Le equazioni di secondo grado sono un argomento fondamentale dell'algebra... Mostra di più
Iscriviti per mostrare il contenutoÈ gratis!
Accesso a tutti i documenti
Migliora i tuoi voti
Unisciti a milioni di studenti
Knowunity AI
Materie
Triangle Congruence and Similarity Theorems
Triangle Properties and Classification
Linear Equations and Graphs
Geometric Angle Relationships
Trigonometric Functions and Identities
Equation Solving Techniques
Circle Geometry Fundamentals
Division Operations and Methods
Basic Differentiation Rules
Exponent and Logarithm Properties
Mostra tutti gli argomenti
Human Organ Systems
Reproductive Cell Cycles
Biological Sciences Subdisciplines
Cellular Energy Metabolism
Autotrophic Energy Processes
Inheritance Patterns and Principles
Biomolecular Structure and Organization
Cell Cycle and Division Mechanics
Cellular Organization and Development
Biological Structural Organization
Mostra tutti gli argomenti
Chemical Sciences and Applications
Atomic Structure and Composition
Molecular Electron Structure Representation
Atomic Electron Behavior
Matter Properties and Water
Mole Concept and Calculations
Gas Laws and Behavior
Periodic Table Organization
Chemical Thermodynamics Fundamentals
Chemical Bond Types and Properties
Mostra tutti gli argomenti
European Renaissance and Enlightenment
European Cultural Movements 800-1920
American Revolution Era 1763-1797
American Civil War 1861-1865
Global Imperial Systems
Mongol and Chinese Dynasties
U.S. Presidents and World Leaders
Historical Sources and Documentation
World Wars Era and Impact
World Religious Systems
Mostra tutti gli argomenti
Classic and Contemporary Novels
Literary Character Analysis
Rhetorical Theory and Practice
Classic Literary Narratives
Reading Analysis and Interpretation
Narrative Structure and Techniques
English Language Components
Influential English-Language Authors
Basic Sentence Structure
Narrative Voice and Perspective
Mostra tutti gli argomenti
2,967
•
Aggiornato Mar 24, 2026
•
Mena Esposito Abate
@menaespositoabate_ubvv
Le equazioni di secondo grado sono un argomento fondamentale dell'algebra... Mostra di più











Queste sono le note della Prof.ssa Esposito Abate Filomena sul tema delle equazioni di secondo grado.
Puoi trovare la lezione completa e altri materiali di supporto sul sito effeprofpercaso.altervista.org, nella sezione dedicata alle equazioni di secondo grado.
💡 Suggerimento: Tieni sempre a portata di mano questi appunti quando fai gli esercizi - ti serviranno come riferimento rapido!

Un'equazione di secondo grado ha la forma generale ax² + bx + c = 0, dove l'esponente massimo della x è 2. Quando tutti i coefficienti sono presenti (a, b, c ≠ 0), l'equazione si chiama completa.
Per risolvere un'equazione completa devi calcolare il discriminante . Questo numero magico ti dice subito quante soluzioni ha la tua equazione!
Se Δ > 0, hai due soluzioni distinte che trovi con la formula: x₁,₂ = /(2a). Nell'esempio x² - 5x + 4 = 0, ottieni Δ = 9, quindi x₁ = 1 e x₂ = 4.
💡 Ricorda: Il discriminante è la tua bussola - ti orienta sempre verso la soluzione giusta!

Se Δ = 0, hai due soluzioni coincidenti (praticamente una sola soluzione). Nell'esempio x² + 4x + 4 = 0, ottieni x₁ = x₂ = -2.
Quando Δ < 0, l'equazione non ha soluzioni reali. Non ti preoccupare se questo accade - significa semplicemente che la parabola non tocca l'asse x!
Le equazioni spurie sono più semplici da risolvere. Basta raccogliere la x: da 3x² + x = 0 ottieni x = 0, quindi x = 0 oppure x = -1/3.
💡 Trucco: Con le equazioni spurie, una soluzione è sempre zero!

