Le formule goniometriche sono strumenti fondamentali che ti permettono di... Mostra di più
Iscriviti per mostrare il contenutoÈ gratis!
Accesso a tutti i documenti
Migliora i tuoi voti
Unisciti a milioni di studenti
Knowunity AI
Materie
Triangle Congruence and Similarity Theorems
Triangle Properties and Classification
Linear Equations and Graphs
Geometric Angle Relationships
Trigonometric Functions and Identities
Equation Solving Techniques
Circle Geometry Fundamentals
Division Operations and Methods
Basic Differentiation Rules
Exponent and Logarithm Properties
Mostra tutti gli argomenti
Human Organ Systems
Reproductive Cell Cycles
Biological Sciences Subdisciplines
Cellular Energy Metabolism
Autotrophic Energy Processes
Inheritance Patterns and Principles
Biomolecular Structure and Organization
Cell Cycle and Division Mechanics
Cellular Organization and Development
Biological Structural Organization
Mostra tutti gli argomenti
Chemical Sciences and Applications
Atomic Structure and Composition
Molecular Electron Structure Representation
Atomic Electron Behavior
Matter Properties and Water
Mole Concept and Calculations
Gas Laws and Behavior
Periodic Table Organization
Chemical Thermodynamics Fundamentals
Chemical Bond Types and Properties
Mostra tutti gli argomenti
European Renaissance and Enlightenment
European Cultural Movements 800-1920
American Revolution Era 1763-1797
American Civil War 1861-1865
Global Imperial Systems
Mongol and Chinese Dynasties
U.S. Presidents and World Leaders
Historical Sources and Documentation
World Wars Era and Impact
World Religious Systems
Mostra tutti gli argomenti
Classic and Contemporary Novels
Literary Character Analysis
Rhetorical Theory and Practice
Classic Literary Narratives
Reading Analysis and Interpretation
Narrative Structure and Techniques
English Language Components
Influential English-Language Authors
Basic Sentence Structure
Narrative Voice and Perspective
Mostra tutti gli argomenti
709
•
Aggiornato Apr 11, 2026
•
dipi
@dipietro_
Le formule goniometriche sono strumenti fondamentali che ti permettono di... Mostra di più










Immagina di dover calcolare - sembra complicato, vero? Le formule goniometriche sono la tua soluzione! Ti permettono di trasformare funzioni trigonometriche complesse in espressioni più semplici usando angoli che conosci meglio.
Studierai cinque tipi principali: addizione e sottrazione, duplicazione, bisezione, parametriche e prostaferesi. Iniziamo con la più importante: la formula di sottrazione del coseno.
La formula base è: . Questa diventerà il punto di partenza per derivare tutte le altre!
💡 Trucco: Memorizza bene la formula del coseno della differenza - da questa puoi ricavare tutte le altre formule di addizione!

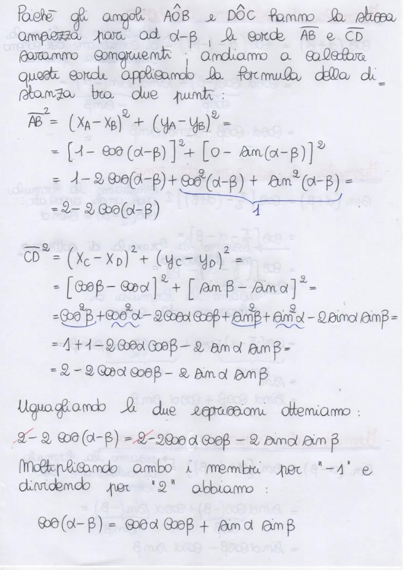
Per capire davvero perché funziona, partiamo dalla circonferenza goniometrica di raggio 1. Considera due angoli α e β: la loro differenza α-β può essere visualizzata come un arco sulla circonferenza.
I punti chiave sono: A(1,0), B, C(cos β, sin β) e D(cos α, sin α). L'idea geniale è che gli archi uguali hanno corde uguali.
Siccome gli angoli AOB e DOC hanno la stessa ampiezza α-β, le corde AB e CD sono congruenti. Calcoliamo le distanze e le uguagliamo!
🔍 Osservazione: La geometria rende visibile quello che l'algebra dimostra - gli archi uguali creano corde uguali!

