Le conichesono curve geometriche fondamentali che incontrerai spesso in... Mostra di più
Iscriviti per mostrare il contenutoÈ gratis!
Accesso a tutti i documenti
Migliora i tuoi voti
Unisciti a milioni di studenti
Knowunity AI
Materie
Triangle Congruence and Similarity Theorems
Triangle Properties and Classification
Linear Equations and Graphs
Geometric Angle Relationships
Trigonometric Functions and Identities
Equation Solving Techniques
Circle Geometry Fundamentals
Division Operations and Methods
Basic Differentiation Rules
Exponent and Logarithm Properties
Mostra tutti gli argomenti
Human Organ Systems
Reproductive Cell Cycles
Biological Sciences Subdisciplines
Cellular Energy Metabolism
Autotrophic Energy Processes
Inheritance Patterns and Principles
Biomolecular Structure and Organization
Cell Cycle and Division Mechanics
Cellular Organization and Development
Biological Structural Organization
Mostra tutti gli argomenti
Chemical Sciences and Applications
Atomic Structure and Composition
Molecular Electron Structure Representation
Atomic Electron Behavior
Matter Properties and Water
Mole Concept and Calculations
Gas Laws and Behavior
Periodic Table Organization
Chemical Thermodynamics Fundamentals
Chemical Bond Types and Properties
Mostra tutti gli argomenti
European Renaissance and Enlightenment
European Cultural Movements 800-1920
American Revolution Era 1763-1797
American Civil War 1861-1865
Global Imperial Systems
Mongol and Chinese Dynasties
U.S. Presidents and World Leaders
Historical Sources and Documentation
World Wars Era and Impact
World Religious Systems
Mostra tutti gli argomenti
Classic and Contemporary Novels
Literary Character Analysis
Rhetorical Theory and Practice
Classic Literary Narratives
Reading Analysis and Interpretation
Narrative Structure and Techniques
English Language Components
Influential English-Language Authors
Basic Sentence Structure
Narrative Voice and Perspective
Mostra tutti gli argomenti
6,250
•
Aggiornato Apr 7, 2026
•
Sara
@sasmartons
Le conichesono curve geometriche fondamentali che incontrerai spesso in... Mostra di più











Immagina di avere due chiodi fissi su un tavolo e un filo: l'ellisse è la curva che ottieni tenendo il filo sempre teso. Più precisamente, è il luogo geometrico dei punti la cui somma delle distanze da due punti fissi (chiamati fuochi) rimane costante.
La formula standard è . I parametri a e b sono i semiassi dell'ellisse: quello maggiore determina dove si trovano i fuochi.
Nell'esempio , hai a=4 e b=3. I vertici sono A₁(-4;0), A₂(4;0) sull'asse x e B₁(0;3), B₂(0;-3) sull'asse y.
Ricorda: Se a>b, i fuochi sono sull'asse x; se a<b, sono sull'asse y. Per trovarli usa c = √ quando sono sull'asse x.

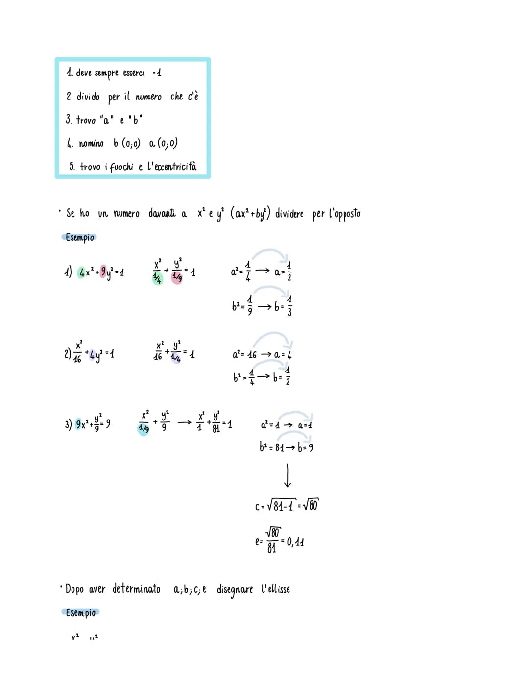
Per affrontare qualsiasi esercizio sull'ellisse, segui questi 5 passaggi fondamentali: assicurati che a destra dell'uguale ci sia sempre 1, dividi per il numero appropriato, trova a e b, determina i vertici, calcola fuochi ed eccentricità.
Quando hai coefficienti davanti a x² e y², come in 4x² + 9y² = 4, dividi tutto per il termine noto. Ottieni , quindi a=1 e b=2/3.
L'eccentricità e misura quanto l'ellisse è "schiacciata": e = c/a se i fuochi sono sull'asse x, e = c/b se sono sull'asse y. Più e si avvicina a 1, più l'ellisse è allungata.
Trucco: Per capire su quale asse sono i fuochi, confronta sempre i denominatori: il maggiore indica l'asse dei fuochi.

Quando devi trovare l'equazione di un'ellisse passante per due punti, il metodo più efficace è usare la sostituzione con variabili ausiliarie. Questo approccio trasforma il problema in un sistema lineare più semplice da risolvere.
Dato che P(1, √6) e Q(√2, 2) appartengono all'ellisse, sostituisci le coordinate nella formula generale. Poni u = 1/a² e v = 1/b² per semplificare i calcoli.
Il sistema diventa: u + 6v = 1 e 2u + 4v = 1. Risolvendolo ottieni u = 1/2 e v = 1/8, quindi a² = 2 e b² = 8.
Strategia vincente: Le variabili ausiliarie u e v trasformano frazioni complesse in equazioni lineari facilissime da gestire.

