Le equazioni goniometriche sono uno strumento fondamentale per risolvere problemi... Mostra di più
Iscriviti per mostrare il contenutoÈ gratis!
Accesso a tutti i documenti
Migliora i tuoi voti
Unisciti a milioni di studenti
Knowunity AI
Materie
Triangle Congruence and Similarity Theorems
Triangle Properties and Classification
Linear Equations and Graphs
Geometric Angle Relationships
Trigonometric Functions and Identities
Equation Solving Techniques
Circle Geometry Fundamentals
Division Operations and Methods
Basic Differentiation Rules
Exponent and Logarithm Properties
Mostra tutti gli argomenti
Human Organ Systems
Reproductive Cell Cycles
Biological Sciences Subdisciplines
Cellular Energy Metabolism
Autotrophic Energy Processes
Inheritance Patterns and Principles
Biomolecular Structure and Organization
Cell Cycle and Division Mechanics
Cellular Organization and Development
Biological Structural Organization
Mostra tutti gli argomenti
Chemical Sciences and Applications
Atomic Structure and Composition
Molecular Electron Structure Representation
Atomic Electron Behavior
Matter Properties and Water
Mole Concept and Calculations
Gas Laws and Behavior
Periodic Table Organization
Chemical Thermodynamics Fundamentals
Chemical Bond Types and Properties
Mostra tutti gli argomenti
European Renaissance and Enlightenment
European Cultural Movements 800-1920
American Revolution Era 1763-1797
American Civil War 1861-1865
Global Imperial Systems
Mongol and Chinese Dynasties
U.S. Presidents and World Leaders
Historical Sources and Documentation
World Wars Era and Impact
World Religious Systems
Mostra tutti gli argomenti
Classic and Contemporary Novels
Literary Character Analysis
Rhetorical Theory and Practice
Classic Literary Narratives
Reading Analysis and Interpretation
Narrative Structure and Techniques
English Language Components
Influential English-Language Authors
Basic Sentence Structure
Narrative Voice and Perspective
Mostra tutti gli argomenti
2,654
•
Aggiornato Apr 24, 2026
•
giulia bertuletti
@giuliabertuletti_tpbl
Le equazioni goniometriche sono uno strumento fondamentale per risolvere problemi... Mostra di più










Le equazioni elementari sono il punto di partenza e contengono solo una funzione trigonometrica di primo grado, come cos x = √3/2. La soluzione si trova identificando gli angoli sulla circonferenza goniometrica.
Le equazioni riconducibili a elementari hanno l'incognita dentro la funzione goniometrica, tipo cos(3x) = √3/2. Il trucco è sostituire l'argomento con una variabile t, risolvere l'equazione elementare, e poi tornare alla variabile originale.
Le equazioni di secondo grado si dividono in omogenee e non omogenee. Quelle omogenee si risolvono dividendo per cos²x e trasformando tutto in funzione di tan x. Per quelle non omogenee, moltiplichi per λ per renderle omogenee.
Ricorda: Per le equazioni lineari a sin x + b cos x + c = 0 hai tre metodi: grafico, angolo aggiunto, o algebrico con le sostituzioni parametriche.

Quando risolvi sin x = 1/2, hai due approcci efficaci. Il primo modo usa la circonferenza goniometrica: disegni il cerchio, tracci la retta y = 1/2, e identifichi i punti di intersezione.
Il secondo modo utilizza il grafico della funzione seno. Disegni y = sin x e la retta y = 1/2, trovando le intersezioni che si ripetono periodicamente.
In entrambi i casi ottieni x = π/6 + 2kπ oppure x = 5π/6 + 2kπ, dove k è un numero intero qualsiasi.
Consiglio: Usa il metodo della circonferenza per visualizzare meglio gli angoli, ma impara anche quello grafico perché è più veloce negli esercizi complessi.

Per l'equazione cos x = -1/2, devi individuare gli angoli nel secondo e terzo quadrante dove il coseno è negativo.
Sulla circonferenza goniometrica, trovi che x = 2π/3 + 2kπ oppure x = 4π/3 + 2kπ.
Questi angoli corrispondono a 120° e 240°, simmetrici rispetto all'asse delle ordinate.
Attenzione: Quando hai valori negativi delle funzioni trigonometriche, controlla sempre in quali quadranti la funzione assume quel segno.

