) = 2√2. Così √2 + √8 = √2 + 2√2 = 3√2.
Puoi anche portare fattori dentro la radice: 3√2 = √(2·3²) = √18. Il coefficiente va elevato all'indice della radice.
💡 Tecnica: Scomponi sempre i radicandi in fattori per trovare quelli che puoi portare fuori!

La razionalizzazione elimina le radici dal denominatore moltiplicando numeratore e denominatore per la radice che sta al denominatore.
Esempio base: 5/√2 = (5·√2)/(√2·√2) = 5√2/2. In pratica, moltiplichi per √2/√2 che vale 1.
Funziona perché √2 · √2 = 2, che non è più un numero irrazionale. Il risultato è una frazione equivalente ma più "pulita" da usare nei calcoli.
💡 Ricorda: Stai moltiplicando per 1 (scritto in modo furbo), quindi il valore della frazione non cambia!

Per denominatori come ³√(2²), moltiplica per ³√ = ³√2 per ottenere ³√(2³) = 2 al denominatore.
Con somme o differenze come √3 - √2, usa la formula = a² - b². Moltiplica per il coniugato (√3 + √2).
Esempio: 1/(√3 - √2) · (√3 + √2)/(√3 + √2) = (√3 + √2)/(3 - 2) = √3 + √2.
💡 Strategia: Il coniugato trasforma la sottrazione in una differenza di quadrati, eliminando le radici!

Per riscrivere come unica radice, trova l'indice comune usando il m.c.m. degli indici: √2 · ³√2 · ⁴√2 = ¹²√(2⁶) · ¹²√(2⁴) · ¹²√(2³) = ¹²√(2¹³).
Negli esercizi con razionalizzazione, controlla sempre le condizioni di esistenza prima di iniziare. Per x/, serve x ≥ 0 e √x ≠ 2, quindi x ≥ 0 e x ≠ 4.
Nelle semplificazioni complesse, cerca prodotti notevoli come ² e trasforma tutto allo stesso indice prima di procedere.
💡 Metodo: Affronta gli esercizi step by step: prima le condizioni, poi le trasformazioni, infine i calcoli!

L'ultimo passaggio degli esercizi complessi spesso si semplifica molto: dopo tutti i calcoli, potresti ottenere semplicemente 1 come risultato finale.
Per determinare il valore di incognite, trasforma tutto allo stesso indice: se ³√2 = ⁸√a, scrivi entrambi con indice 24 e uguaglia i radicandi.
Il risultato finale sarà a³ = 16, quindi a = ³√16. Questi esercizi testano la tua capacità di manipolare gli indici dei radicali.
💡 Consiglio finale: Non scoraggiarti se i calcoli sembrano lunghi - spesso il risultato finale è più semplice di quanto sembri!
Il nostro assistente AI è costruito specificamente per le esigenze degli studenti. Sulla base dei milioni di contenuti presenti sulla piattaforma, possiamo fornire agli studenti risposte davvero significative e pertinenti. Ma non si tratta solo di risposte, l'assistente è in grado di guidare gli studenti attraverso le loro sfide quotidiane di studio, con piani di studio personalizzati, quiz o contenuti nella chat e una personalizzazione al 100% basata sulle competenze e sugli sviluppi degli studenti.
È possibile scaricare l'applicazione dal Google Play Store e dall'Apple App Store.
Sì, hai accesso completamente gratuito a tutti i contenuti nell'app e puoi chattare o seguire i Creatori in qualsiasi momento. Sbloccherai nuove funzioni crescendo il tuo numero di follower. Inoltre, offriamo Knowunity Premium, che consente di studiare senza alcun limite!!
App Store
Google Play
L'applicazione è molto facile da usare e ben progettata. Finora ho trovato tutto quello che cercavo e ho potuto imparare molto dalle presentazioni! Utilizzerò sicuramente l'app per i compiti in classe! È molto utile anche come fonte di ispirazione.
Stefano S
utente iOS
Questa applicazione è davvero grande! Ci sono tantissimi appunti e aiuti con lo studio [...]. La mia materia problematica, per esempio, è il francese e l'app ha così tante opzioni per aiutarmi. Grazie a questa app ho migliorato il mio francese. La consiglio a tutti.
Samantha Klich
utente Android
Wow, sono davvero stupita. Ho appena provato l'app perché l'ho vista pubblicizzata molte volte e sono rimasta assolutamente sbalordita. Questa app è L'AIUTO che cercate per la scuola e soprattutto offre tantissime cose, come allenamenti e schede, che a me personalmente sono state MOLTO utili.
Anna
utente iOS
È bellissima questa app, la adoro. È utilissima per lo studio e mi aiuta molto, anzi moltissimo, ma soprattutto mi aiutano molto i quiz, per memorizzare anche quello che non sapevo
Anastasia
utente Android
Fantastica per qualsiasi materia avere gli appunti anche di altre persone è molto utile perchè posso confrontarmi e vedere come migliorarmi. con i quiz riesco ad apprendere al meglio.