Con i punti P(2,2) e Q(3/2,3), applichi lo stesso metodo sostituendo le coordinate. Il sistema lineare che ottieni è 4u + 4v = 1 e (9/4)u + 9v = 1.
Risolvendo per eliminazione: dalla prima equazione ricavi u, lo sostituisci nella seconda e trovi v = 1/8. Quindi u = 1/6, che significa a² = 6 e b² = 8.
L'equazione finale è . Verifica sempre sostituendo i punti originali nell'equazione ottenuta.
Controllo rapido: Una volta trovata l'equazione, sostituisci sempre i punti dati per verificare che il risultato sia corretto.

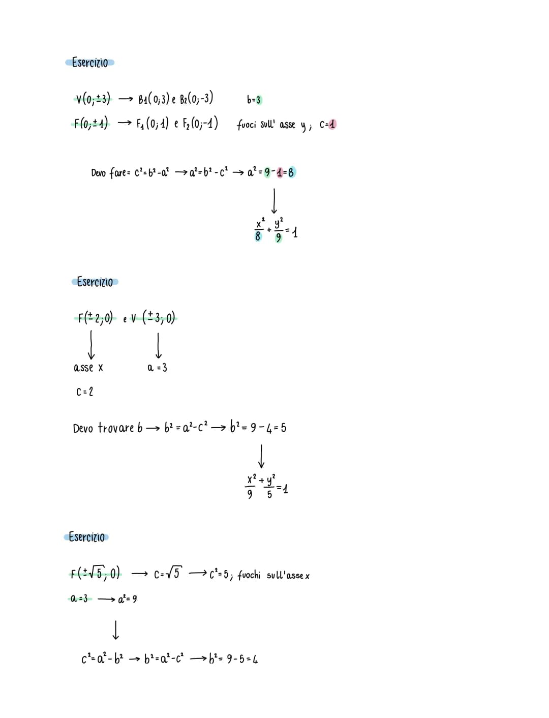
Quando hai vertici e fuochi, puoi determinare direttamente i parametri dell'ellisse. Se V(0;3) è un vertice, significa che b=3 e l'asse maggiore è verticale.
Con F(0;1) come fuoco, hai c=1 sull'asse y. Usa la relazione c² = b² - a² per trovare a²: a² = b² - c² = 9 - 1 = 8.
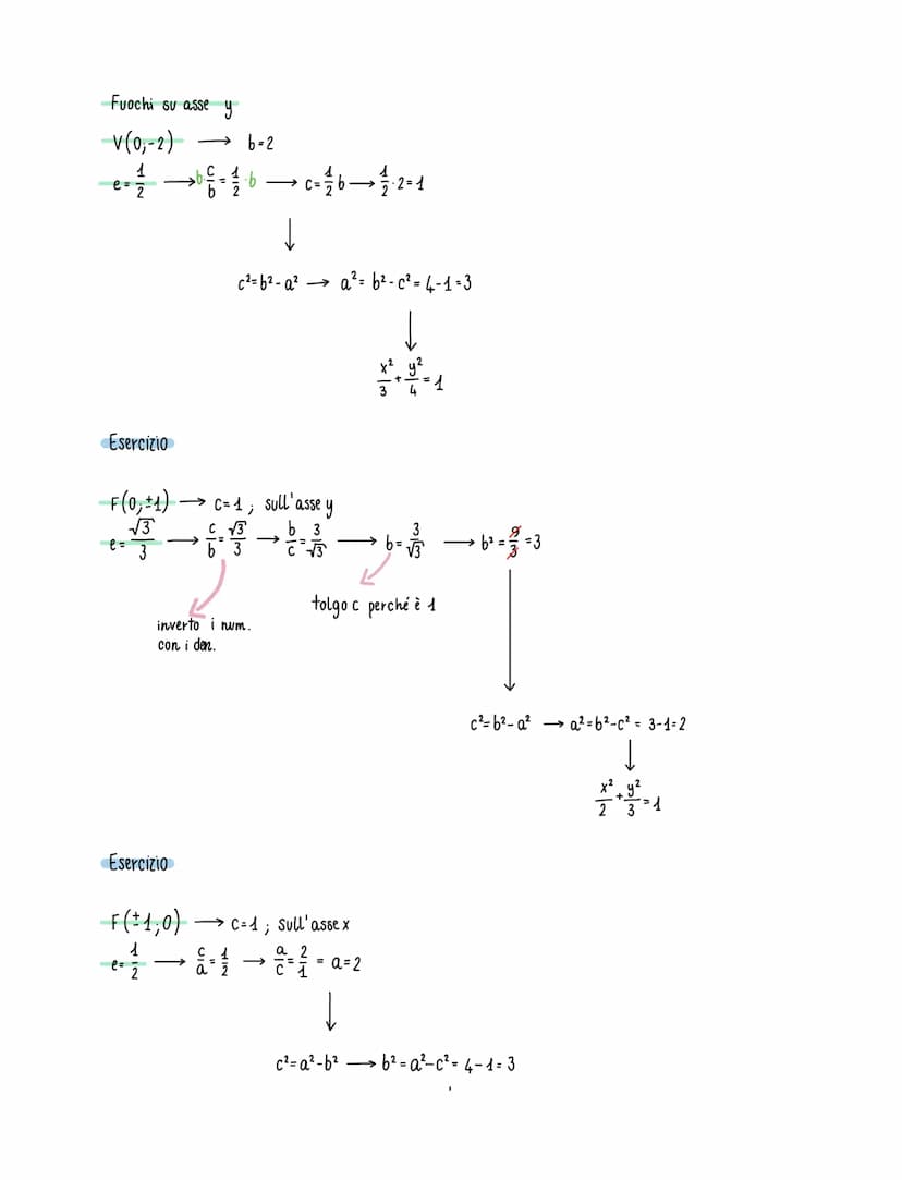
Per F(±2,0) e V(±3,0), i fuochi sono sull'asse x con a=3 e c=2. Quindi b² = a² - c² = 9 - 4 = 5.
Attenzione: Quando i fuochi sono sull'asse y, usa c² = b² - a²; quando sono sull'asse x, usa c² = a² - b².