Ora viene la parte algebrica! Calcoliamo le distanze tra i punti usando la formula standard.
Per AB: Per CD:
Dato che le corde sono uguali, uguagliamo le espressioni e semplifichiamo. Eliminando i termini comuni e riorganizzando, otteniamo: .
Ecco fatto! Questa è la formula fondamentale da cui derivano tutte le altre.
⚡ Momento chiave: L'uguaglianza delle corde ti dà la formula più importante della trigonometria!

Una volta che hai la formula base, le altre arrivano facilmente! Per l'addizione del coseno, usa il fatto che e applica le proprietà degli angoli negativi.
Risultato:
Per il seno, sfrutta la relazione con il coseno: . Dopo alcuni passaggi ottieni: .
La sottrazione del seno segue lo stesso schema: .
🎯 Strategia: Memorizza le formule del coseno, poi ricava quelle del seno usando le relazioni fondamentali!

Per la tangente usiamo la definizione e le formule già dimostrate.
La formula di addizione della tangente diventa:
Per la sottrazione:
Attenzione alle condizioni di esistenza! La tangente non esiste quando il coseno è zero, quindi devi sempre controllare che i denominatori non si annullino.
⚠️ Attenzione: Con la tangente controlla sempre le condizioni di esistenza - è più "capricciosa" di seno e coseno!

Le formule di duplicazione sono casi speciali delle formule di addizione quando β = α. Diventano semplicissime da ricordare!
Per il seno: (pulita e simmetrica!)
Per il coseno hai tre versioni equivalenti:
Queste tre forme sono utilissime in contesti diversi. Da queste ricavi anche: e .
🎵 Ritmo: "Due sine cosine" per il seno, "cosine quadro meno sine quadro" per il coseno!

Dalla formula ricavi facilmente:
Analogamente, da ottieni:
Per la tangente di duplicazione: . Nota il denominatore: è 1 meno il quadrato, non 1 più!
Queste formule sono fondamentali per risolvere equazioni trigonometriche e semplificare espressioni complesse.
📐 Applicazione: Le formule di duplicazione sono perfette per trasformare angoli "doppi" in espressioni più gestibili!

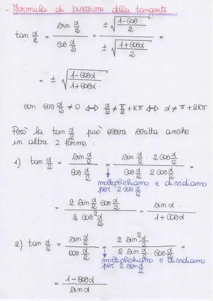
Le formule di bisezione funzionano al contrario: dalle funzioni di un angolo ricavi quelle del suo "mezzo". Sono l'inverso della duplicazione!
Per il coseno:
Per il seno:
Il segno ± dipende dal quadrante in cui cade . Devi sempre controllare dove si trova l'angolo dimezzato per scegliere il segno giusto!
🧭 Navigazione: Il segno nelle formule di bisezione dipende dal quadrante - usa la circonferenza goniometrica come bussola!