Le equazioni pure hanno la forma ax² + c = 0 (manca il termine con x). Per risolverle, isoli x²: se ottieni un numero positivo, hai due soluzioni opposte.
Nell'esempio 9x² - 4 = 0, ottieni x² = 4/9, quindi x = ±2/3. Se invece il risultato fosse negativo, non avresti soluzioni reali.
Le equazioni monomie sono le più facili: la soluzione è sempre x₁ = x₂ = 0.
💡 Tip veloce: Pure = soluzioni opposte, Monomie = sempre zero!

Vediamo come applicare la teoria con esempi concreti. Per 4x² - 16 = 0 (pura), ottieni x² = 4, quindi x = ±2.
Con 3x² + 3x = 0 (spuria), raccogli 3x e ottieni 3x = 0. Le soluzioni sono x = 0 e x = -1.
Per l'equazione b² + 4 = 0 (pura), ottieni b² = -4. Siccome non puoi fare la radice di un numero negativo, non ci sono soluzioni reali.
💡 Strategia: Identifica sempre prima il tipo di equazione - ti farà risparmiare tempo!

Quando hai equazioni più complesse come ² - ² = 0, sviluppa i quadrati e semplifica. Arrivi a -3x² - 2x = 0, che è una spuria con soluzioni x = 0 e x = 2/3.
Per equazioni con frazioni come ² = ·1/4, trova il minimo comune multiplo e semplifica. Spesso ottieni equazioni più semplici da risolvere.
Il trucco è procedere step by step: sviluppa, semplifica, identifica il tipo, risolvi.
💡 Non aver paura delle frazioni: Il mcm è il tuo migliore amico per semplificare!

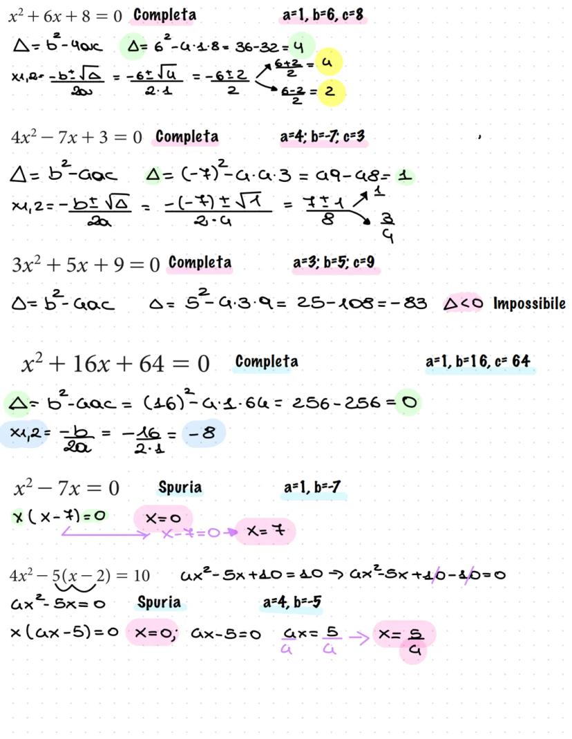
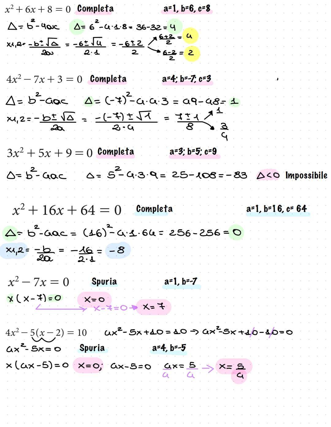
Per x² + 6x + 8 = 0, calcoli Δ = 36 - 32 = 4. Con la formula ottieni x₁ = -2 e x₂ = -4.
L'equazione 4x² - 7x + 3 = 0 ha Δ = 1, quindi x₁ = 1 e x₂ = 3/4. Quando Δ è un quadrato perfetto, i calcoli sono più semplici!
Se ottieni Δ = -83 , l'equazione è impossibile - niente soluzioni reali.
💡 Controlla sempre: Se i calcoli diventano troppo complicati, ricontrolla il discriminante!