Per sin = 1/2, il procedimento è sistematico. Primo passo: chiami t = x - π/4, trasformando l'equazione in sin t = 1/2.
Secondo passo: risolvi l'equazione elementare sin t = 1/2, ottenendo t₁ = π/6 + 2kπ e t₂ = 5π/6 + 2kπ.
Terzo passo: sostituisci t con x - π/4 e risolvi per x. Ottieni = π/6 + 2kπ e = 5π/6 + 2kπ.
Trucco: La sostituzione t rende tutto più semplice - tratta l'argomento della funzione come un'unica variabile, risolvi, poi torna indietro.

Completando i calcoli dell'esempio precedente: x = 5π/12 + 2kπ e x = 13π/12 + 2kπ.
Per sin(3x) = √3/2, usi lo stesso metodo. Poni 3x = t, risolvi sin t = √3/2 ottenendo t = π/3 + 2kπ e t = 2π/3 + 2kπ.
Le soluzioni finali sono x = π/9 + π e x = 2π/9 + π.
Un altro tipo importante sono le equazioni fattorizzabili come 2sin²x - sin x = 0. Raccogli sin x e ottieni sin x = 0, che dà sin x = 0 oppure sin x = 1/2.
Strategia: Cerca sempre di fattorizzare quando possibile - spesso semplifica notevolmente la risoluzione.

Dalle equazioni sin x = 0 e sin x = 1/2, ottieni le soluzioni complete.
Sin x = 0 quando x = kπ (tutti i multipli di π). Sin x = 1/2 quando x = π/6 + 2kπ oppure x = 5π/6 + 2kπ.
La soluzione finale è l'unione di tutte queste: x = kπ ∨ x = π/6 + 2kπ ∨ x = 5π/6 + 2kπ.
Importante: Non dimenticare di considerare tutte le soluzioni quando fattorizzi - ogni fattore uguale a zero contribuisce al risultato finale.

Per 2sin²x + 3sin x + 1 = 0, usa la sostituzione sin x = t. L'equazione diventa 2t² + 3t + 1 = 0.
Fattorizzando ottieni = 0, quindi t = -1 oppure t = -1/2.
Quando t = -1, hai sin x = -1, che dà x = 3π/2 + 2kπ. Quando t = -1/2, hai sin x = -1/2, che dà x = 7π/6 + 2kπ oppure x = 11π/6 + 2kπ.
Metodo: Le equazioni di secondo grado in una funzione trigonometrica si risolvono sempre con la sostituzione - trasformi il problema trigonometrico in uno algebrico.

Per sin²x - (1+√3)sin x cos x + √3cos²x = 0, dividi tutto per cos²x (purché cos x ≠ 0).
Ottieni tan²x - (1+√3)tan x + √3 = 0. Sostituendo tan x = t, hai l'equazione algebrica t² - (1+√3)t + √3 = 0.
Risolvendo con la formula quadratica ottieni tan x = 1 e tan x = √3, che corrispondono a x = π/4 + kπ e x = π/3 + kπ.
Tecnica chiave: Dividere per cos²x trasforma l'equazione omogenea in una più semplice in tangente - questo è sempre il primo passo per questo tipo di equazioni.