Francesca
utente Android
moooolto utile,gli appunti sono belli e funzionanti,schoolGPT da dei consigli formidabili!!
Marianna
utente Android
L'applicazione è semplicemente fantastica! Tutto ciò che devo fare è inserire l'argomento nella barra di ricerca e ottengo la risposta molto velocemente. Non devo guardare 10 video di YouTube per capire qualcosa, quindi risparmio tempo. Consigliatissima!
Sudenaz Ocak
utente Android
A scuola andavo malissimo in matematica, ma grazie a questa applicazione ora vado meglio. Vi sono molto grato per aver creato questa app.
Greenlight Bonnie
utente Android
Knowunity è un applicazione fantastica,considerando che ha degli schemi veramente molto carini e sfiziosi e che ci sono dei quiz,oltre al fatto che questa cosa dell intelligenza artificiale "school gpt" è almeno per me molto utile, perché a differenza di Chatgpt ti da le spiegazioni, ti spiega ciò che non è chiaro! Posso studiare più velocemente tramite gli schemi e che posso pubblicare io stessa gli schemi è una funzione utilissima per gli altri studenti. Knowunity è PERFETTA
Aurora
utente Android
L’app funziona benissimo e puoi trovare qualsiasi tipo di informazione. Non ho l’abbonamento ma la parte gratuita è sufficiente per uno studio approfondito.
Martina
utente iOS
I quiz E LE flashcard SONO COSÌ UTILI E ADORO Knowunity IA. È ANCHE LETTERALMENTE COME CHATGPT MA PIÙ INTELLIGENTE!! MI HA AIUTATO ANCHE COI MIEI PROBLEMI DI MASCARA!! E ANCHE CON LE MIE VERE MATERIE! OVVIO 😍😁😲🤑💗✨🎀😮
Chiara
utente IOS
Questa app è una delle migliori, nient’altro da dire.
Andrea
utente iOS
L'applicazione è molto facile da usare e ben progettata. Finora ho trovato tutto quello che cercavo e ho potuto imparare molto dalle presentazioni! Utilizzerò sicuramente l'app per i compiti in classe! È molto utile anche come fonte di ispirazione.
Stefano S
utente iOS
Questa applicazione è davvero grande! Ci sono tantissimi appunti e aiuti con lo studio [...]. La mia materia problematica, per esempio, è il francese e l'app ha così tante opzioni per aiutarmi. Grazie a questa app ho migliorato il mio francese. La consiglio a tutti.
Samantha Klich
utente Android
Wow, sono davvero stupita. Ho appena provato l'app perché l'ho vista pubblicizzata molte volte e sono rimasta assolutamente sbalordita. Questa app è L'AIUTO che cercate per la scuola e soprattutto offre tantissime cose, come allenamenti e schede, che a me personalmente sono state MOLTO utili.
Anna
utente iOS
È bellissima questa app, la adoro. È utilissima per lo studio e mi aiuta molto, anzi moltissimo, ma soprattutto mi aiutano molto i quiz, per memorizzare anche quello che non sapevo
Anastasia
utente Android
Fantastica per qualsiasi materia avere gli appunti anche di altre persone è molto utile perchè posso confrontarmi e vedere come migliorarmi. con i quiz riesco ad apprendere al meglio.
Francesca
utente Android
moooolto utile,gli appunti sono belli e funzionanti,schoolGPT da dei consigli formidabili!!
Marianna
utente Android
L'applicazione è semplicemente fantastica! Tutto ciò che devo fare è inserire l'argomento nella barra di ricerca e ottengo la risposta molto velocemente. Non devo guardare 10 video di YouTube per capire qualcosa, quindi risparmio tempo. Consigliatissima!
Sudenaz Ocak
utente Android
A scuola andavo malissimo in matematica, ma grazie a questa applicazione ora vado meglio. Vi sono molto grato per aver creato questa app.
Greenlight Bonnie
utente Android
Knowunity è un applicazione fantastica,considerando che ha degli schemi veramente molto carini e sfiziosi e che ci sono dei quiz,oltre al fatto che questa cosa dell intelligenza artificiale "school gpt" è almeno per me molto utile, perché a differenza di Chatgpt ti da le spiegazioni, ti spiega ciò che non è chiaro! Posso studiare più velocemente tramite gli schemi e che posso pubblicare io stessa gli schemi è una funzione utilissima per gli altri studenti. Knowunity è PERFETTA
Aurora
utente Android
L’app funziona benissimo e puoi trovare qualsiasi tipo di informazione. Non ho l’abbonamento ma la parte gratuita è sufficiente per uno studio approfondito.
Martina
utente iOS
I quiz E LE flashcard SONO COSÌ UTILI E ADORO Knowunity IA. È ANCHE LETTERALMENTE COME CHATGPT MA PIÙ INTELLIGENTE!! MI HA AIUTATO ANCHE COI MIEI PROBLEMI DI MASCARA!! E ANCHE CON LE MIE VERE MATERIE! OVVIO 😍😁😲🤑💗✨🎀😮
Chiara
utente IOS
Questa app è una delle migliori, nient’altro da dire.