Per calcolare √289 senza calcolatrice, scomponi in fattori primi: 289 = 17². Quindi √289 = 17.
Nell'equazione 5x² + 9x - 2 = 0, ottieni Δ = 121 = 11². Le soluzioni sono x₁ = -2 e x₂ = 1/5.
Per 15x² + 4x - 4 = 0, con Δ = 256 = 16², ottieni x₁ = -2/3 e x₂ = 2/5.
💡 Skill da pro: Impara a riconoscere i quadrati perfetti - ti velocizzerà nei calcoli!

Quando hai equazioni con parentesi multiple come ² + ²/2 = 4 - x/9, sviluppa tutto e trova il mcm delle frazioni.
Dopo aver semplificato, spesso ottieni equazioni standard. Nell'esempio arrivi a 6x² + 19x + 1 = 0 con Δ = 337.
Le equazioni di quarto grado come x⁴ + x² - 2x = x⁴ - 1 spesso si semplificano eliminando i termini di grado superiore.
💡 Mantieni la calma: Anche le equazioni più complicate spesso nascondono forme semplici!

Il nostro assistente AI è costruito specificamente per le esigenze degli studenti. Sulla base dei milioni di contenuti presenti sulla piattaforma, possiamo fornire agli studenti risposte davvero significative e pertinenti. Ma non si tratta solo di risposte, l'assistente è in grado di guidare gli studenti attraverso le loro sfide quotidiane di studio, con piani di studio personalizzati, quiz o contenuti nella chat e una personalizzazione al 100% basata sulle competenze e sugli sviluppi degli studenti.
È possibile scaricare l'applicazione dal Google Play Store e dall'Apple App Store.
Sì, hai accesso completamente gratuito a tutti i contenuti nell'app e puoi chattare o seguire i Creatori in qualsiasi momento. Sbloccherai nuove funzioni crescendo il tuo numero di follower. Inoltre, offriamo Knowunity Premium, che consente di studiare senza alcun limite!!
3174
35
Appunti sulle disequazioni di 2 grado
Appunti e riassunto sulle equazioni di secondo grado: equazioni complete; incomplete (monomie; pure; spurie); variazioni e permanenze.
Equazioni di secondo grado,superiori al secondo e fratte, disequazioni di secondo grado, radicali con proprietà e operazioni
LE PARABOLE: concavità, vertice, intersezione con asse x e y, altri punti, fuoco, direttrice. EQUAZIONE DELLA PARABOLA DANTI 3 PUNTI, RETTE E PARABOLE: rette secanti, tangenti ed esterne.
Appunti di goniometria e trigonometria
App Store
Google Play
L'applicazione è molto facile da usare e ben progettata. Finora ho trovato tutto quello che cercavo e ho potuto imparare molto dalle presentazioni! Utilizzerò sicuramente l'app per i compiti in classe! È molto utile anche come fonte di ispirazione.
Stefano S
utente iOS
Questa applicazione è davvero grande! Ci sono tantissimi appunti e aiuti con lo studio [...]. La mia materia problematica, per esempio, è il francese e l'app ha così tante opzioni per aiutarmi. Grazie a questa app ho migliorato il mio francese. La consiglio a tutti.
Samantha Klich
utente Android
Wow, sono davvero stupita. Ho appena provato l'app perché l'ho vista pubblicizzata molte volte e sono rimasta assolutamente sbalordita. Questa app è L'AIUTO che cercate per la scuola e soprattutto offre tantissime cose, come allenamenti e schede, che a me personalmente sono state MOLTO utili.
Anna
utente iOS
È bellissima questa app, la adoro. È utilissima per lo studio e mi aiuta molto, anzi moltissimo, ma soprattutto mi aiutano molto i quiz, per memorizzare anche quello che non sapevo
Anastasia
utente Android
Fantastica per qualsiasi materia avere gli appunti anche di altre persone è molto utile perchè posso confrontarmi e vedere come migliorarmi. con i quiz riesco ad apprendere al meglio.
Francesca
utente Android
moooolto utile,gli appunti sono belli e funzionanti,schoolGPT da dei consigli formidabili!!
Marianna
utente Android
L'applicazione è semplicemente fantastica! Tutto ciò che devo fare è inserire l'argomento nella barra di ricerca e ottengo la risposta molto velocemente. Non devo guardare 10 video di YouTube per capire qualcosa, quindi risparmio tempo. Consigliatissima!
Sudenaz Ocak
utente Android
A scuola andavo malissimo in matematica, ma grazie a questa applicazione ora vado meglio. Vi sono molto grato per aver creato questa app.
Greenlight Bonnie
utente Android