Quando hai a sin²x + b sin x cos x + c cos²x = d (con d ≠ 0), l'equazione non è omogenea.
Il trucco è moltiplicare d per , che vale sempre 1. In questo modo trasformi il termine noto in d sin²x + d cos²x.
Ora l'equazione diventa omogenea: sin²x + b sin x cos x + cos²x = 0, e puoi risolverla come visto prima.
Strategia vincente: L'identità fondamentale sin²x + cos²x = 1 è la chiave per trasformare le equazioni non omogenee in omogenee - è come moltiplicare per 1!
Il nostro assistente AI è costruito specificamente per le esigenze degli studenti. Sulla base dei milioni di contenuti presenti sulla piattaforma, possiamo fornire agli studenti risposte davvero significative e pertinenti. Ma non si tratta solo di risposte, l'assistente è in grado di guidare gli studenti attraverso le loro sfide quotidiane di studio, con piani di studio personalizzati, quiz o contenuti nella chat e una personalizzazione al 100% basata sulle competenze e sugli sviluppi degli studenti.
È possibile scaricare l'applicazione dal Google Play Store e dall'Apple App Store.
Sì, hai accesso completamente gratuito a tutti i contenuti nell'app e puoi chattare o seguire i Creatori in qualsiasi momento. Sbloccherai nuove funzioni crescendo il tuo numero di follower. Inoltre, offriamo Knowunity Premium, che consente di studiare senza alcun limite!!
App Store
Google Play
L'applicazione è molto facile da usare e ben progettata. Finora ho trovato tutto quello che cercavo e ho potuto imparare molto dalle presentazioni! Utilizzerò sicuramente l'app per i compiti in classe! È molto utile anche come fonte di ispirazione.
Stefano S
utente iOS
Questa applicazione è davvero grande! Ci sono tantissimi appunti e aiuti con lo studio [...]. La mia materia problematica, per esempio, è il francese e l'app ha così tante opzioni per aiutarmi. Grazie a questa app ho migliorato il mio francese. La consiglio a tutti.
Samantha Klich
utente Android
Wow, sono davvero stupita. Ho appena provato l'app perché l'ho vista pubblicizzata molte volte e sono rimasta assolutamente sbalordita. Questa app è L'AIUTO che cercate per la scuola e soprattutto offre tantissime cose, come allenamenti e schede, che a me personalmente sono state MOLTO utili.
Anna
utente iOS
È bellissima questa app, la adoro. È utilissima per lo studio e mi aiuta molto, anzi moltissimo, ma soprattutto mi aiutano molto i quiz, per memorizzare anche quello che non sapevo
Anastasia
utente Android
Fantastica per qualsiasi materia avere gli appunti anche di altre persone è molto utile perchè posso confrontarmi e vedere come migliorarmi. con i quiz riesco ad apprendere al meglio.
Francesca
utente Android
moooolto utile,gli appunti sono belli e funzionanti,schoolGPT da dei consigli formidabili!!
Marianna
utente Android
L'applicazione è semplicemente fantastica! Tutto ciò che devo fare è inserire l'argomento nella barra di ricerca e ottengo la risposta molto velocemente. Non devo guardare 10 video di YouTube per capire qualcosa, quindi risparmio tempo. Consigliatissima!
Sudenaz Ocak
utente Android
A scuola andavo malissimo in matematica, ma grazie a questa applicazione ora vado meglio. Vi sono molto grato per aver creato questa app.
Greenlight Bonnie
utente Android
Knowunity è un applicazione fantastica,considerando che ha degli schemi veramente molto carini e sfiziosi e che ci sono dei quiz,oltre al fatto che questa cosa dell intelligenza artificiale "school gpt" è almeno per me molto utile, perché a differenza di Chatgpt ti da le spiegazioni, ti spiega ciò che non è chiaro! Posso studiare più velocemente tramite gli schemi e che posso pubblicare io stessa gli schemi è una funzione utilissima per gli altri studenti. Knowunity è PERFETTA
Aurora
utente Android
L’app funziona benissimo e puoi trovare qualsiasi tipo di informazione. Non ho l’abbonamento ma la parte gratuita è sufficiente per uno studio approfondito.
Martina
utente iOS
I quiz E LE flashcard SONO COSÌ UTILI E ADORO Knowunity IA. È ANCHE LETTERALMENTE COME CHATGPT MA PIÙ INTELLIGENTE!! MI HA AIUTATO ANCHE COI MIEI PROBLEMI DI MASCARA!! E ANCHE CON LE MIE VERE MATERIE! OVVIO 😍😁😲🤑💗✨🎀😮
Chiara
utente IOS
Questa app è una delle migliori, nient’altro da dire.
Andrea
utente iOS
L'applicazione è molto facile da usare e ben progettata. Finora ho trovato tutto quello che cercavo e ho potuto imparare molto dalle presentazioni! Utilizzerò sicuramente l'app per i compiti in classe! È molto utile anche come fonte di ispirazione.
Stefano S
utente iOS
Questa applicazione è davvero grande! Ci sono tantissimi appunti e aiuti con lo studio [...]. La mia materia problematica, per esempio, è il francese e l'app ha così tante opzioni per aiutarmi. Grazie a questa app ho migliorato il mio francese. La consiglio a tutti.
Samantha Klich
utente Android
Wow, sono davvero stupita. Ho appena provato l'app perché l'ho vista pubblicizzata molte volte e sono rimasta assolutamente sbalordita. Questa app è L'AIUTO che cercate per la scuola e soprattutto offre tantissime cose, come allenamenti e schede, che a me personalmente sono state MOLTO utili.
Anna
utente iOS
È bellissima questa app, la adoro. È utilissima per lo studio e mi aiuta molto, anzi moltissimo, ma soprattutto mi aiutano molto i quiz, per memorizzare anche quello che non sapevo
Anastasia
utente Android
Fantastica per qualsiasi materia avere gli appunti anche di altre persone è molto utile perchè posso confrontarmi e vedere come migliorarmi. con i quiz riesco ad apprendere al meglio.
Francesca
utente Android
moooolto utile,gli appunti sono belli e funzionanti,schoolGPT da dei consigli formidabili!!
Marianna
utente Android
L'applicazione è semplicemente fantastica! Tutto ciò che devo fare è inserire l'argomento nella barra di ricerca e ottengo la risposta molto velocemente. Non devo guardare 10 video di YouTube per capire qualcosa, quindi risparmio tempo. Consigliatissima!
Sudenaz Ocak
utente Android
A scuola andavo malissimo in matematica, ma grazie a questa applicazione ora vado meglio. Vi sono molto grato per aver creato questa app.
Greenlight Bonnie
utente Android
Knowunity è un applicazione fantastica,considerando che ha degli schemi veramente molto carini e sfiziosi e che ci sono dei quiz,oltre al fatto che questa cosa dell intelligenza artificiale "school gpt" è almeno per me molto utile, perché a differenza di Chatgpt ti da le spiegazioni, ti spiega ciò che non è chiaro! Posso studiare più velocemente tramite gli schemi e che posso pubblicare io stessa gli schemi è una funzione utilissima per gli altri studenti. Knowunity è PERFETTA
Aurora
utente Android
L’app funziona benissimo e puoi trovare qualsiasi tipo di informazione. Non ho l’abbonamento ma la parte gratuita è sufficiente per uno studio approfondito.
Martina
utente iOS
I quiz E LE flashcard SONO COSÌ UTILI E ADORO Knowunity IA. È ANCHE LETTERALMENTE COME CHATGPT MA PIÙ INTELLIGENTE!! MI HA AIUTATO ANCHE COI MIEI PROBLEMI DI MASCARA!! E ANCHE CON LE MIE VERE MATERIE! OVVIO 😍😁😲🤑💗✨🎀😮
Chiara
utente IOS
Questa app è una delle migliori, nient’altro da dire.
Andrea
utente iOS
giulia bertuletti
@giuliabertuletti_tpbl
Le equazioni goniometriche sono uno strumento fondamentale per risolvere problemi che coinvolgono funzioni trigonometriche. Esistono diversi tipi di equazioni, ognuna con metodi specifici di risoluzione che ti permetteranno di affrontare qualsiasi problema con sicurezza.