Andrea
utente iOS
Marta C.
@artaascio_xtfrenxbpa
I radicali sono uno strumento matematico fondamentale che ti permetterà di lavorare con radici e potenze in modo più avanzato. Imparerai come manipolare questi numeri speciali e come risolvere problemi che coinvolgono radici quadrate, cubiche e di qualsiasi ordine.

Accesso a tutti i documenti
Migliora i tuoi voti
Unisciti a milioni di studenti
I radicali sono l'operazione inversa delle potenze e li riconosci dal simbolo √. Il numero sotto la radice si chiama radicando, mentre il numerino in alto a sinistra è l'indice (se non c'è niente, l'indice è 2).
Esempi pratici: √16 = 4 perché 4² = 16, oppure ∛8 = 2 perché 2³ = 8. È proprio come fare il contrario di elevare a potenza!
I radicali spesso producono numeri irrazionali, cioè numeri con decimali infiniti non periodici. Per esempio, √2 = 1,414... e continua all'infinito senza ripetersi.
💡 Ricorda: Un radicale è sempre collegato a una potenza. Se ∛27 = 3, allora 3³ = 27!

Accesso a tutti i documenti
Migliora i tuoi voti
Unisciti a milioni di studenti
Puoi trasformare i radicali in potenze con esponente frazionario: ∛27² diventa 27^(2/3). Il numeratore della frazione viene dall'esponente del radicando, il denominatore dall'indice della radice.
Quando hai numeri negativi sotto radice, l'indice deve essere dispari per ottenere un risultato reale. Per esempio, ∛(-8) = -2 funziona, ma √(-4) non esiste nei numeri reali.
La regola è semplice: se l'indice è pari, il radicando deve essere positivo o zero. Se l'indice è dispari, il radicando può essere qualsiasi numero reale.
💡 Trucco: Con indici dispari puoi "portare fuori" il segno negativo: ∛(-27) = -∛27 = -3

Accesso a tutti i documenti
Migliora i tuoi voti
Unisciti a milioni di studenti
Prima di lavorare con i radicali, devi sempre controllare le condizioni di esistenza (C.E.). Per √, serve che x-3 ≥ 0, quindi x ≥ 3.
Tre principi fondamentali ti aiuteranno sempre:
Il terzo principio ti permette di moltiplicare indice ed esponente per lo stesso numero per ottenere radicali equivalenti, ma solo se il radicando è positivo.
💡 Attenzione: Con numeri negativi, moltiplicare indice ed esponente può cambiare il risultato!

Accesso a tutti i documenti
Migliora i tuoi voti
Unisciti a milioni di studenti
Puoi semplificare i radicali usando la proprietà invariantiva: se indice ed esponente hanno un fattore comune, dividili entrambi per quel fattore. ⁴√(3²) = √3 (diviso per 2).
Quando semplifici, devi mantenere le stesse condizioni di esistenza e lo stesso segno del radicale originale. A volte dovrai usare il valore assoluto per garantire questo.
Esempi corretti: ⁶√(a⁸) = ³√(a⁴) funziona perché entrambi sono sempre positivi. Ma ⁸√(a⁴) = √a non va bene se a è negativo!
💡 Strategia: Prima di semplificare, controlla sempre se il risultato avrà lo stesso segno dell'originale

Accesso a tutti i documenti
Migliora i tuoi voti
Unisciti a milioni di studenti
Per moltiplicare o dividere radicali con lo stesso indice, moltiplica o dividi i radicandi: √3 · √4 = √12, √32 : √4 = √8 = 2√2.
Con indici diversi, devi prima renderli uguali usando il minimo comune multiplo: ∛5 · √3 = ⁶√(5²) · ⁶√(3³) = ⁶√75.
Per la potenza di un radicale, l'esponente va sul radicando: (∛6)² = ∛(6²) = ∛36. Per la radice di una radice, moltiplica gli indici: ³√(⁵√7) = ¹⁵√7.
💡 Pro tip: Quando hai segni negativi, portali sempre fuori dalla radice prima di fare i calcoli!