Knowunity è un applicazione fantastica,considerando che ha degli schemi veramente molto carini e sfiziosi e che ci sono dei quiz,oltre al fatto che questa cosa dell intelligenza artificiale "school gpt" è almeno per me molto utile, perché a differenza di Chatgpt ti da le spiegazioni, ti spiega ciò che non è chiaro! Posso studiare più velocemente tramite gli schemi e che posso pubblicare io stessa gli schemi è una funzione utilissima per gli altri studenti. Knowunity è PERFETTA
Aurora
utente Android
L’app funziona benissimo e puoi trovare qualsiasi tipo di informazione. Non ho l’abbonamento ma la parte gratuita è sufficiente per uno studio approfondito.
Martina
utente iOS
I quiz E LE flashcard SONO COSÌ UTILI E ADORO Knowunity IA. È ANCHE LETTERALMENTE COME CHATGPT MA PIÙ INTELLIGENTE!! MI HA AIUTATO ANCHE COI MIEI PROBLEMI DI MASCARA!! E ANCHE CON LE MIE VERE MATERIE! OVVIO 😍😁😲🤑💗✨🎀😮
Chiara
utente IOS
Questa app è una delle migliori, nient’altro da dire.
Andrea
utente iOS
L'applicazione è molto facile da usare e ben progettata. Finora ho trovato tutto quello che cercavo e ho potuto imparare molto dalle presentazioni! Utilizzerò sicuramente l'app per i compiti in classe! È molto utile anche come fonte di ispirazione.
Stefano S
utente iOS
Questa applicazione è davvero grande! Ci sono tantissimi appunti e aiuti con lo studio [...]. La mia materia problematica, per esempio, è il francese e l'app ha così tante opzioni per aiutarmi. Grazie a questa app ho migliorato il mio francese. La consiglio a tutti.
Samantha Klich
utente Android
Wow, sono davvero stupita. Ho appena provato l'app perché l'ho vista pubblicizzata molte volte e sono rimasta assolutamente sbalordita. Questa app è L'AIUTO che cercate per la scuola e soprattutto offre tantissime cose, come allenamenti e schede, che a me personalmente sono state MOLTO utili.
Anna
utente iOS
È bellissima questa app, la adoro. È utilissima per lo studio e mi aiuta molto, anzi moltissimo, ma soprattutto mi aiutano molto i quiz, per memorizzare anche quello che non sapevo
Anastasia
utente Android
Fantastica per qualsiasi materia avere gli appunti anche di altre persone è molto utile perchè posso confrontarmi e vedere come migliorarmi. con i quiz riesco ad apprendere al meglio.
Francesca
utente Android
moooolto utile,gli appunti sono belli e funzionanti,schoolGPT da dei consigli formidabili!!
Marianna
utente Android
L'applicazione è semplicemente fantastica! Tutto ciò che devo fare è inserire l'argomento nella barra di ricerca e ottengo la risposta molto velocemente. Non devo guardare 10 video di YouTube per capire qualcosa, quindi risparmio tempo. Consigliatissima!
Sudenaz Ocak
utente Android
A scuola andavo malissimo in matematica, ma grazie a questa applicazione ora vado meglio. Vi sono molto grato per aver creato questa app.
Greenlight Bonnie
utente Android
Knowunity è un applicazione fantastica,considerando che ha degli schemi veramente molto carini e sfiziosi e che ci sono dei quiz,oltre al fatto che questa cosa dell intelligenza artificiale "school gpt" è almeno per me molto utile, perché a differenza di Chatgpt ti da le spiegazioni, ti spiega ciò che non è chiaro! Posso studiare più velocemente tramite gli schemi e che posso pubblicare io stessa gli schemi è una funzione utilissima per gli altri studenti. Knowunity è PERFETTA
Aurora
utente Android
L’app funziona benissimo e puoi trovare qualsiasi tipo di informazione. Non ho l’abbonamento ma la parte gratuita è sufficiente per uno studio approfondito.
Martina
utente iOS
I quiz E LE flashcard SONO COSÌ UTILI E ADORO Knowunity IA. È ANCHE LETTERALMENTE COME CHATGPT MA PIÙ INTELLIGENTE!! MI HA AIUTATO ANCHE COI MIEI PROBLEMI DI MASCARA!! E ANCHE CON LE MIE VERE MATERIE! OVVIO 😍😁😲🤑💗✨🎀😮
Chiara
utente IOS
Questa app è una delle migliori, nient’altro da dire.
Andrea
utente iOS
Mena Esposito Abate
@menaespositoabate_ubvv
Le equazioni di secondo grado sono un argomento fondamentale dell'algebra che incontrerai spesso nei tuoi studi. Capire come risolverle ti darà gli strumenti per affrontare molti problemi matematici più complessi.