Alcuni problemi presentano configurazioni miste dove vertici e fuochi non sono sullo stesso asse. Quando V(±3,0) e F(0,±2), hai vertici sull'asse x ma fuochi sull'asse y.
In questo caso, a=3 (dall'asse x) e c=2 (sull'asse y), quindi devi usare c² = b² - a² ma invertendo: b² = a² + c² = 9 + 4 = 13.
L'equazione diventa . Nota come il denominatore maggiore indica sempre dove si concentra l'ellisse.
Regola d'oro: Se vertici e fuochi sono su assi diversi, somma i quadrati invece di sottrarli per trovare il parametro mancante.

L'eccentricità ti permette di ricostruire completamente l'ellisse. Con V(0;-2) hai b=2, e se e=1/2, allora c = b·e = 2·(1/2) = 1.
Per fuochi sull'asse y, usa c² = b² - a²: a² = b² - c² = 4 - 1 = 3. L'equazione è .
Con F(0,±1) e e=√3/3, hai c=1 e b = c/e = 1/(√3/3) = 3/√3 = √3. Quindi a² = b² - c² = 3 - 1 = 2.
Trucco dell'eccentricità: e = c/a per fuochi sull'asse x, e = c/b per fuochi sull'asse y. Questo rapporto è sempre minore di 1 per l'ellisse.

L'iperbole è una conica completamente diversa dall'ellisse. La sua formula è per fuochi sull'asse x, o per fuochi sull'asse y.
La differenza fondamentale è nel segno: meno invece di più. Per i fuochi usa c = √, sempre con la somma dei quadrati.
Nell'esempio con V(±2,0) e e=√3/2, hai a=2 e c = a·e = 2·(√3/2) = √3. Quindi b² = c² - a² = 3 - 4 = -1, che indica un errore nel calcolo.
Differenza chiave: Nell'ellisse c < a sempre, nell'iperbole c > a sempre. L'eccentricità dell'iperbole è sempre maggiore di 1.

Nell'iperbole distingui sempre tra vertici reali (dove la curva interseca effettivamente gli assi) e vertici immaginari (che servono per costruire gli asintoti). Gli asintoti hanno equazioni y = ±x.
Per , hai a=3 e b=5. I vertici reali sono A₁(-3;0) e A₂(3;0), mentre quelli immaginari sono B₁(0;5) e B₂(0;-5).
Gli asintoti sono y = (5/3)x e y = -(5/3)x. I fuochi sono a c = √(9+25) = √34, quindi F₁(-√34;0) e F₂(√34;0).
Visualizza: Gli asintoti sono le rette che l'iperbole "insegue" all'infinito senza mai raggiungerle. Sono fondamentali per disegnare il grafico corretto.