La tangente di bisezione ha ben tre forme diverse, tutte equivalenti ma utili in situazioni diverse:
Prima forma:
Seconda forma: (molto utile negli integrali!)
Terza forma: (simmetrica alla precedente)
Le ultime due forme non hanno il ±, il che le rende spesso più pratiche da usare. La scelta dipende dai dati del problema!
🔄 Versatilità: La tangente di bisezione ha tre facce - scegli quella che si adatta meglio al tuo problema!
Il nostro assistente AI è costruito specificamente per le esigenze degli studenti. Sulla base dei milioni di contenuti presenti sulla piattaforma, possiamo fornire agli studenti risposte davvero significative e pertinenti. Ma non si tratta solo di risposte, l'assistente è in grado di guidare gli studenti attraverso le loro sfide quotidiane di studio, con piani di studio personalizzati, quiz o contenuti nella chat e una personalizzazione al 100% basata sulle competenze e sugli sviluppi degli studenti.
È possibile scaricare l'applicazione dal Google Play Store e dall'Apple App Store.
Sì, hai accesso completamente gratuito a tutti i contenuti nell'app e puoi chattare o seguire i Creatori in qualsiasi momento. Sbloccherai nuove funzioni crescendo il tuo numero di follower. Inoltre, offriamo Knowunity Premium, che consente di studiare senza alcun limite!!
App Store
Google Play
L'applicazione è molto facile da usare e ben progettata. Finora ho trovato tutto quello che cercavo e ho potuto imparare molto dalle presentazioni! Utilizzerò sicuramente l'app per i compiti in classe! È molto utile anche come fonte di ispirazione.
Stefano S
utente iOS
Questa applicazione è davvero grande! Ci sono tantissimi appunti e aiuti con lo studio [...]. La mia materia problematica, per esempio, è il francese e l'app ha così tante opzioni per aiutarmi. Grazie a questa app ho migliorato il mio francese. La consiglio a tutti.
Samantha Klich
utente Android
Wow, sono davvero stupita. Ho appena provato l'app perché l'ho vista pubblicizzata molte volte e sono rimasta assolutamente sbalordita. Questa app è L'AIUTO che cercate per la scuola e soprattutto offre tantissime cose, come allenamenti e schede, che a me personalmente sono state MOLTO utili.
Anna
utente iOS
È bellissima questa app, la adoro. È utilissima per lo studio e mi aiuta molto, anzi moltissimo, ma soprattutto mi aiutano molto i quiz, per memorizzare anche quello che non sapevo
Anastasia
utente Android
Fantastica per qualsiasi materia avere gli appunti anche di altre persone è molto utile perchè posso confrontarmi e vedere come migliorarmi. con i quiz riesco ad apprendere al meglio.
Francesca
utente Android
moooolto utile,gli appunti sono belli e funzionanti,schoolGPT da dei consigli formidabili!!
Marianna
utente Android
L'applicazione è semplicemente fantastica! Tutto ciò che devo fare è inserire l'argomento nella barra di ricerca e ottengo la risposta molto velocemente. Non devo guardare 10 video di YouTube per capire qualcosa, quindi risparmio tempo. Consigliatissima!
Sudenaz Ocak
utente Android
A scuola andavo malissimo in matematica, ma grazie a questa applicazione ora vado meglio. Vi sono molto grato per aver creato questa app.
Greenlight Bonnie
utente Android
Knowunity è un applicazione fantastica,considerando che ha degli schemi veramente molto carini e sfiziosi e che ci sono dei quiz,oltre al fatto che questa cosa dell intelligenza artificiale "school gpt" è almeno per me molto utile, perché a differenza di Chatgpt ti da le spiegazioni, ti spiega ciò che non è chiaro! Posso studiare più velocemente tramite gli schemi e che posso pubblicare io stessa gli schemi è una funzione utilissima per gli altri studenti. Knowunity è PERFETTA
Aurora
utente Android
L’app funziona benissimo e puoi trovare qualsiasi tipo di informazione. Non ho l’abbonamento ma la parte gratuita è sufficiente per uno studio approfondito.
Martina
utente iOS
I quiz E LE flashcard SONO COSÌ UTILI E ADORO Knowunity IA. È ANCHE LETTERALMENTE COME CHATGPT MA PIÙ INTELLIGENTE!! MI HA AIUTATO ANCHE COI MIEI PROBLEMI DI MASCARA!! E ANCHE CON LE MIE VERE MATERIE! OVVIO 😍😁😲🤑💗✨🎀😮
Chiara
utente IOS
Questa app è una delle migliori, nient’altro da dire.
Andrea
utente iOS
L'applicazione è molto facile da usare e ben progettata. Finora ho trovato tutto quello che cercavo e ho potuto imparare molto dalle presentazioni! Utilizzerò sicuramente l'app per i compiti in classe! È molto utile anche come fonte di ispirazione.
Stefano S
utente iOS
Questa applicazione è davvero grande! Ci sono tantissimi appunti e aiuti con lo studio [...]. La mia materia problematica, per esempio, è il francese e l'app ha così tante opzioni per aiutarmi. Grazie a questa app ho migliorato il mio francese. La consiglio a tutti.
Samantha Klich
utente Android
Wow, sono davvero stupita. Ho appena provato l'app perché l'ho vista pubblicizzata molte volte e sono rimasta assolutamente sbalordita. Questa app è L'AIUTO che cercate per la scuola e soprattutto offre tantissime cose, come allenamenti e schede, che a me personalmente sono state MOLTO utili.
Anna
utente iOS
È bellissima questa app, la adoro. È utilissima per lo studio e mi aiuta molto, anzi moltissimo, ma soprattutto mi aiutano molto i quiz, per memorizzare anche quello che non sapevo
Anastasia
utente Android
Fantastica per qualsiasi materia avere gli appunti anche di altre persone è molto utile perchè posso confrontarmi e vedere come migliorarmi. con i quiz riesco ad apprendere al meglio.
Francesca
utente Android
moooolto utile,gli appunti sono belli e funzionanti,schoolGPT da dei consigli formidabili!!
Marianna
utente Android
L'applicazione è semplicemente fantastica! Tutto ciò che devo fare è inserire l'argomento nella barra di ricerca e ottengo la risposta molto velocemente. Non devo guardare 10 video di YouTube per capire qualcosa, quindi risparmio tempo. Consigliatissima!
Sudenaz Ocak
utente Android
A scuola andavo malissimo in matematica, ma grazie a questa applicazione ora vado meglio. Vi sono molto grato per aver creato questa app.
Greenlight Bonnie
utente Android
Knowunity è un applicazione fantastica,considerando che ha degli schemi veramente molto carini e sfiziosi e che ci sono dei quiz,oltre al fatto che questa cosa dell intelligenza artificiale "school gpt" è almeno per me molto utile, perché a differenza di Chatgpt ti da le spiegazioni, ti spiega ciò che non è chiaro! Posso studiare più velocemente tramite gli schemi e che posso pubblicare io stessa gli schemi è una funzione utilissima per gli altri studenti. Knowunity è PERFETTA
Aurora
utente Android
L’app funziona benissimo e puoi trovare qualsiasi tipo di informazione. Non ho l’abbonamento ma la parte gratuita è sufficiente per uno studio approfondito.
Martina
utente iOS
I quiz E LE flashcard SONO COSÌ UTILI E ADORO Knowunity IA. È ANCHE LETTERALMENTE COME CHATGPT MA PIÙ INTELLIGENTE!! MI HA AIUTATO ANCHE COI MIEI PROBLEMI DI MASCARA!! E ANCHE CON LE MIE VERE MATERIE! OVVIO 😍😁😲🤑💗✨🎀😮
Chiara
utente IOS
Questa app è una delle migliori, nient’altro da dire.
Andrea
utente iOS
dipi
@dipietro_
Le formule goniometriche sono strumenti fondamentali che ti permettono di trasformare espressioni trigonometriche complesse in forme più semplici da gestire. Imparerai come scomporre funzioni di somme, differenze e multipli di angoli usando cinque tipi principali di formule.