Accesso a tutti i documenti
Migliora i tuoi voti
Unisciti a milioni di studenti
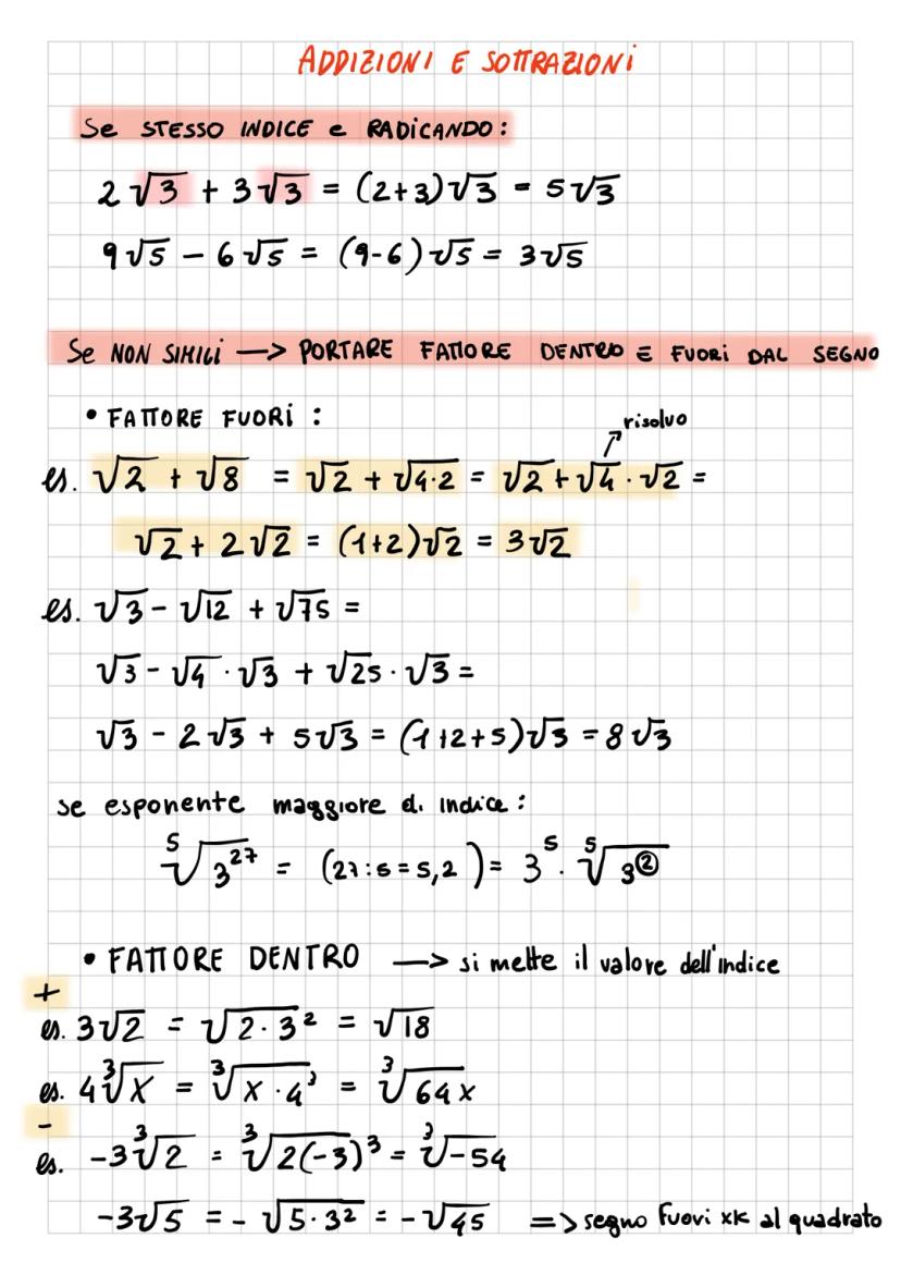
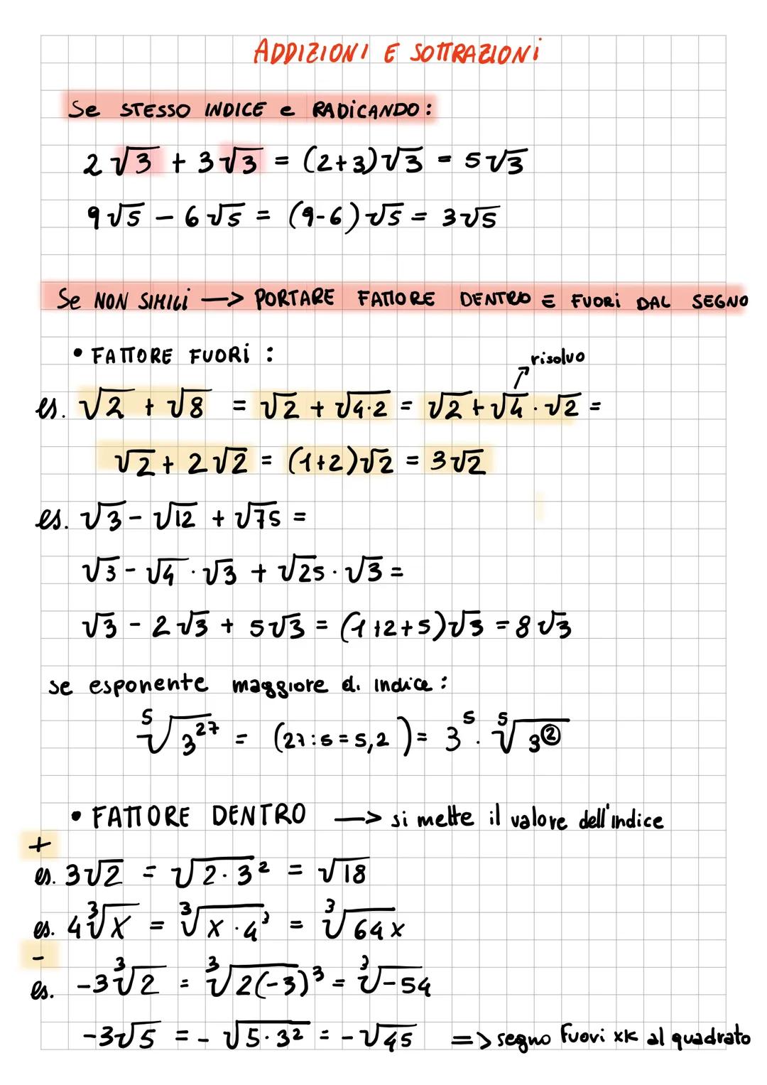
Puoi sommare o sottrarre solo radicali simili (stesso indice e radicando): 2√3 + 3√3 = 5√3.