Per 4x² - 25y² = 100, dividi tutto per 100 per ottenere la forma standard: . Hai a=5 e b=2, con fuochi sull'asse x.
I vertici reali sono A₁(-5;0) e A₂(5;0), quelli immaginari B₁(0;2) e B₂(0;-2). La differenza dal caso precedente è che qui il coefficiente positivo determina l'orientamento.
Gli asintoti sono y = ±(2/5)x e l'eccentricità e = √29/5 ≈ 1,077. L'eccentricità maggiore di 1 conferma che si tratta di un'iperbole.
Controllo finale: Nell'iperbole l'eccentricità è sempre > 1, mentre nell'ellisse è sempre < 1. Questo è il test più rapido per distinguerle.
Il nostro assistente AI è costruito specificamente per le esigenze degli studenti. Sulla base dei milioni di contenuti presenti sulla piattaforma, possiamo fornire agli studenti risposte davvero significative e pertinenti. Ma non si tratta solo di risposte, l'assistente è in grado di guidare gli studenti attraverso le loro sfide quotidiane di studio, con piani di studio personalizzati, quiz o contenuti nella chat e una personalizzazione al 100% basata sulle competenze e sugli sviluppi degli studenti.
È possibile scaricare l'applicazione dal Google Play Store e dall'Apple App Store.
Sì, hai accesso completamente gratuito a tutti i contenuti nell'app e puoi chattare o seguire i Creatori in qualsiasi momento. Sbloccherai nuove funzioni crescendo il tuo numero di follower. Inoltre, offriamo Knowunity Premium, che consente di studiare senza alcun limite!!
App Store
Google Play
L'applicazione è molto facile da usare e ben progettata. Finora ho trovato tutto quello che cercavo e ho potuto imparare molto dalle presentazioni! Utilizzerò sicuramente l'app per i compiti in classe! È molto utile anche come fonte di ispirazione.
Stefano S
utente iOS
Questa applicazione è davvero grande! Ci sono tantissimi appunti e aiuti con lo studio [...]. La mia materia problematica, per esempio, è il francese e l'app ha così tante opzioni per aiutarmi. Grazie a questa app ho migliorato il mio francese. La consiglio a tutti.
Samantha Klich
utente Android
Wow, sono davvero stupita. Ho appena provato l'app perché l'ho vista pubblicizzata molte volte e sono rimasta assolutamente sbalordita. Questa app è L'AIUTO che cercate per la scuola e soprattutto offre tantissime cose, come allenamenti e schede, che a me personalmente sono state MOLTO utili.
Anna
utente iOS
È bellissima questa app, la adoro. È utilissima per lo studio e mi aiuta molto, anzi moltissimo, ma soprattutto mi aiutano molto i quiz, per memorizzare anche quello che non sapevo
Anastasia
utente Android
Fantastica per qualsiasi materia avere gli appunti anche di altre persone è molto utile perchè posso confrontarmi e vedere come migliorarmi. con i quiz riesco ad apprendere al meglio.
Francesca
utente Android
moooolto utile,gli appunti sono belli e funzionanti,schoolGPT da dei consigli formidabili!!
Marianna
utente Android
L'applicazione è semplicemente fantastica! Tutto ciò che devo fare è inserire l'argomento nella barra di ricerca e ottengo la risposta molto velocemente. Non devo guardare 10 video di YouTube per capire qualcosa, quindi risparmio tempo. Consigliatissima!
Sudenaz Ocak
utente Android
A scuola andavo malissimo in matematica, ma grazie a questa applicazione ora vado meglio. Vi sono molto grato per aver creato questa app.
Greenlight Bonnie
utente Android
Knowunity è un applicazione fantastica,considerando che ha degli schemi veramente molto carini e sfiziosi e che ci sono dei quiz,oltre al fatto che questa cosa dell intelligenza artificiale "school gpt" è almeno per me molto utile, perché a differenza di Chatgpt ti da le spiegazioni, ti spiega ciò che non è chiaro! Posso studiare più velocemente tramite gli schemi e che posso pubblicare io stessa gli schemi è una funzione utilissima per gli altri studenti. Knowunity è PERFETTA
Aurora
utente Android
L’app funziona benissimo e puoi trovare qualsiasi tipo di informazione. Non ho l’abbonamento ma la parte gratuita è sufficiente per uno studio approfondito.
Martina
utente iOS
I quiz E LE flashcard SONO COSÌ UTILI E ADORO Knowunity IA. È ANCHE LETTERALMENTE COME CHATGPT MA PIÙ INTELLIGENTE!! MI HA AIUTATO ANCHE COI MIEI PROBLEMI DI MASCARA!! E ANCHE CON LE MIE VERE MATERIE! OVVIO 😍😁😲🤑💗✨🎀😮
Chiara
utente IOS
Questa app è una delle migliori, nient’altro da dire.
Andrea
utente iOS
L'applicazione è molto facile da usare e ben progettata. Finora ho trovato tutto quello che cercavo e ho potuto imparare molto dalle presentazioni! Utilizzerò sicuramente l'app per i compiti in classe! È molto utile anche come fonte di ispirazione.
Stefano S
utente iOS
Questa applicazione è davvero grande! Ci sono tantissimi appunti e aiuti con lo studio [...]. La mia materia problematica, per esempio, è il francese e l'app ha così tante opzioni per aiutarmi. Grazie a questa app ho migliorato il mio francese. La consiglio a tutti.
Samantha Klich
utente Android
Wow, sono davvero stupita. Ho appena provato l'app perché l'ho vista pubblicizzata molte volte e sono rimasta assolutamente sbalordita. Questa app è L'AIUTO che cercate per la scuola e soprattutto offre tantissime cose, come allenamenti e schede, che a me personalmente sono state MOLTO utili.
Anna
utente iOS
È bellissima questa app, la adoro. È utilissima per lo studio e mi aiuta molto, anzi moltissimo, ma soprattutto mi aiutano molto i quiz, per memorizzare anche quello che non sapevo
Anastasia
utente Android
Fantastica per qualsiasi materia avere gli appunti anche di altre persone è molto utile perchè posso confrontarmi e vedere come migliorarmi. con i quiz riesco ad apprendere al meglio.
Francesca
utente Android
moooolto utile,gli appunti sono belli e funzionanti,schoolGPT da dei consigli formidabili!!
Marianna
utente Android
L'applicazione è semplicemente fantastica! Tutto ciò che devo fare è inserire l'argomento nella barra di ricerca e ottengo la risposta molto velocemente. Non devo guardare 10 video di YouTube per capire qualcosa, quindi risparmio tempo. Consigliatissima!
Sudenaz Ocak
utente Android
A scuola andavo malissimo in matematica, ma grazie a questa applicazione ora vado meglio. Vi sono molto grato per aver creato questa app.
Greenlight Bonnie
utente Android
Knowunity è un applicazione fantastica,considerando che ha degli schemi veramente molto carini e sfiziosi e che ci sono dei quiz,oltre al fatto che questa cosa dell intelligenza artificiale "school gpt" è almeno per me molto utile, perché a differenza di Chatgpt ti da le spiegazioni, ti spiega ciò che non è chiaro! Posso studiare più velocemente tramite gli schemi e che posso pubblicare io stessa gli schemi è una funzione utilissima per gli altri studenti. Knowunity è PERFETTA
Aurora
utente Android
L’app funziona benissimo e puoi trovare qualsiasi tipo di informazione. Non ho l’abbonamento ma la parte gratuita è sufficiente per uno studio approfondito.
Martina
utente iOS
I quiz E LE flashcard SONO COSÌ UTILI E ADORO Knowunity IA. È ANCHE LETTERALMENTE COME CHATGPT MA PIÙ INTELLIGENTE!! MI HA AIUTATO ANCHE COI MIEI PROBLEMI DI MASCARA!! E ANCHE CON LE MIE VERE MATERIE! OVVIO 😍😁😲🤑💗✨🎀😮
Chiara
utente IOS
Questa app è una delle migliori, nient’altro da dire.
Andrea
utente iOS
Sara
@sasmartons
Le coniche sono curve geometriche fondamentali che incontrerai spesso in matematica: ellisse e iperbole. Padroneggiare queste forme ti darà gli strumenti per risolvere problemi complessi e capire meglio la geometria analitica.