Accesso a tutti i documenti
Migliora i tuoi voti
Unisciti a milioni di studenti
Immagina di dover calcolare - sembra complicato, vero? Le formule goniometriche sono la tua soluzione! Ti permettono di trasformare funzioni trigonometriche complesse in espressioni più semplici usando angoli che conosci meglio.
Studierai cinque tipi principali: addizione e sottrazione, duplicazione, bisezione, parametriche e prostaferesi. Iniziamo con la più importante: la formula di sottrazione del coseno.
La formula base è: . Questa diventerà il punto di partenza per derivare tutte le altre!
💡 Trucco: Memorizza bene la formula del coseno della differenza - da questa puoi ricavare tutte le altre formule di addizione!

Accesso a tutti i documenti
Migliora i tuoi voti
Unisciti a milioni di studenti
Per capire davvero perché funziona, partiamo dalla circonferenza goniometrica di raggio 1. Considera due angoli α e β: la loro differenza α-β può essere visualizzata come un arco sulla circonferenza.
I punti chiave sono: A(1,0), B, C(cos β, sin β) e D(cos α, sin α). L'idea geniale è che gli archi uguali hanno corde uguali.
Siccome gli angoli AOB e DOC hanno la stessa ampiezza α-β, le corde AB e CD sono congruenti. Calcoliamo le distanze e le uguagliamo!
🔍 Osservazione: La geometria rende visibile quello che l'algebra dimostra - gli archi uguali creano corde uguali!