Accesso a tutti i documenti
Migliora i tuoi voti
Unisciti a milioni di studenti
Le equazioni elementari sono il punto di partenza e contengono solo una funzione trigonometrica di primo grado, come cos x = √3/2. La soluzione si trova identificando gli angoli sulla circonferenza goniometrica.
Le equazioni riconducibili a elementari hanno l'incognita dentro la funzione goniometrica, tipo cos(3x) = √3/2. Il trucco è sostituire l'argomento con una variabile t, risolvere l'equazione elementare, e poi tornare alla variabile originale.
Le equazioni di secondo grado si dividono in omogenee e non omogenee. Quelle omogenee si risolvono dividendo per cos²x e trasformando tutto in funzione di tan x. Per quelle non omogenee, moltiplichi per λ per renderle omogenee.
Ricorda: Per le equazioni lineari a sin x + b cos x + c = 0 hai tre metodi: grafico, angolo aggiunto, o algebrico con le sostituzioni parametriche.

Accesso a tutti i documenti
Migliora i tuoi voti
Unisciti a milioni di studenti
Quando risolvi sin x = 1/2, hai due approcci efficaci. Il primo modo usa la circonferenza goniometrica: disegni il cerchio, tracci la retta y = 1/2, e identifichi i punti di intersezione.
Il secondo modo utilizza il grafico della funzione seno. Disegni y = sin x e la retta y = 1/2, trovando le intersezioni che si ripetono periodicamente.
In entrambi i casi ottieni x = π/6 + 2kπ oppure x = 5π/6 + 2kπ, dove k è un numero intero qualsiasi.
Consiglio: Usa il metodo della circonferenza per visualizzare meglio gli angoli, ma impara anche quello grafico perché è più veloce negli esercizi complessi.