Accesso a tutti i documenti
Migliora i tuoi voti
Unisciti a milioni di studenti
Immagina di avere due chiodi fissi su un tavolo e un filo: l'ellisse è la curva che ottieni tenendo il filo sempre teso. Più precisamente, è il luogo geometrico dei punti la cui somma delle distanze da due punti fissi (chiamati fuochi) rimane costante.
La formula standard è . I parametri a e b sono i semiassi dell'ellisse: quello maggiore determina dove si trovano i fuochi.
Nell'esempio , hai a=4 e b=3. I vertici sono A₁(-4;0), A₂(4;0) sull'asse x e B₁(0;3), B₂(0;-3) sull'asse y.
Ricorda: Se a>b, i fuochi sono sull'asse x; se a<b, sono sull'asse y. Per trovarli usa c = √ quando sono sull'asse x.

Accesso a tutti i documenti
Migliora i tuoi voti
Unisciti a milioni di studenti
Per affrontare qualsiasi esercizio sull'ellisse, segui questi 5 passaggi fondamentali: assicurati che a destra dell'uguale ci sia sempre 1, dividi per il numero appropriato, trova a e b, determina i vertici, calcola fuochi ed eccentricità.
Quando hai coefficienti davanti a x² e y², come in 4x² + 9y² = 4, dividi tutto per il termine noto. Ottieni , quindi a=1 e b=2/3.
L'eccentricità e misura quanto l'ellisse è "schiacciata": e = c/a se i fuochi sono sull'asse x, e = c/b se sono sull'asse y. Più e si avvicina a 1, più l'ellisse è allungata.
Trucco: Per capire su quale asse sono i fuochi, confronta sempre i denominatori: il maggiore indica l'asse dei fuochi.

Accesso a tutti i documenti
Migliora i tuoi voti
Unisciti a milioni di studenti
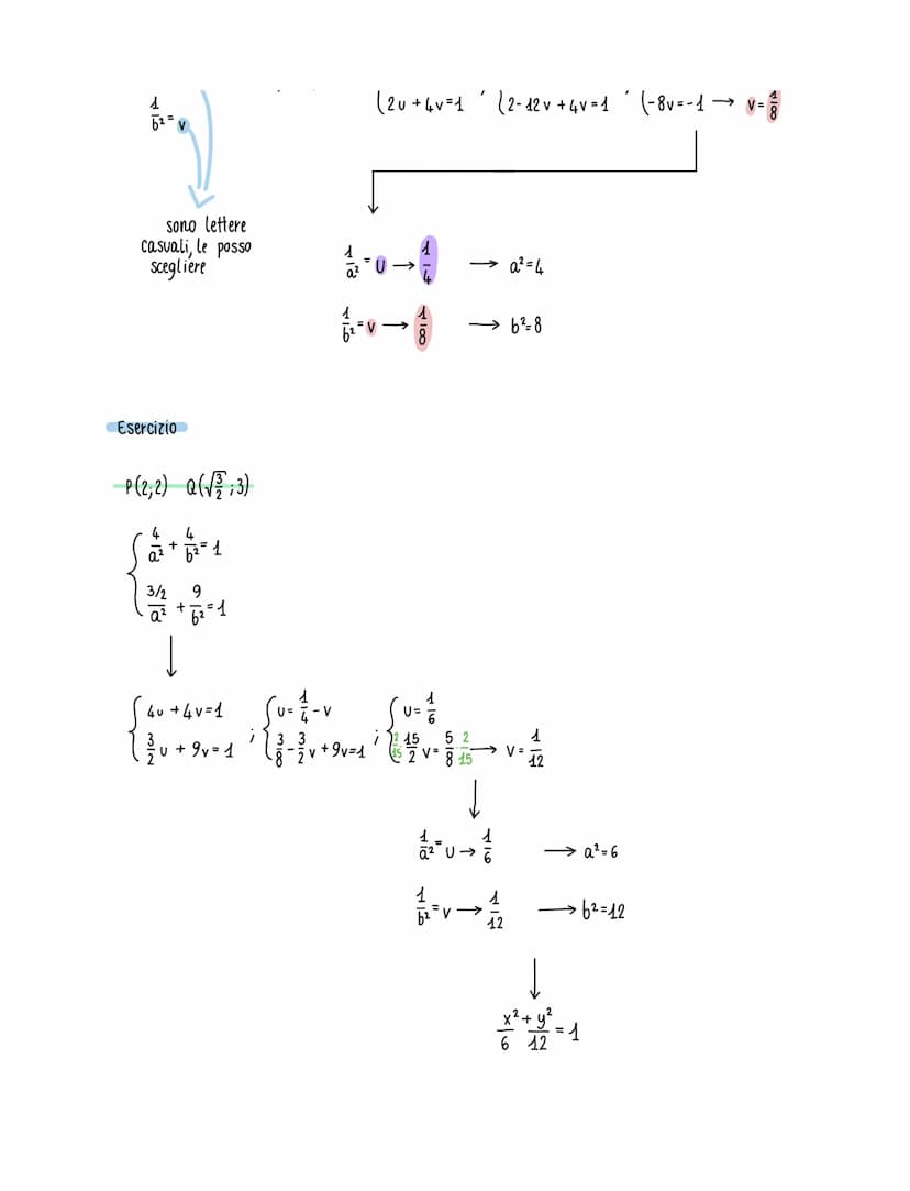
Quando devi trovare l'equazione di un'ellisse passante per due punti, il metodo più efficace è usare la sostituzione con variabili ausiliarie. Questo approccio trasforma il problema in un sistema lineare più semplice da risolvere.
Dato che P(1, √6) e Q(√2, 2) appartengono all'ellisse, sostituisci le coordinate nella formula generale. Poni u = 1/a² e v = 1/b² per semplificare i calcoli.
Il sistema diventa: u + 6v = 1 e 2u + 4v = 1. Risolvendolo ottieni u = 1/2 e v = 1/8, quindi a² = 2 e b² = 8.
Strategia vincente: Le variabili ausiliarie u e v trasformano frazioni complesse in equazioni lineari facilissime da gestire.