Per rendere simili i radicali non simili, porta fattori fuori dalla radice: √8 = √(4·2) = 2√2. Così √2 + √8 = √2 + 2√2 = 3√2.
Puoi anche portare fattori dentro la radice: 3√2 = √(2·3²) = √18. Il coefficiente va elevato all'indice della radice.
💡 Tecnica: Scomponi sempre i radicandi in fattori per trovare quelli che puoi portare fuori!

Accesso a tutti i documenti
Migliora i tuoi voti
Unisciti a milioni di studenti
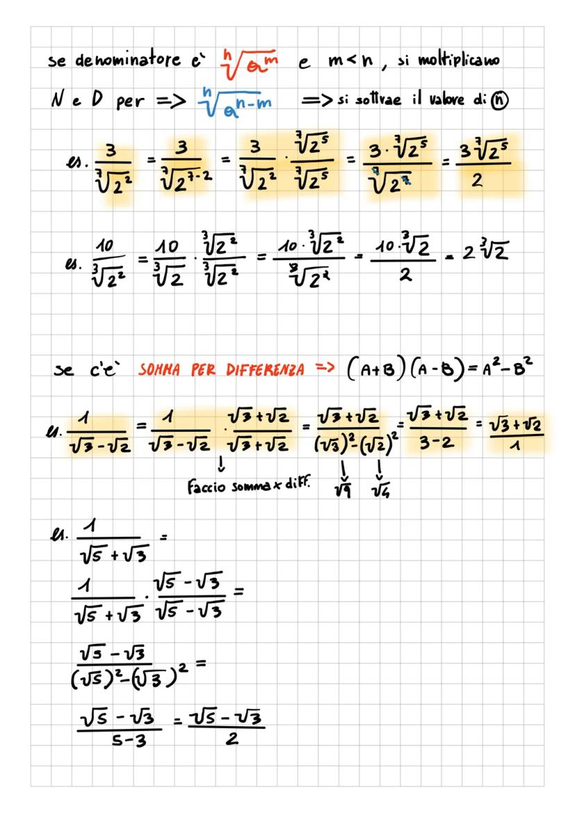
La razionalizzazione elimina le radici dal denominatore moltiplicando numeratore e denominatore per la radice che sta al denominatore.
Esempio base: 5/√2 = (5·√2)/(√2·√2) = 5√2/2. In pratica, moltiplichi per √2/√2 che vale 1.
Funziona perché √2 · √2 = 2, che non è più un numero irrazionale. Il risultato è una frazione equivalente ma più "pulita" da usare nei calcoli.