Accesso a tutti i documenti
Migliora i tuoi voti
Unisciti a milioni di studenti
Queste sono le note della Prof.ssa Esposito Abate Filomena sul tema delle equazioni di secondo grado.
Puoi trovare la lezione completa e altri materiali di supporto sul sito effeprofpercaso.altervista.org, nella sezione dedicata alle equazioni di secondo grado.
💡 Suggerimento: Tieni sempre a portata di mano questi appunti quando fai gli esercizi - ti serviranno come riferimento rapido!

Accesso a tutti i documenti
Migliora i tuoi voti
Unisciti a milioni di studenti
Un'equazione di secondo grado ha la forma generale ax² + bx + c = 0, dove l'esponente massimo della x è 2. Quando tutti i coefficienti sono presenti (a, b, c ≠ 0), l'equazione si chiama completa.
Per risolvere un'equazione completa devi calcolare il discriminante . Questo numero magico ti dice subito quante soluzioni ha la tua equazione!
Se Δ > 0, hai due soluzioni distinte che trovi con la formula: x₁,₂ = /(2a). Nell'esempio x² - 5x + 4 = 0, ottieni Δ = 9, quindi x₁ = 1 e x₂ = 4.
💡 Ricorda: Il discriminante è la tua bussola - ti orienta sempre verso la soluzione giusta!

Accesso a tutti i documenti
Migliora i tuoi voti
Unisciti a milioni di studenti
Se Δ = 0, hai due soluzioni coincidenti (praticamente una sola soluzione). Nell'esempio x² + 4x + 4 = 0, ottieni x₁ = x₂ = -2.
Quando Δ < 0, l'equazione non ha soluzioni reali. Non ti preoccupare se questo accade - significa semplicemente che la parabola non tocca l'asse x!
Le equazioni spurie sono più semplici da risolvere. Basta raccogliere la x: da 3x² + x = 0 ottieni x = 0, quindi x = 0 oppure x = -1/3.
💡 Trucco: Con le equazioni spurie, una soluzione è sempre zero!

Accesso a tutti i documenti
Migliora i tuoi voti
Unisciti a milioni di studenti
Le equazioni pure hanno la forma ax² + c = 0 (manca il termine con x). Per risolverle, isoli x²: se ottieni un numero positivo, hai due soluzioni opposte.
Nell'esempio 9x² - 4 = 0, ottieni x² = 4/9, quindi x = ±2/3. Se invece il risultato fosse negativo, non avresti soluzioni reali.
Le equazioni monomie sono le più facili: la soluzione è sempre x₁ = x₂ = 0.
💡 Tip veloce: Pure = soluzioni opposte, Monomie = sempre zero!