Accesso a tutti i documenti
Migliora i tuoi voti
Unisciti a milioni di studenti
Con i punti P(2,2) e Q(3/2,3), applichi lo stesso metodo sostituendo le coordinate. Il sistema lineare che ottieni è 4u + 4v = 1 e (9/4)u + 9v = 1.
Risolvendo per eliminazione: dalla prima equazione ricavi u, lo sostituisci nella seconda e trovi v = 1/8. Quindi u = 1/6, che significa a² = 6 e b² = 8.
L'equazione finale è . Verifica sempre sostituendo i punti originali nell'equazione ottenuta.
Controllo rapido: Una volta trovata l'equazione, sostituisci sempre i punti dati per verificare che il risultato sia corretto.

Accesso a tutti i documenti
Migliora i tuoi voti
Unisciti a milioni di studenti
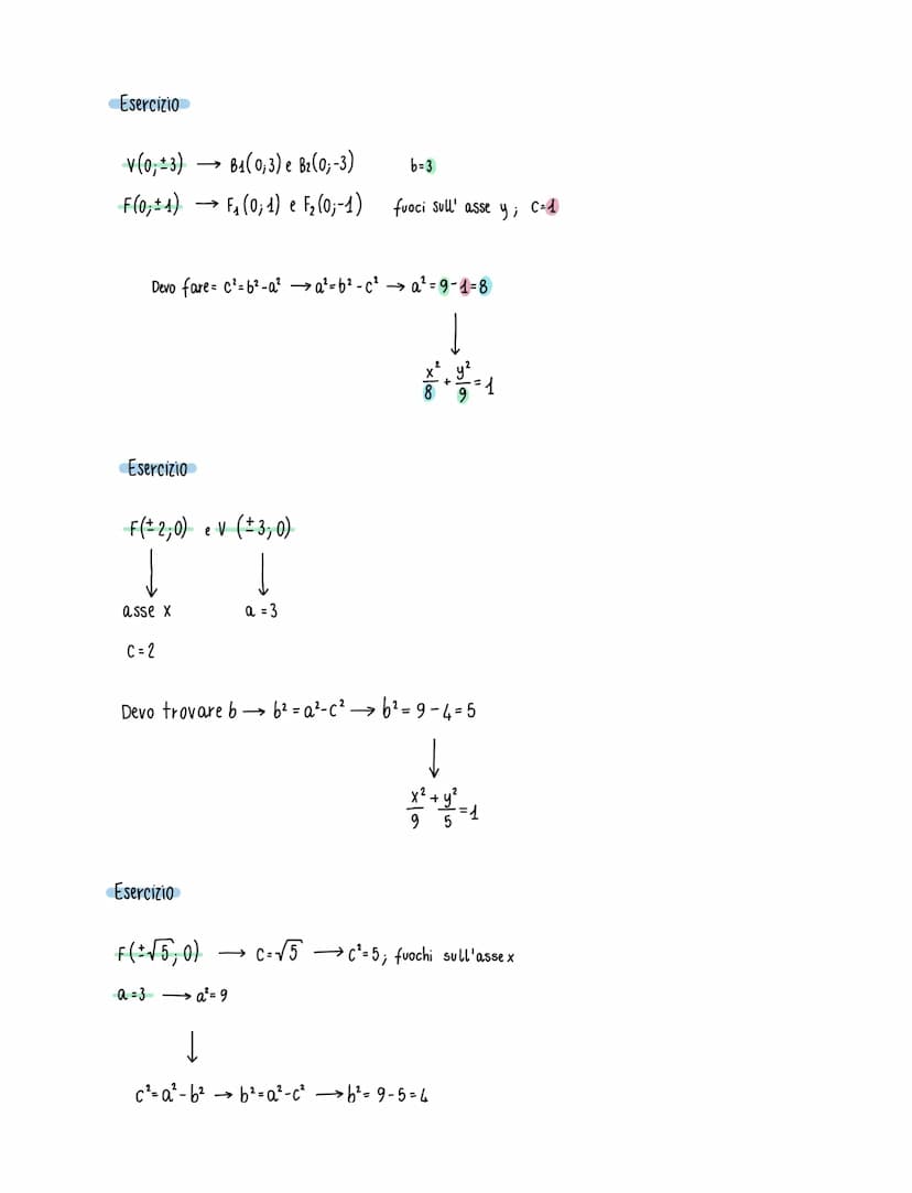
Quando hai vertici e fuochi, puoi determinare direttamente i parametri dell'ellisse. Se V(0;3) è un vertice, significa che b=3 e l'asse maggiore è verticale.
Con F(0;1) come fuoco, hai c=1 sull'asse y. Usa la relazione c² = b² - a² per trovare a²: a² = b² - c² = 9 - 1 = 8.
Per F(±2,0) e V(±3,0), i fuochi sono sull'asse x con a=3 e c=2. Quindi b² = a² - c² = 9 - 4 = 5.
Attenzione: Quando i fuochi sono sull'asse y, usa c² = b² - a²; quando sono sull'asse x, usa c² = a² - b².

Accesso a tutti i documenti
Migliora i tuoi voti
Unisciti a milioni di studenti
Alcuni problemi presentano configurazioni miste dove vertici e fuochi non sono sullo stesso asse. Quando V(±3,0) e F(0,±2), hai vertici sull'asse x ma fuochi sull'asse y.
In questo caso, a=3 (dall'asse x) e c=2 (sull'asse y), quindi devi usare c² = b² - a² ma invertendo: b² = a² + c² = 9 + 4 = 13.
L'equazione diventa . Nota come il denominatore maggiore indica sempre dove si concentra l'ellisse.
Regola d'oro: Se vertici e fuochi sono su assi diversi, somma i quadrati invece di sottrarli per trovare il parametro mancante.