💡 Ricorda: Stai moltiplicando per 1 (scritto in modo furbo), quindi il valore della frazione non cambia!

Accesso a tutti i documenti
Migliora i tuoi voti
Unisciti a milioni di studenti
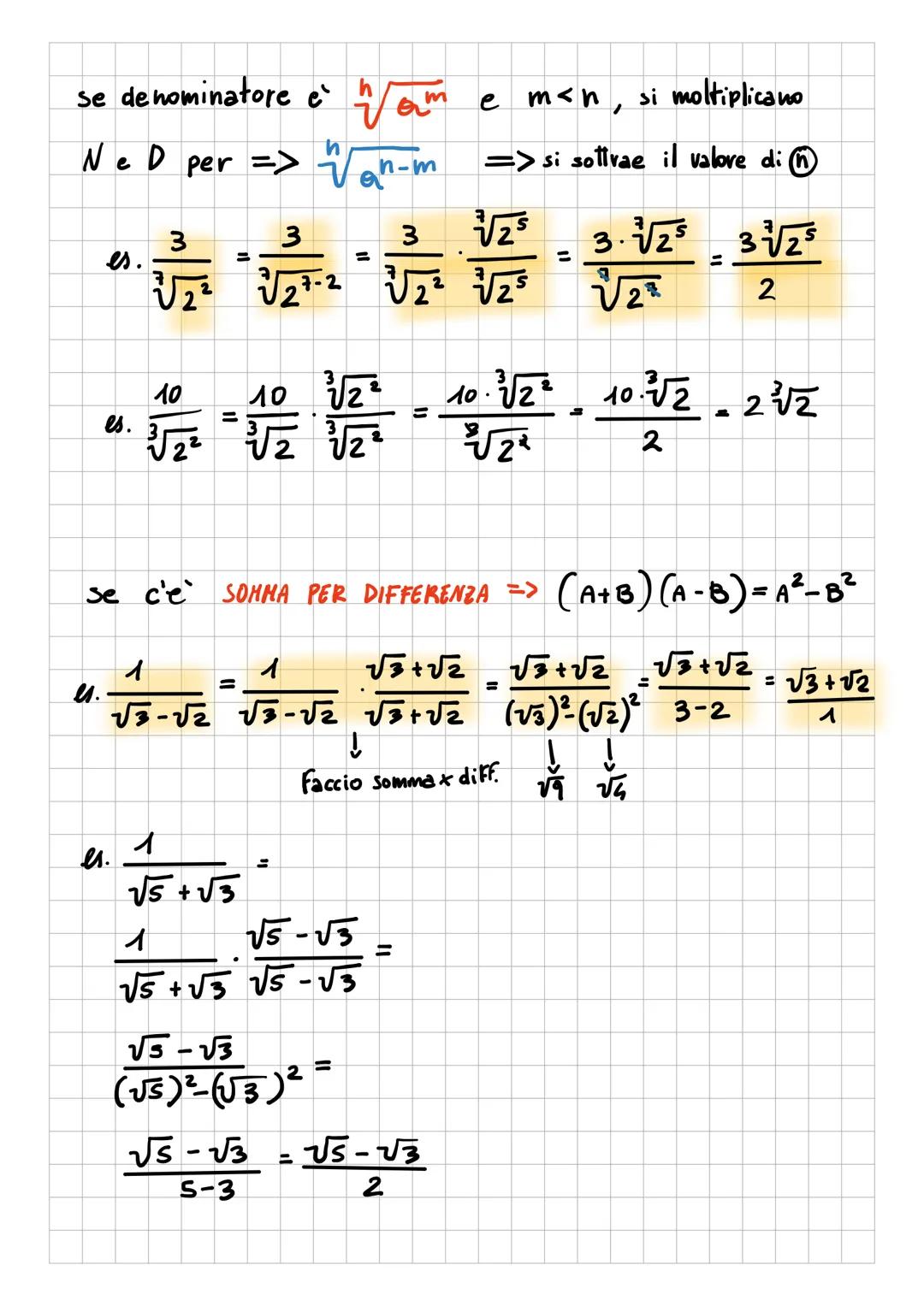
Per denominatori come ³√(2²), moltiplica per ³√ = ³√2 per ottenere ³√(2³) = 2 al denominatore.
Con somme o differenze come √3 - √2, usa la formula = a² - b². Moltiplica per il coniugato (√3 + √2).
Esempio: 1/(√3 - √2) · (√3 + √2)/(√3 + √2) = (√3 + √2)/(3 - 2) = √3 + √2.
💡 Strategia: Il coniugato trasforma la sottrazione in una differenza di quadrati, eliminando le radici!

Accesso a tutti i documenti
Migliora i tuoi voti
Unisciti a milioni di studenti
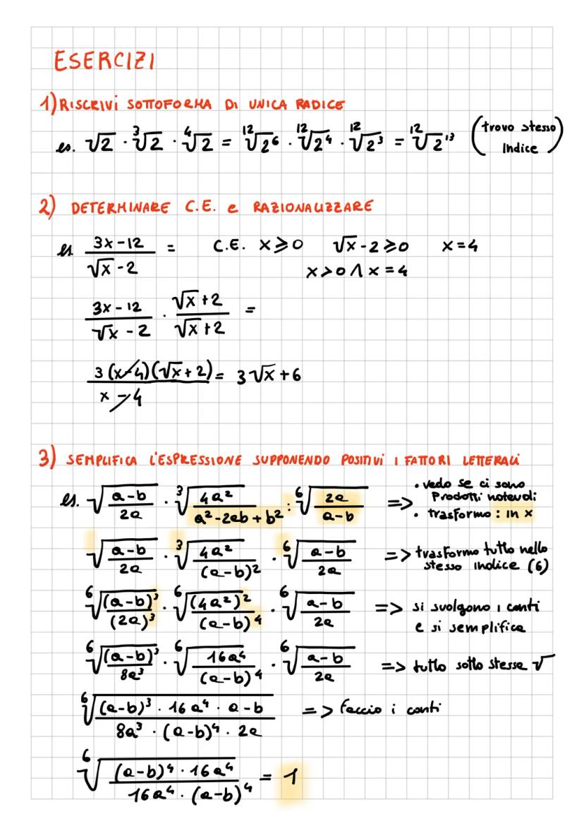
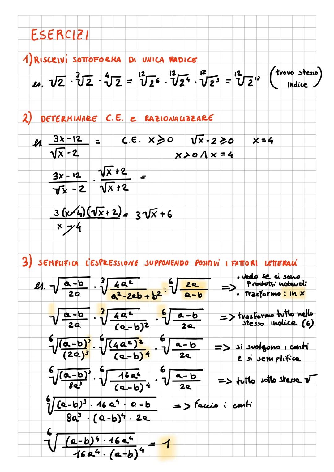
Per riscrivere come unica radice, trova l'indice comune usando il m.c.m. degli indici: √2 · ³√2 · ⁴√2 = ¹²√(2⁶) · ¹²√(2⁴) · ¹²√(2³) = ¹²√(2¹³).