Accesso a tutti i documenti
Migliora i tuoi voti
Unisciti a milioni di studenti
Vediamo come applicare la teoria con esempi concreti. Per 4x² - 16 = 0 (pura), ottieni x² = 4, quindi x = ±2.
Con 3x² + 3x = 0 (spuria), raccogli 3x e ottieni 3x = 0. Le soluzioni sono x = 0 e x = -1.
Per l'equazione b² + 4 = 0 (pura), ottieni b² = -4. Siccome non puoi fare la radice di un numero negativo, non ci sono soluzioni reali.
💡 Strategia: Identifica sempre prima il tipo di equazione - ti farà risparmiare tempo!

Accesso a tutti i documenti
Migliora i tuoi voti
Unisciti a milioni di studenti
Quando hai equazioni più complesse come ² - ² = 0, sviluppa i quadrati e semplifica. Arrivi a -3x² - 2x = 0, che è una spuria con soluzioni x = 0 e x = 2/3.
Per equazioni con frazioni come ² = ·1/4, trova il minimo comune multiplo e semplifica. Spesso ottieni equazioni più semplici da risolvere.
Il trucco è procedere step by step: sviluppa, semplifica, identifica il tipo, risolvi.
💡 Non aver paura delle frazioni: Il mcm è il tuo migliore amico per semplificare!

Accesso a tutti i documenti
Migliora i tuoi voti
Unisciti a milioni di studenti
Per x² + 6x + 8 = 0, calcoli Δ = 36 - 32 = 4. Con la formula ottieni x₁ = -2 e x₂ = -4.
L'equazione 4x² - 7x + 3 = 0 ha Δ = 1, quindi x₁ = 1 e x₂ = 3/4. Quando Δ è un quadrato perfetto, i calcoli sono più semplici!
Se ottieni Δ = -83 , l'equazione è impossibile - niente soluzioni reali.
💡 Controlla sempre: Se i calcoli diventano troppo complicati, ricontrolla il discriminante!

Accesso a tutti i documenti
Migliora i tuoi voti
Unisciti a milioni di studenti
Per calcolare √289 senza calcolatrice, scomponi in fattori primi: 289 = 17². Quindi √289 = 17.
Nell'equazione 5x² + 9x - 2 = 0, ottieni Δ = 121 = 11². Le soluzioni sono x₁ = -2 e x₂ = 1/5.
Per 15x² + 4x - 4 = 0, con Δ = 256 = 16², ottieni x₁ = -2/3 e x₂ = 2/5.
💡 Skill da pro: Impara a riconoscere i quadrati perfetti - ti velocizzerà nei calcoli!

Accesso a tutti i documenti
Migliora i tuoi voti
Unisciti a milioni di studenti
Quando hai equazioni con parentesi multiple come ² + ²/2 = 4 - x/9, sviluppa tutto e trova il mcm delle frazioni.
Dopo aver semplificato, spesso ottieni equazioni standard. Nell'esempio arrivi a 6x² + 19x + 1 = 0 con Δ = 337.
Le equazioni di quarto grado come x⁴ + x² - 2x = x⁴ - 1 spesso si semplificano eliminando i termini di grado superiore.
💡 Mantieni la calma: Anche le equazioni più complicate spesso nascondono forme semplici!