Accesso a tutti i documenti
Migliora i tuoi voti
Unisciti a milioni di studenti
Per l'equazione cos x = -1/2, devi individuare gli angoli nel secondo e terzo quadrante dove il coseno è negativo.
Sulla circonferenza goniometrica, trovi che x = 2π/3 + 2kπ oppure x = 4π/3 + 2kπ.
Questi angoli corrispondono a 120° e 240°, simmetrici rispetto all'asse delle ordinate.
Attenzione: Quando hai valori negativi delle funzioni trigonometriche, controlla sempre in quali quadranti la funzione assume quel segno.

Accesso a tutti i documenti
Migliora i tuoi voti
Unisciti a milioni di studenti
Per sin = 1/2, il procedimento è sistematico. Primo passo: chiami t = x - π/4, trasformando l'equazione in sin t = 1/2.
Secondo passo: risolvi l'equazione elementare sin t = 1/2, ottenendo t₁ = π/6 + 2kπ e t₂ = 5π/6 + 2kπ.
Terzo passo: sostituisci t con x - π/4 e risolvi per x. Ottieni = π/6 + 2kπ e = 5π/6 + 2kπ.
Trucco: La sostituzione t rende tutto più semplice - tratta l'argomento della funzione come un'unica variabile, risolvi, poi torna indietro.

Accesso a tutti i documenti
Migliora i tuoi voti
Unisciti a milioni di studenti
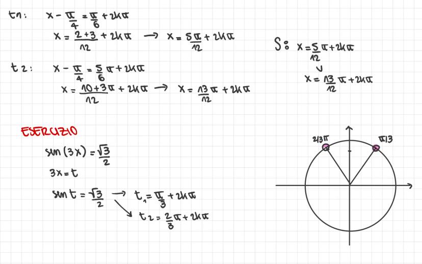
Completando i calcoli dell'esempio precedente: x = 5π/12 + 2kπ e x = 13π/12 + 2kπ.
Per sin(3x) = √3/2, usi lo stesso metodo. Poni 3x = t, risolvi sin t = √3/2 ottenendo t = π/3 + 2kπ e t = 2π/3 + 2kπ.
Le soluzioni finali sono x = π/9 + π e x = 2π/9 + π.
Un altro tipo importante sono le equazioni fattorizzabili come 2sin²x - sin x = 0. Raccogli sin x e ottieni sin x = 0, che dà sin x = 0 oppure sin x = 1/2.
Strategia: Cerca sempre di fattorizzare quando possibile - spesso semplifica notevolmente la risoluzione.

Accesso a tutti i documenti
Migliora i tuoi voti
Unisciti a milioni di studenti
Dalle equazioni sin x = 0 e sin x = 1/2, ottieni le soluzioni complete.
Sin x = 0 quando x = kπ (tutti i multipli di π). Sin x = 1/2 quando x = π/6 + 2kπ oppure x = 5π/6 + 2kπ.
La soluzione finale è l'unione di tutte queste: x = kπ ∨ x = π/6 + 2kπ ∨ x = 5π/6 + 2kπ.
Importante: Non dimenticare di considerare tutte le soluzioni quando fattorizzi - ogni fattore uguale a zero contribuisce al risultato finale.

Accesso a tutti i documenti
Migliora i tuoi voti
Unisciti a milioni di studenti
Per 2sin²x + 3sin x + 1 = 0, usa la sostituzione sin x = t. L'equazione diventa 2t² + 3t + 1 = 0.
Fattorizzando ottieni = 0, quindi t = -1 oppure t = -1/2.
Quando t = -1, hai sin x = -1, che dà x = 3π/2 + 2kπ. Quando t = -1/2, hai sin x = -1/2, che dà x = 7π/6 + 2kπ oppure x = 11π/6 + 2kπ.
Metodo: Le equazioni di secondo grado in una funzione trigonometrica si risolvono sempre con la sostituzione - trasformi il problema trigonometrico in uno algebrico.

Accesso a tutti i documenti
Migliora i tuoi voti
Unisciti a milioni di studenti
Per sin²x - (1+√3)sin x cos x + √3cos²x = 0, dividi tutto per cos²x (purché cos x ≠ 0).
Ottieni tan²x - (1+√3)tan x + √3 = 0. Sostituendo tan x = t, hai l'equazione algebrica t² - (1+√3)t + √3 = 0.
Risolvendo con la formula quadratica ottieni tan x = 1 e tan x = √3, che corrispondono a x = π/4 + kπ e x = π/3 + kπ.
Tecnica chiave: Dividere per cos²x trasforma l'equazione omogenea in una più semplice in tangente - questo è sempre il primo passo per questo tipo di equazioni.