Negli esercizi con razionalizzazione, controlla sempre le condizioni di esistenza prima di iniziare. Per x/, serve x ≥ 0 e √x ≠ 2, quindi x ≥ 0 e x ≠ 4.
Nelle semplificazioni complesse, cerca prodotti notevoli come ² e trasforma tutto allo stesso indice prima di procedere.
💡 Metodo: Affronta gli esercizi step by step: prima le condizioni, poi le trasformazioni, infine i calcoli!

Accesso a tutti i documenti
Migliora i tuoi voti
Unisciti a milioni di studenti
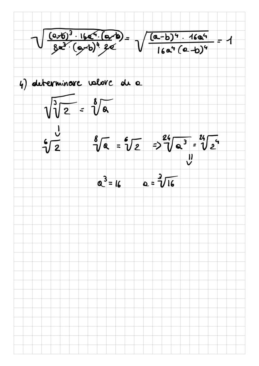
L'ultimo passaggio degli esercizi complessi spesso si semplifica molto: dopo tutti i calcoli, potresti ottenere semplicemente 1 come risultato finale.
Per determinare il valore di incognite, trasforma tutto allo stesso indice: se ³√2 = ⁸√a, scrivi entrambi con indice 24 e uguaglia i radicandi.
Il risultato finale sarà a³ = 16, quindi a = ³√16. Questi esercizi testano la tua capacità di manipolare gli indici dei radicali.
💡 Consiglio finale: Non scoraggiarti se i calcoli sembrano lunghi - spesso il risultato finale è più semplice di quanto sembri!
Il nostro assistente AI è costruito specificamente per le esigenze degli studenti. Sulla base dei milioni di contenuti presenti sulla piattaforma, possiamo fornire agli studenti risposte davvero significative e pertinenti. Ma non si tratta solo di risposte, l'assistente è in grado di guidare gli studenti attraverso le loro sfide quotidiane di studio, con piani di studio personalizzati, quiz o contenuti nella chat e una personalizzazione al 100% basata sulle competenze e sugli sviluppi degli studenti.
È possibile scaricare l'applicazione dal Google Play Store e dall'Apple App Store.
Sì, hai accesso completamente gratuito a tutti i contenuti nell'app e puoi chattare o seguire i Creatori in qualsiasi momento. Sbloccherai nuove funzioni crescendo il tuo numero di follower. Inoltre, offriamo Knowunity Premium, che consente di studiare senza alcun limite!!
87
Strumenti Intelligenti NUOVO
Trasforma questi appunti in: ✓ 50+ Domande di Pratica ✓ Flashcard Interattive ✓ Simulazione d'esame completa ✓ Schemi per Saggi
appunti sui radicali con esempi
radicali e razionalizzazione
Appunti sui radicali: definizione di radicale, proprietà invariantiva, operazioni (prodotto, rapporto, elevamento a potenza, radice, somma algebrica), come trasportare i coefficienti dentro e fuori dal segno di radice, razionalizzazione.
Moltiplicazione e divisione, trasportare un fattore fuori e dentro il segno di radice, potenza di un radicale, radice di un radicale, addizione e sottrazione, razionalizzazione, potenza con esponete razionale, radicali doppi
Algebra
Appunti sui radicali (matematica, algebra)
App Store
Google Play
L'applicazione è molto facile da usare e ben progettata. Finora ho trovato tutto quello che cercavo e ho potuto imparare molto dalle presentazioni! Utilizzerò sicuramente l'app per i compiti in classe! È molto utile anche come fonte di ispirazione.
Stefano S
utente iOS
Questa applicazione è davvero grande! Ci sono tantissimi appunti e aiuti con lo studio [...]. La mia materia problematica, per esempio, è il francese e l'app ha così tante opzioni per aiutarmi. Grazie a questa app ho migliorato il mio francese. La consiglio a tutti.
Samantha Klich
utente Android
Wow, sono davvero stupita. Ho appena provato l'app perché l'ho vista pubblicizzata molte volte e sono rimasta assolutamente sbalordita. Questa app è L'AIUTO che cercate per la scuola e soprattutto offre tantissime cose, come allenamenti e schede, che a me personalmente sono state MOLTO utili.
Anna
utente iOS
È bellissima questa app, la adoro. È utilissima per lo studio e mi aiuta molto, anzi moltissimo, ma soprattutto mi aiutano molto i quiz, per memorizzare anche quello che non sapevo
Anastasia
utente Android
Fantastica per qualsiasi materia avere gli appunti anche di altre persone è molto utile perchè posso confrontarmi e vedere come migliorarmi. con i quiz riesco ad apprendere al meglio.
Francesca
utente Android
moooolto utile,gli appunti sono belli e funzionanti,schoolGPT da dei consigli formidabili!!