Accesso a tutti i documenti
Migliora i tuoi voti
Unisciti a milioni di studenti
Il nostro assistente AI è costruito specificamente per le esigenze degli studenti. Sulla base dei milioni di contenuti presenti sulla piattaforma, possiamo fornire agli studenti risposte davvero significative e pertinenti. Ma non si tratta solo di risposte, l'assistente è in grado di guidare gli studenti attraverso le loro sfide quotidiane di studio, con piani di studio personalizzati, quiz o contenuti nella chat e una personalizzazione al 100% basata sulle competenze e sugli sviluppi degli studenti.
È possibile scaricare l'applicazione dal Google Play Store e dall'Apple App Store.
Sì, hai accesso completamente gratuito a tutti i contenuti nell'app e puoi chattare o seguire i Creatori in qualsiasi momento. Sbloccherai nuove funzioni crescendo il tuo numero di follower. Inoltre, offriamo Knowunity Premium, che consente di studiare senza alcun limite!!
91
Strumenti Intelligenti NUOVO
Trasforma questi appunti in: ✓ 50+ Domande di Pratica ✓ Flashcard Interattive ✓ Simulazione d'esame completa ✓ Schemi per Saggi
descrizione con tutti i passaggi per la risoluzione delle equazioni esponenziali
forma normale,eq incomplete(spurie,monomie,pure),formula ridotta,eq numeriche fratte e eq letterali di secondo grado,relazione tra soluzioni e coefficienti delle eq di secondo grado,scomposizione trinomio secondo grado,eq parametriche secondo grado
Equazioni di grado superiore al 2^, eq. binomie, trinomie, reciproche di 3^ grado e 4^ grado 1ª e 2ª specie
Come i risolvere un sistema di secondo con il metodo della sostituzione
Appunti completi su equazioni di secondo grado e parabola
Teoria ed esercizi sullo studio del dominio di una funzione
3174
35
Appunti sulle disequazioni di 2 grado
Appunti e riassunto sulle equazioni di secondo grado: equazioni complete; incomplete (monomie; pure; spurie); variazioni e permanenze.
Equazioni di secondo grado,superiori al secondo e fratte, disequazioni di secondo grado, radicali con proprietà e operazioni
LE PARABOLE: concavità, vertice, intersezione con asse x e y, altri punti, fuoco, direttrice. EQUAZIONE DELLA PARABOLA DANTI 3 PUNTI, RETTE E PARABOLE: rette secanti, tangenti ed esterne.
Appunti di goniometria e trigonometria
App Store
Google Play
L'applicazione è molto facile da usare e ben progettata. Finora ho trovato tutto quello che cercavo e ho potuto imparare molto dalle presentazioni! Utilizzerò sicuramente l'app per i compiti in classe! È molto utile anche come fonte di ispirazione.
Stefano S
utente iOS
Questa applicazione è davvero grande! Ci sono tantissimi appunti e aiuti con lo studio [...]. La mia materia problematica, per esempio, è il francese e l'app ha così tante opzioni per aiutarmi. Grazie a questa app ho migliorato il mio francese. La consiglio a tutti.
Samantha Klich
utente Android
Wow, sono davvero stupita. Ho appena provato l'app perché l'ho vista pubblicizzata molte volte e sono rimasta assolutamente sbalordita. Questa app è L'AIUTO che cercate per la scuola e soprattutto offre tantissime cose, come allenamenti e schede, che a me personalmente sono state MOLTO utili.
Anna
utente iOS
È bellissima questa app, la adoro. È utilissima per lo studio e mi aiuta molto, anzi moltissimo, ma soprattutto mi aiutano molto i quiz, per memorizzare anche quello che non sapevo
Anastasia
utente Android
Fantastica per qualsiasi materia avere gli appunti anche di altre persone è molto utile perchè posso confrontarmi e vedere come migliorarmi. con i quiz riesco ad apprendere al meglio.
Francesca
utente Android
moooolto utile,gli appunti sono belli e funzionanti,schoolGPT da dei consigli formidabili!!
Marianna
utente Android
L'applicazione è semplicemente fantastica! Tutto ciò che devo fare è inserire l'argomento nella barra di ricerca e ottengo la risposta molto velocemente. Non devo guardare 10 video di YouTube per capire qualcosa, quindi risparmio tempo. Consigliatissima!
Sudenaz Ocak
utente Android