Accesso a tutti i documenti
Migliora i tuoi voti
Unisciti a milioni di studenti
L'eccentricità ti permette di ricostruire completamente l'ellisse. Con V(0;-2) hai b=2, e se e=1/2, allora c = b·e = 2·(1/2) = 1.
Per fuochi sull'asse y, usa c² = b² - a²: a² = b² - c² = 4 - 1 = 3. L'equazione è .
Con F(0,±1) e e=√3/3, hai c=1 e b = c/e = 1/(√3/3) = 3/√3 = √3. Quindi a² = b² - c² = 3 - 1 = 2.
Trucco dell'eccentricità: e = c/a per fuochi sull'asse x, e = c/b per fuochi sull'asse y. Questo rapporto è sempre minore di 1 per l'ellisse.

Accesso a tutti i documenti
Migliora i tuoi voti
Unisciti a milioni di studenti
L'iperbole è una conica completamente diversa dall'ellisse. La sua formula è per fuochi sull'asse x, o per fuochi sull'asse y.
La differenza fondamentale è nel segno: meno invece di più. Per i fuochi usa c = √, sempre con la somma dei quadrati.
Nell'esempio con V(±2,0) e e=√3/2, hai a=2 e c = a·e = 2·(√3/2) = √3. Quindi b² = c² - a² = 3 - 4 = -1, che indica un errore nel calcolo.
Differenza chiave: Nell'ellisse c < a sempre, nell'iperbole c > a sempre. L'eccentricità dell'iperbole è sempre maggiore di 1.

Accesso a tutti i documenti
Migliora i tuoi voti
Unisciti a milioni di studenti
Nell'iperbole distingui sempre tra vertici reali (dove la curva interseca effettivamente gli assi) e vertici immaginari (che servono per costruire gli asintoti). Gli asintoti hanno equazioni y = ±x.
Per , hai a=3 e b=5. I vertici reali sono A₁(-3;0) e A₂(3;0), mentre quelli immaginari sono B₁(0;5) e B₂(0;-5).
Gli asintoti sono y = (5/3)x e y = -(5/3)x. I fuochi sono a c = √(9+25) = √34, quindi F₁(-√34;0) e F₂(√34;0).
Visualizza: Gli asintoti sono le rette che l'iperbole "insegue" all'infinito senza mai raggiungerle. Sono fondamentali per disegnare il grafico corretto.