Accesso a tutti i documenti
Migliora i tuoi voti
Unisciti a milioni di studenti
Ora viene la parte algebrica! Calcoliamo le distanze tra i punti usando la formula standard.
Per AB: Per CD:
Dato che le corde sono uguali, uguagliamo le espressioni e semplifichiamo. Eliminando i termini comuni e riorganizzando, otteniamo: .
Ecco fatto! Questa è la formula fondamentale da cui derivano tutte le altre.
⚡ Momento chiave: L'uguaglianza delle corde ti dà la formula più importante della trigonometria!

Accesso a tutti i documenti
Migliora i tuoi voti
Unisciti a milioni di studenti
Una volta che hai la formula base, le altre arrivano facilmente! Per l'addizione del coseno, usa il fatto che e applica le proprietà degli angoli negativi.
Risultato:
Per il seno, sfrutta la relazione con il coseno: . Dopo alcuni passaggi ottieni: .
La sottrazione del seno segue lo stesso schema: .
🎯 Strategia: Memorizza le formule del coseno, poi ricava quelle del seno usando le relazioni fondamentali!

Accesso a tutti i documenti
Migliora i tuoi voti
Unisciti a milioni di studenti
Per la tangente usiamo la definizione e le formule già dimostrate.
La formula di addizione della tangente diventa:
Per la sottrazione:
Attenzione alle condizioni di esistenza! La tangente non esiste quando il coseno è zero, quindi devi sempre controllare che i denominatori non si annullino.
⚠️ Attenzione: Con la tangente controlla sempre le condizioni di esistenza - è più "capricciosa" di seno e coseno!

Accesso a tutti i documenti
Migliora i tuoi voti
Unisciti a milioni di studenti
Le formule di duplicazione sono casi speciali delle formule di addizione quando β = α. Diventano semplicissime da ricordare!
Per il seno: (pulita e simmetrica!)
Per il coseno hai tre versioni equivalenti:
Queste tre forme sono utilissime in contesti diversi. Da queste ricavi anche: e .
🎵 Ritmo: "Due sine cosine" per il seno, "cosine quadro meno sine quadro" per il coseno!

Accesso a tutti i documenti
Migliora i tuoi voti
Unisciti a milioni di studenti
Dalla formula ricavi facilmente:
Analogamente, da ottieni:
Per la tangente di duplicazione: . Nota il denominatore: è 1 meno il quadrato, non 1 più!
Queste formule sono fondamentali per risolvere equazioni trigonometriche e semplificare espressioni complesse.
📐 Applicazione: Le formule di duplicazione sono perfette per trasformare angoli "doppi" in espressioni più gestibili!

Accesso a tutti i documenti
Migliora i tuoi voti
Unisciti a milioni di studenti
Le formule di bisezione funzionano al contrario: dalle funzioni di un angolo ricavi quelle del suo "mezzo". Sono l'inverso della duplicazione!
Per il coseno:
Per il seno:
Il segno ± dipende dal quadrante in cui cade . Devi sempre controllare dove si trova l'angolo dimezzato per scegliere il segno giusto!
🧭 Navigazione: Il segno nelle formule di bisezione dipende dal quadrante - usa la circonferenza goniometrica come bussola!