Marianna
utente Android
L'applicazione è semplicemente fantastica! Tutto ciò che devo fare è inserire l'argomento nella barra di ricerca e ottengo la risposta molto velocemente. Non devo guardare 10 video di YouTube per capire qualcosa, quindi risparmio tempo. Consigliatissima!
Sudenaz Ocak
utente Android
A scuola andavo malissimo in matematica, ma grazie a questa applicazione ora vado meglio. Vi sono molto grato per aver creato questa app.
Greenlight Bonnie
utente Android
Knowunity è un applicazione fantastica,considerando che ha degli schemi veramente molto carini e sfiziosi e che ci sono dei quiz,oltre al fatto che questa cosa dell intelligenza artificiale "school gpt" è almeno per me molto utile, perché a differenza di Chatgpt ti da le spiegazioni, ti spiega ciò che non è chiaro! Posso studiare più velocemente tramite gli schemi e che posso pubblicare io stessa gli schemi è una funzione utilissima per gli altri studenti. Knowunity è PERFETTA
Aurora
utente Android
L’app funziona benissimo e puoi trovare qualsiasi tipo di informazione. Non ho l’abbonamento ma la parte gratuita è sufficiente per uno studio approfondito.
Martina
utente iOS
I quiz E LE flashcard SONO COSÌ UTILI E ADORO Knowunity IA. È ANCHE LETTERALMENTE COME CHATGPT MA PIÙ INTELLIGENTE!! MI HA AIUTATO ANCHE COI MIEI PROBLEMI DI MASCARA!! E ANCHE CON LE MIE VERE MATERIE! OVVIO 😍😁😲🤑💗✨🎀😮
Chiara
utente IOS
Questa app è una delle migliori, nient’altro da dire.
Andrea
utente iOS
L'applicazione è molto facile da usare e ben progettata. Finora ho trovato tutto quello che cercavo e ho potuto imparare molto dalle presentazioni! Utilizzerò sicuramente l'app per i compiti in classe! È molto utile anche come fonte di ispirazione.
Stefano S
utente iOS
Questa applicazione è davvero grande! Ci sono tantissimi appunti e aiuti con lo studio [...]. La mia materia problematica, per esempio, è il francese e l'app ha così tante opzioni per aiutarmi. Grazie a questa app ho migliorato il mio francese. La consiglio a tutti.
Samantha Klich
utente Android
Wow, sono davvero stupita. Ho appena provato l'app perché l'ho vista pubblicizzata molte volte e sono rimasta assolutamente sbalordita. Questa app è L'AIUTO che cercate per la scuola e soprattutto offre tantissime cose, come allenamenti e schede, che a me personalmente sono state MOLTO utili.
Anna
utente iOS
È bellissima questa app, la adoro. È utilissima per lo studio e mi aiuta molto, anzi moltissimo, ma soprattutto mi aiutano molto i quiz, per memorizzare anche quello che non sapevo
Anastasia
utente Android
Fantastica per qualsiasi materia avere gli appunti anche di altre persone è molto utile perchè posso confrontarmi e vedere come migliorarmi. con i quiz riesco ad apprendere al meglio.
Francesca
utente Android
moooolto utile,gli appunti sono belli e funzionanti,schoolGPT da dei consigli formidabili!!
Marianna
utente Android
L'applicazione è semplicemente fantastica! Tutto ciò che devo fare è inserire l'argomento nella barra di ricerca e ottengo la risposta molto velocemente. Non devo guardare 10 video di YouTube per capire qualcosa, quindi risparmio tempo. Consigliatissima!
Sudenaz Ocak
utente Android
A scuola andavo malissimo in matematica, ma grazie a questa applicazione ora vado meglio. Vi sono molto grato per aver creato questa app.
Greenlight Bonnie
utente Android
Knowunity è un applicazione fantastica,considerando che ha degli schemi veramente molto carini e sfiziosi e che ci sono dei quiz,oltre al fatto che questa cosa dell intelligenza artificiale "school gpt" è almeno per me molto utile, perché a differenza di Chatgpt ti da le spiegazioni, ti spiega ciò che non è chiaro! Posso studiare più velocemente tramite gli schemi e che posso pubblicare io stessa gli schemi è una funzione utilissima per gli altri studenti. Knowunity è PERFETTA
Aurora
utente Android
L’app funziona benissimo e puoi trovare qualsiasi tipo di informazione. Non ho l’abbonamento ma la parte gratuita è sufficiente per uno studio approfondito.
Martina
utente iOS
I quiz E LE flashcard SONO COSÌ UTILI E ADORO Knowunity IA. È ANCHE LETTERALMENTE COME CHATGPT MA PIÙ INTELLIGENTE!! MI HA AIUTATO ANCHE COI MIEI PROBLEMI DI MASCARA!! E ANCHE CON LE MIE VERE MATERIE! OVVIO 😍😁😲🤑💗✨🎀😮
Chiara
utente IOS
Questa app è una delle migliori, nient’altro da dire.
Andrea
utente iOS