Accesso a tutti i documenti
Migliora i tuoi voti
Unisciti a milioni di studenti
Quando hai a sin²x + b sin x cos x + c cos²x = d (con d ≠ 0), l'equazione non è omogenea.
Il trucco è moltiplicare d per , che vale sempre 1. In questo modo trasformi il termine noto in d sin²x + d cos²x.
Ora l'equazione diventa omogenea: sin²x + b sin x cos x + cos²x = 0, e puoi risolverla come visto prima.
Strategia vincente: L'identità fondamentale sin²x + cos²x = 1 è la chiave per trasformare le equazioni non omogenee in omogenee - è come moltiplicare per 1!
Il nostro assistente AI è costruito specificamente per le esigenze degli studenti. Sulla base dei milioni di contenuti presenti sulla piattaforma, possiamo fornire agli studenti risposte davvero significative e pertinenti. Ma non si tratta solo di risposte, l'assistente è in grado di guidare gli studenti attraverso le loro sfide quotidiane di studio, con piani di studio personalizzati, quiz o contenuti nella chat e una personalizzazione al 100% basata sulle competenze e sugli sviluppi degli studenti.
È possibile scaricare l'applicazione dal Google Play Store e dall'Apple App Store.
Sì, hai accesso completamente gratuito a tutti i contenuti nell'app e puoi chattare o seguire i Creatori in qualsiasi momento. Sbloccherai nuove funzioni crescendo il tuo numero di follower. Inoltre, offriamo Knowunity Premium, che consente di studiare senza alcun limite!!
86
Strumenti Intelligenti NUOVO
Trasforma questi appunti in: ✓ 50+ Domande di Pratica ✓ Flashcard Interattive ✓ Simulazione d'esame completa ✓ Schemi per Saggi
Esponenziali
Formule goniometriche: addizione e sottrazione del seno, coseno e tangente; formule di duplicazione; formule di bisezione.
Disequazioni di secondo grado spiegazione facile
appunti sui logaritmi e le loro 3 proprietà
Appunti logaritmi, equazioni e disequazioni logaritmiche
Metodi, teoria e passaggi.
App Store
Google Play
L'applicazione è molto facile da usare e ben progettata. Finora ho trovato tutto quello che cercavo e ho potuto imparare molto dalle presentazioni! Utilizzerò sicuramente l'app per i compiti in classe! È molto utile anche come fonte di ispirazione.
Stefano S
utente iOS
Questa applicazione è davvero grande! Ci sono tantissimi appunti e aiuti con lo studio [...]. La mia materia problematica, per esempio, è il francese e l'app ha così tante opzioni per aiutarmi. Grazie a questa app ho migliorato il mio francese. La consiglio a tutti.
Samantha Klich
utente Android
Wow, sono davvero stupita. Ho appena provato l'app perché l'ho vista pubblicizzata molte volte e sono rimasta assolutamente sbalordita. Questa app è L'AIUTO che cercate per la scuola e soprattutto offre tantissime cose, come allenamenti e schede, che a me personalmente sono state MOLTO utili.
Anna
utente iOS
È bellissima questa app, la adoro. È utilissima per lo studio e mi aiuta molto, anzi moltissimo, ma soprattutto mi aiutano molto i quiz, per memorizzare anche quello che non sapevo
Anastasia
utente Android
Fantastica per qualsiasi materia avere gli appunti anche di altre persone è molto utile perchè posso confrontarmi e vedere come migliorarmi. con i quiz riesco ad apprendere al meglio.
Francesca
utente Android
moooolto utile,gli appunti sono belli e funzionanti,schoolGPT da dei consigli formidabili!!
Marianna
utente Android
L'applicazione è semplicemente fantastica! Tutto ciò che devo fare è inserire l'argomento nella barra di ricerca e ottengo la risposta molto velocemente. Non devo guardare 10 video di YouTube per capire qualcosa, quindi risparmio tempo. Consigliatissima!
Sudenaz Ocak
utente Android
A scuola andavo malissimo in matematica, ma grazie a questa applicazione ora vado meglio. Vi sono molto grato per aver creato questa app.
Greenlight Bonnie
utente Android