Accesso a tutti i documenti
Migliora i tuoi voti
Unisciti a milioni di studenti
La tangente di bisezione ha ben tre forme diverse, tutte equivalenti ma utili in situazioni diverse:
Prima forma:
Seconda forma: (molto utile negli integrali!)
Terza forma: (simmetrica alla precedente)
Le ultime due forme non hanno il ±, il che le rende spesso più pratiche da usare. La scelta dipende dai dati del problema!
🔄 Versatilità: La tangente di bisezione ha tre facce - scegli quella che si adatta meglio al tuo problema!
Il nostro assistente AI è costruito specificamente per le esigenze degli studenti. Sulla base dei milioni di contenuti presenti sulla piattaforma, possiamo fornire agli studenti risposte davvero significative e pertinenti. Ma non si tratta solo di risposte, l'assistente è in grado di guidare gli studenti attraverso le loro sfide quotidiane di studio, con piani di studio personalizzati, quiz o contenuti nella chat e una personalizzazione al 100% basata sulle competenze e sugli sviluppi degli studenti.
È possibile scaricare l'applicazione dal Google Play Store e dall'Apple App Store.
Sì, hai accesso completamente gratuito a tutti i contenuti nell'app e puoi chattare o seguire i Creatori in qualsiasi momento. Sbloccherai nuove funzioni crescendo il tuo numero di follower. Inoltre, offriamo Knowunity Premium, che consente di studiare senza alcun limite!!
18
Strumenti Intelligenti NUOVO
Trasforma questi appunti in: ✓ 50+ Domande di Pratica ✓ Flashcard Interattive ✓ Simulazione d'esame completa ✓ Schemi per Saggi
Disequazioni di secondo grado con spiegazione
descrizione di logaritmo, proprietà, equazioni, disequazioni e funzioni logaritmiche, domini dei logaritmi e equazioni e disequazioni esponenziali risolvibili con i logaritmi
Algebra
Appunti presi in classe e vari esempi sulle equazioni e disequazioni esponenziali con grafici + una piccola ripetizione sulle proprietà delle potenze
Successioni, progressioni aritmetiche e geometriche, proprietà delle potenze, funzioni esponenziali, equazioni esponenziali, funzione logaritmica, equazioni e disequazioni logaritmiche
Metodi, teoria e passaggi.
App Store
Google Play
L'applicazione è molto facile da usare e ben progettata. Finora ho trovato tutto quello che cercavo e ho potuto imparare molto dalle presentazioni! Utilizzerò sicuramente l'app per i compiti in classe! È molto utile anche come fonte di ispirazione.
Stefano S
utente iOS
Questa applicazione è davvero grande! Ci sono tantissimi appunti e aiuti con lo studio [...]. La mia materia problematica, per esempio, è il francese e l'app ha così tante opzioni per aiutarmi. Grazie a questa app ho migliorato il mio francese. La consiglio a tutti.
Samantha Klich
utente Android
Wow, sono davvero stupita. Ho appena provato l'app perché l'ho vista pubblicizzata molte volte e sono rimasta assolutamente sbalordita. Questa app è L'AIUTO che cercate per la scuola e soprattutto offre tantissime cose, come allenamenti e schede, che a me personalmente sono state MOLTO utili.
Anna
utente iOS
È bellissima questa app, la adoro. È utilissima per lo studio e mi aiuta molto, anzi moltissimo, ma soprattutto mi aiutano molto i quiz, per memorizzare anche quello che non sapevo
Anastasia
utente Android
Fantastica per qualsiasi materia avere gli appunti anche di altre persone è molto utile perchè posso confrontarmi e vedere come migliorarmi. con i quiz riesco ad apprendere al meglio.
Francesca
utente Android
moooolto utile,gli appunti sono belli e funzionanti,schoolGPT da dei consigli formidabili!!
Marianna
utente Android
L'applicazione è semplicemente fantastica! Tutto ciò che devo fare è inserire l'argomento nella barra di ricerca e ottengo la risposta molto velocemente. Non devo guardare 10 video di YouTube per capire qualcosa, quindi risparmio tempo. Consigliatissima!
Sudenaz Ocak
utente Android
A scuola andavo malissimo in matematica, ma grazie a questa applicazione ora vado meglio. Vi sono molto grato per aver creato questa app.