A scuola andavo malissimo in matematica, ma grazie a questa applicazione ora vado meglio. Vi sono molto grato per aver creato questa app.
Greenlight Bonnie
utente Android
Knowunity è un applicazione fantastica,considerando che ha degli schemi veramente molto carini e sfiziosi e che ci sono dei quiz,oltre al fatto che questa cosa dell intelligenza artificiale "school gpt" è almeno per me molto utile, perché a differenza di Chatgpt ti da le spiegazioni, ti spiega ciò che non è chiaro! Posso studiare più velocemente tramite gli schemi e che posso pubblicare io stessa gli schemi è una funzione utilissima per gli altri studenti. Knowunity è PERFETTA
Aurora
utente Android
L’app funziona benissimo e puoi trovare qualsiasi tipo di informazione. Non ho l’abbonamento ma la parte gratuita è sufficiente per uno studio approfondito.
Martina
utente iOS
I quiz E LE flashcard SONO COSÌ UTILI E ADORO Knowunity IA. È ANCHE LETTERALMENTE COME CHATGPT MA PIÙ INTELLIGENTE!! MI HA AIUTATO ANCHE COI MIEI PROBLEMI DI MASCARA!! E ANCHE CON LE MIE VERE MATERIE! OVVIO 😍😁😲🤑💗✨🎀😮
Chiara
utente IOS
Questa app è una delle migliori, nient’altro da dire.
Andrea
utente iOS
L'applicazione è molto facile da usare e ben progettata. Finora ho trovato tutto quello che cercavo e ho potuto imparare molto dalle presentazioni! Utilizzerò sicuramente l'app per i compiti in classe! È molto utile anche come fonte di ispirazione.
Stefano S
utente iOS
Questa applicazione è davvero grande! Ci sono tantissimi appunti e aiuti con lo studio [...]. La mia materia problematica, per esempio, è il francese e l'app ha così tante opzioni per aiutarmi. Grazie a questa app ho migliorato il mio francese. La consiglio a tutti.
Samantha Klich
utente Android
Wow, sono davvero stupita. Ho appena provato l'app perché l'ho vista pubblicizzata molte volte e sono rimasta assolutamente sbalordita. Questa app è L'AIUTO che cercate per la scuola e soprattutto offre tantissime cose, come allenamenti e schede, che a me personalmente sono state MOLTO utili.
Anna
utente iOS
È bellissima questa app, la adoro. È utilissima per lo studio e mi aiuta molto, anzi moltissimo, ma soprattutto mi aiutano molto i quiz, per memorizzare anche quello che non sapevo
Anastasia
utente Android
Fantastica per qualsiasi materia avere gli appunti anche di altre persone è molto utile perchè posso confrontarmi e vedere come migliorarmi. con i quiz riesco ad apprendere al meglio.
Francesca
utente Android
moooolto utile,gli appunti sono belli e funzionanti,schoolGPT da dei consigli formidabili!!
Marianna
utente Android
L'applicazione è semplicemente fantastica! Tutto ciò che devo fare è inserire l'argomento nella barra di ricerca e ottengo la risposta molto velocemente. Non devo guardare 10 video di YouTube per capire qualcosa, quindi risparmio tempo. Consigliatissima!
Sudenaz Ocak
utente Android
A scuola andavo malissimo in matematica, ma grazie a questa applicazione ora vado meglio. Vi sono molto grato per aver creato questa app.
Greenlight Bonnie
utente Android
Knowunity è un applicazione fantastica,considerando che ha degli schemi veramente molto carini e sfiziosi e che ci sono dei quiz,oltre al fatto che questa cosa dell intelligenza artificiale "school gpt" è almeno per me molto utile, perché a differenza di Chatgpt ti da le spiegazioni, ti spiega ciò che non è chiaro! Posso studiare più velocemente tramite gli schemi e che posso pubblicare io stessa gli schemi è una funzione utilissima per gli altri studenti. Knowunity è PERFETTA
Aurora
utente Android
L’app funziona benissimo e puoi trovare qualsiasi tipo di informazione. Non ho l’abbonamento ma la parte gratuita è sufficiente per uno studio approfondito.
Martina
utente iOS
I quiz E LE flashcard SONO COSÌ UTILI E ADORO Knowunity IA. È ANCHE LETTERALMENTE COME CHATGPT MA PIÙ INTELLIGENTE!! MI HA AIUTATO ANCHE COI MIEI PROBLEMI DI MASCARA!! E ANCHE CON LE MIE VERE MATERIE! OVVIO 😍😁😲🤑💗✨🎀😮
Chiara
utente IOS
Questa app è una delle migliori, nient’altro da dire.
Andrea
utente iOS