Knowunity è un applicazione fantastica,considerando che ha degli schemi veramente molto carini e sfiziosi e che ci sono dei quiz,oltre al fatto che questa cosa dell intelligenza artificiale "school gpt" è almeno per me molto utile, perché a differenza di Chatgpt ti da le spiegazioni, ti spiega ciò che non è chiaro! Posso studiare più velocemente tramite gli schemi e che posso pubblicare io stessa gli schemi è una funzione utilissima per gli altri studenti. Knowunity è PERFETTA
Aurora
utente Android
L’app funziona benissimo e puoi trovare qualsiasi tipo di informazione. Non ho l’abbonamento ma la parte gratuita è sufficiente per uno studio approfondito.
Martina
utente iOS
I quiz E LE flashcard SONO COSÌ UTILI E ADORO Knowunity IA. È ANCHE LETTERALMENTE COME CHATGPT MA PIÙ INTELLIGENTE!! MI HA AIUTATO ANCHE COI MIEI PROBLEMI DI MASCARA!! E ANCHE CON LE MIE VERE MATERIE! OVVIO 😍😁😲🤑💗✨🎀😮
Chiara
utente IOS
Questa app è una delle migliori, nient’altro da dire.
Andrea
utente iOS
L'applicazione è molto facile da usare e ben progettata. Finora ho trovato tutto quello che cercavo e ho potuto imparare molto dalle presentazioni! Utilizzerò sicuramente l'app per i compiti in classe! È molto utile anche come fonte di ispirazione.
Stefano S
utente iOS
Questa applicazione è davvero grande! Ci sono tantissimi appunti e aiuti con lo studio [...]. La mia materia problematica, per esempio, è il francese e l'app ha così tante opzioni per aiutarmi. Grazie a questa app ho migliorato il mio francese. La consiglio a tutti.
Samantha Klich
utente Android
Wow, sono davvero stupita. Ho appena provato l'app perché l'ho vista pubblicizzata molte volte e sono rimasta assolutamente sbalordita. Questa app è L'AIUTO che cercate per la scuola e soprattutto offre tantissime cose, come allenamenti e schede, che a me personalmente sono state MOLTO utili.
Anna
utente iOS
È bellissima questa app, la adoro. È utilissima per lo studio e mi aiuta molto, anzi moltissimo, ma soprattutto mi aiutano molto i quiz, per memorizzare anche quello che non sapevo
Anastasia
utente Android
Fantastica per qualsiasi materia avere gli appunti anche di altre persone è molto utile perchè posso confrontarmi e vedere come migliorarmi. con i quiz riesco ad apprendere al meglio.
Francesca
utente Android
moooolto utile,gli appunti sono belli e funzionanti,schoolGPT da dei consigli formidabili!!
Marianna
utente Android
L'applicazione è semplicemente fantastica! Tutto ciò che devo fare è inserire l'argomento nella barra di ricerca e ottengo la risposta molto velocemente. Non devo guardare 10 video di YouTube per capire qualcosa, quindi risparmio tempo. Consigliatissima!
Sudenaz Ocak
utente Android
A scuola andavo malissimo in matematica, ma grazie a questa applicazione ora vado meglio. Vi sono molto grato per aver creato questa app.
Greenlight Bonnie
utente Android
Knowunity è un applicazione fantastica,considerando che ha degli schemi veramente molto carini e sfiziosi e che ci sono dei quiz,oltre al fatto che questa cosa dell intelligenza artificiale "school gpt" è almeno per me molto utile, perché a differenza di Chatgpt ti da le spiegazioni, ti spiega ciò che non è chiaro! Posso studiare più velocemente tramite gli schemi e che posso pubblicare io stessa gli schemi è una funzione utilissima per gli altri studenti. Knowunity è PERFETTA
Aurora
utente Android
L’app funziona benissimo e puoi trovare qualsiasi tipo di informazione. Non ho l’abbonamento ma la parte gratuita è sufficiente per uno studio approfondito.
Martina
utente iOS
I quiz E LE flashcard SONO COSÌ UTILI E ADORO Knowunity IA. È ANCHE LETTERALMENTE COME CHATGPT MA PIÙ INTELLIGENTE!! MI HA AIUTATO ANCHE COI MIEI PROBLEMI DI MASCARA!! E ANCHE CON LE MIE VERE MATERIE! OVVIO 😍😁😲🤑💗✨🎀😮
Chiara
utente IOS
Questa app è una delle migliori, nient’altro da dire.
Andrea
utente iOS