Greenlight Bonnie
utente Android
Knowunity è un applicazione fantastica,considerando che ha degli schemi veramente molto carini e sfiziosi e che ci sono dei quiz,oltre al fatto che questa cosa dell intelligenza artificiale "school gpt" è almeno per me molto utile, perché a differenza di Chatgpt ti da le spiegazioni, ti spiega ciò che non è chiaro! Posso studiare più velocemente tramite gli schemi e che posso pubblicare io stessa gli schemi è una funzione utilissima per gli altri studenti. Knowunity è PERFETTA
Aurora
utente Android
L’app funziona benissimo e puoi trovare qualsiasi tipo di informazione. Non ho l’abbonamento ma la parte gratuita è sufficiente per uno studio approfondito.
Martina
utente iOS
I quiz E LE flashcard SONO COSÌ UTILI E ADORO Knowunity IA. È ANCHE LETTERALMENTE COME CHATGPT MA PIÙ INTELLIGENTE!! MI HA AIUTATO ANCHE COI MIEI PROBLEMI DI MASCARA!! E ANCHE CON LE MIE VERE MATERIE! OVVIO 😍😁😲🤑💗✨🎀😮
Chiara
utente IOS
Questa app è una delle migliori, nient’altro da dire.
Andrea
utente iOS
L'applicazione è molto facile da usare e ben progettata. Finora ho trovato tutto quello che cercavo e ho potuto imparare molto dalle presentazioni! Utilizzerò sicuramente l'app per i compiti in classe! È molto utile anche come fonte di ispirazione.
Stefano S
utente iOS
Questa applicazione è davvero grande! Ci sono tantissimi appunti e aiuti con lo studio [...]. La mia materia problematica, per esempio, è il francese e l'app ha così tante opzioni per aiutarmi. Grazie a questa app ho migliorato il mio francese. La consiglio a tutti.
Samantha Klich
utente Android
Wow, sono davvero stupita. Ho appena provato l'app perché l'ho vista pubblicizzata molte volte e sono rimasta assolutamente sbalordita. Questa app è L'AIUTO che cercate per la scuola e soprattutto offre tantissime cose, come allenamenti e schede, che a me personalmente sono state MOLTO utili.
Anna
utente iOS
È bellissima questa app, la adoro. È utilissima per lo studio e mi aiuta molto, anzi moltissimo, ma soprattutto mi aiutano molto i quiz, per memorizzare anche quello che non sapevo
Anastasia
utente Android
Fantastica per qualsiasi materia avere gli appunti anche di altre persone è molto utile perchè posso confrontarmi e vedere come migliorarmi. con i quiz riesco ad apprendere al meglio.
Francesca
utente Android
moooolto utile,gli appunti sono belli e funzionanti,schoolGPT da dei consigli formidabili!!
Marianna
utente Android
L'applicazione è semplicemente fantastica! Tutto ciò che devo fare è inserire l'argomento nella barra di ricerca e ottengo la risposta molto velocemente. Non devo guardare 10 video di YouTube per capire qualcosa, quindi risparmio tempo. Consigliatissima!
Sudenaz Ocak
utente Android
A scuola andavo malissimo in matematica, ma grazie a questa applicazione ora vado meglio. Vi sono molto grato per aver creato questa app.
Greenlight Bonnie
utente Android
Knowunity è un applicazione fantastica,considerando che ha degli schemi veramente molto carini e sfiziosi e che ci sono dei quiz,oltre al fatto che questa cosa dell intelligenza artificiale "school gpt" è almeno per me molto utile, perché a differenza di Chatgpt ti da le spiegazioni, ti spiega ciò che non è chiaro! Posso studiare più velocemente tramite gli schemi e che posso pubblicare io stessa gli schemi è una funzione utilissima per gli altri studenti. Knowunity è PERFETTA
Aurora
utente Android
L’app funziona benissimo e puoi trovare qualsiasi tipo di informazione. Non ho l’abbonamento ma la parte gratuita è sufficiente per uno studio approfondito.
Martina
utente iOS
I quiz E LE flashcard SONO COSÌ UTILI E ADORO Knowunity IA. È ANCHE LETTERALMENTE COME CHATGPT MA PIÙ INTELLIGENTE!! MI HA AIUTATO ANCHE COI MIEI PROBLEMI DI MASCARA!! E ANCHE CON LE MIE VERE MATERIE! OVVIO 😍😁😲🤑💗✨🎀😮
Chiara
utente IOS
Questa app è una delle migliori, nient’altro da dire.
Andrea
utente iOS