Accesso a tutti i documenti
Migliora i tuoi voti
Unisciti a milioni di studenti
Per 4x² - 25y² = 100, dividi tutto per 100 per ottenere la forma standard: . Hai a=5 e b=2, con fuochi sull'asse x.
I vertici reali sono A₁(-5;0) e A₂(5;0), quelli immaginari B₁(0;2) e B₂(0;-2). La differenza dal caso precedente è che qui il coefficiente positivo determina l'orientamento.
Gli asintoti sono y = ±(2/5)x e l'eccentricità e = √29/5 ≈ 1,077. L'eccentricità maggiore di 1 conferma che si tratta di un'iperbole.
Controllo finale: Nell'iperbole l'eccentricità è sempre > 1, mentre nell'ellisse è sempre < 1. Questo è il test più rapido per distinguerle.
Il nostro assistente AI è costruito specificamente per le esigenze degli studenti. Sulla base dei milioni di contenuti presenti sulla piattaforma, possiamo fornire agli studenti risposte davvero significative e pertinenti. Ma non si tratta solo di risposte, l'assistente è in grado di guidare gli studenti attraverso le loro sfide quotidiane di studio, con piani di studio personalizzati, quiz o contenuti nella chat e una personalizzazione al 100% basata sulle competenze e sugli sviluppi degli studenti.
È possibile scaricare l'applicazione dal Google Play Store e dall'Apple App Store.
Sì, hai accesso completamente gratuito a tutti i contenuti nell'app e puoi chattare o seguire i Creatori in qualsiasi momento. Sbloccherai nuove funzioni crescendo il tuo numero di follower. Inoltre, offriamo Knowunity Premium, che consente di studiare senza alcun limite!!
188
Strumenti Intelligenti NUOVO
Trasforma questi appunti in: ✓ 50+ Domande di Pratica ✓ Flashcard Interattive ✓ Simulazione d'esame completa ✓ Schemi per Saggi
equazioni
Riassunti su frazioni algebriche, disequazioni, sistemi lineari e rispettivi metodi di risoluzione e radicali.
frazioni algebriche: definizione, condizioni di esistenza, semplificazione e denominatore comune, operazioni. Eq Fratte: procedimento. Eq Letterali: procedimento
,,,,
sistemi lineari, metodi del confronto e di sostituzione.
Formulario delle figure/solidi più utili per il test d’ingresso di ingegneria (TOLC, TOL).
App Store
Google Play
L'applicazione è molto facile da usare e ben progettata. Finora ho trovato tutto quello che cercavo e ho potuto imparare molto dalle presentazioni! Utilizzerò sicuramente l'app per i compiti in classe! È molto utile anche come fonte di ispirazione.
Stefano S
utente iOS
Questa applicazione è davvero grande! Ci sono tantissimi appunti e aiuti con lo studio [...]. La mia materia problematica, per esempio, è il francese e l'app ha così tante opzioni per aiutarmi. Grazie a questa app ho migliorato il mio francese. La consiglio a tutti.
Samantha Klich
utente Android
Wow, sono davvero stupita. Ho appena provato l'app perché l'ho vista pubblicizzata molte volte e sono rimasta assolutamente sbalordita. Questa app è L'AIUTO che cercate per la scuola e soprattutto offre tantissime cose, come allenamenti e schede, che a me personalmente sono state MOLTO utili.
Anna
utente iOS
È bellissima questa app, la adoro. È utilissima per lo studio e mi aiuta molto, anzi moltissimo, ma soprattutto mi aiutano molto i quiz, per memorizzare anche quello che non sapevo
Anastasia
utente Android
Fantastica per qualsiasi materia avere gli appunti anche di altre persone è molto utile perchè posso confrontarmi e vedere come migliorarmi. con i quiz riesco ad apprendere al meglio.
Francesca
utente Android
moooolto utile,gli appunti sono belli e funzionanti,schoolGPT da dei consigli formidabili!!
Marianna
utente Android
L'applicazione è semplicemente fantastica! Tutto ciò che devo fare è inserire l'argomento nella barra di ricerca e ottengo la risposta molto velocemente. Non devo guardare 10 video di YouTube per capire qualcosa, quindi risparmio tempo. Consigliatissima!
Sudenaz Ocak
utente Android
A scuola andavo malissimo in matematica, ma grazie a questa applicazione ora vado meglio. Vi sono molto grato per aver creato questa app.
Greenlight Bonnie
utente Android
Knowunity è un applicazione fantastica,considerando che ha degli schemi veramente molto carini e sfiziosi e che ci sono dei quiz,oltre al fatto che questa cosa dell intelligenza artificiale "school gpt" è almeno per me molto utile, perché a differenza di Chatgpt ti da le spiegazioni, ti spiega ciò che non è chiaro! Posso studiare più velocemente tramite gli schemi e che posso pubblicare io stessa gli schemi è una funzione utilissima per gli altri studenti. Knowunity è PERFETTA
Aurora
utente Android
L’app funziona benissimo e puoi trovare qualsiasi tipo di informazione. Non ho l’abbonamento ma la parte gratuita è sufficiente per uno studio approfondito.
Martina
utente iOS
I quiz E LE flashcard SONO COSÌ UTILI E ADORO Knowunity IA. È ANCHE LETTERALMENTE COME CHATGPT MA PIÙ INTELLIGENTE!! MI HA AIUTATO ANCHE COI MIEI PROBLEMI DI MASCARA!! E ANCHE CON LE MIE VERE MATERIE! OVVIO 😍😁😲🤑💗✨🎀😮
Chiara
utente IOS
Questa app è una delle migliori, nient’altro da dire.
Andrea
utente iOS
L'applicazione è molto facile da usare e ben progettata. Finora ho trovato tutto quello che cercavo e ho potuto imparare molto dalle presentazioni! Utilizzerò sicuramente l'app per i compiti in classe! È molto utile anche come fonte di ispirazione.
Stefano S
utente iOS
Questa applicazione è davvero grande! Ci sono tantissimi appunti e aiuti con lo studio [...]. La mia materia problematica, per esempio, è il francese e l'app ha così tante opzioni per aiutarmi. Grazie a questa app ho migliorato il mio francese. La consiglio a tutti.
Samantha Klich
utente Android
Wow, sono davvero stupita. Ho appena provato l'app perché l'ho vista pubblicizzata molte volte e sono rimasta assolutamente sbalordita. Questa app è L'AIUTO che cercate per la scuola e soprattutto offre tantissime cose, come allenamenti e schede, che a me personalmente sono state MOLTO utili.
Anna
utente iOS
È bellissima questa app, la adoro. È utilissima per lo studio e mi aiuta molto, anzi moltissimo, ma soprattutto mi aiutano molto i quiz, per memorizzare anche quello che non sapevo
Anastasia
utente Android
Fantastica per qualsiasi materia avere gli appunti anche di altre persone è molto utile perchè posso confrontarmi e vedere come migliorarmi. con i quiz riesco ad apprendere al meglio.
Francesca
utente Android
moooolto utile,gli appunti sono belli e funzionanti,schoolGPT da dei consigli formidabili!!
Marianna
utente Android
L'applicazione è semplicemente fantastica! Tutto ciò che devo fare è inserire l'argomento nella barra di ricerca e ottengo la risposta molto velocemente. Non devo guardare 10 video di YouTube per capire qualcosa, quindi risparmio tempo. Consigliatissima!
Sudenaz Ocak
utente Android
A scuola andavo malissimo in matematica, ma grazie a questa applicazione ora vado meglio. Vi sono molto grato per aver creato questa app.
Greenlight Bonnie
utente Android
Knowunity è un applicazione fantastica,considerando che ha degli schemi veramente molto carini e sfiziosi e che ci sono dei quiz,oltre al fatto che questa cosa dell intelligenza artificiale "school gpt" è almeno per me molto utile, perché a differenza di Chatgpt ti da le spiegazioni, ti spiega ciò che non è chiaro! Posso studiare più velocemente tramite gli schemi e che posso pubblicare io stessa gli schemi è una funzione utilissima per gli altri studenti. Knowunity è PERFETTA
Aurora
utente Android
L’app funziona benissimo e puoi trovare qualsiasi tipo di informazione. Non ho l’abbonamento ma la parte gratuita è sufficiente per uno studio approfondito.
Martina
utente iOS
I quiz E LE flashcard SONO COSÌ UTILI E ADORO Knowunity IA. È ANCHE LETTERALMENTE COME CHATGPT MA PIÙ INTELLIGENTE!! MI HA AIUTATO ANCHE COI MIEI PROBLEMI DI MASCARA!! E ANCHE CON LE MIE VERE MATERIE! OVVIO 😍😁😲🤑💗✨🎀😮
Chiara
utente IOS
Questa app è una delle migliori, nient’altro da dire.
Andrea
utente iOS