I sistemi lineari sono uno degli argomenti più pratici della... Mostra di più
Iscriviti per mostrare il contenutoÈ gratis!
Accesso a tutti i documenti
Migliora i tuoi voti
Unisciti a milioni di studenti
Knowunity AI
Materie
Triangle Congruence and Similarity Theorems
Triangle Properties and Classification
Linear Equations and Graphs
Geometric Angle Relationships
Trigonometric Functions and Identities
Equation Solving Techniques
Circle Geometry Fundamentals
Division Operations and Methods
Basic Differentiation Rules
Exponent and Logarithm Properties
Mostra tutti gli argomenti
Human Organ Systems
Reproductive Cell Cycles
Biological Sciences Subdisciplines
Cellular Energy Metabolism
Autotrophic Energy Processes
Inheritance Patterns and Principles
Biomolecular Structure and Organization
Cell Cycle and Division Mechanics
Cellular Organization and Development
Biological Structural Organization
Mostra tutti gli argomenti
Chemical Sciences and Applications
Atomic Structure and Composition
Molecular Electron Structure Representation
Atomic Electron Behavior
Matter Properties and Water
Mole Concept and Calculations
Gas Laws and Behavior
Periodic Table Organization
Chemical Thermodynamics Fundamentals
Chemical Bond Types and Properties
Mostra tutti gli argomenti
European Renaissance and Enlightenment
European Cultural Movements 800-1920
American Revolution Era 1763-1797
American Civil War 1861-1865
Global Imperial Systems
Mongol and Chinese Dynasties
U.S. Presidents and World Leaders
Historical Sources and Documentation
World Wars Era and Impact
World Religious Systems
Mostra tutti gli argomenti
Classic and Contemporary Novels
Literary Character Analysis
Rhetorical Theory and Practice
Classic Literary Narratives
Reading Analysis and Interpretation
Narrative Structure and Techniques
English Language Components
Influential English-Language Authors
Basic Sentence Structure
Narrative Voice and Perspective
Mostra tutti gli argomenti
2,392
•
Aggiornato May 11, 2026
•
Eleonora Marchi
@eleonoramarchi_jrhq
I sistemi lineari sono uno degli argomenti più pratici della... Mostra di più










Sai già risolvere un'equazione come 2x + 3 = 1 + x/2, vero? Ma cosa succede quando hai due equazioni con due incognite? Ecco dove entrano in gioco i sistemi lineari!
Un'equazione come y + x - 3 = 0 ha infinite soluzioni: se x = 0 allora y = 3, se x = 1 allora y = 2, e così via. Nel piano cartesiano, questa equazione rappresenta una retta.
Quando metti insieme due equazioni lineari, stai cercando i punti comuni tra due rette. Le posizioni possibili sono tre: rette incidenti (una soluzione comune), rette parallele (nessuna soluzione) e rette coincidenti (infinite soluzioni).
💡 Ricorda: Ogni equazione di primo grado in due incognite rappresenta sempre una retta nel piano cartesiano!

Vuoi vedere visivamente come funziona un sistema? Il metodo grafico è perfetto per capire! Devi semplicemente disegnare le due rette e trovare dove si intersecano.
Per disegnare una retta ti servono solo due punti. Scegli due valori per x e calcola le corrispondenti y. Ad esempio, per y - 3 + x = 0: se x = 0 allora y = 3, se x = 1 allora y = 2.
Il punto dove le due rette si incontrano è la soluzione del sistema. Se le rette non si toccano mai (sono parallele), il sistema è impossibile. Se le rette coincidono, hai infinite soluzioni.
📊 Suggerimento: Il metodo grafico è ottimo per visualizzare, ma per calcoli precisi è meglio usare i metodi algebrici!

Il metodo di sostituzione è spesso il più semplice da capire. L'idea è geniale: isoli una incognita da un'equazione e la sostituisci nell'altra!
Partiamo da un esempio pratico. Nel sistema {8y = x - 1; 6x + 2 = 0}, dalla seconda equazione ricavi subito x = -1/4. Poi sostituisci questo valore nella prima equazione per trovare y.
La strategia vincente è scegliere l'equazione più facile da cui isolare un'incognita. Evita frazioni complicate quando puoi! Una volta trovata una incognita, sostituiscila nell'altra equazione per completare la soluzione.
Questo metodo funziona benissimo anche con problemi di geometria. Come nel rettangolo dove l'altezza è 3/20 del perimetro: traduci il problema in un sistema e risolvi passo dopo passo.
✨ Trucco: Cerca sempre l'incognita più facile da isolare - ti risparmierai calcoli complicati!

Il metodo di riduzione è il più elegante: elimini un'incognita sommando le equazioni! È come far sparire una variabile con un trucco di magia matematica.
L'obiettivo è ottenere coefficienti opposti per una delle incognite. Nel sistema {x - y = 4; x + 3y = 8}, moltiplichi la prima per 3 per ottenere {3x - 3y = 12; x + 3y = 8}.
Quando sommi le equazioni, i termini in y si annullano: 4x = 20, quindi x = 5. Sostituendo in una delle equazioni originali trovi y = 1. La soluzione è (5, 1)!
A volte devi moltiplicare entrambe le equazioni per numeri diversi per creare coefficienti opposti. Non aver paura dei calcoli: con un po' di pratica diventa automatico.
⚡ Pro tip: Scrivi sempre il sistema in forma normale prima di iniziare - ti semplificherà la vita!

Il metodo di Cramer usa i determinanti ed è perfetto quando vuoi una formula diretta. Sembra complicato ma è molto sistematico!
Per un sistema in forma normale {ax + by = c; dx + ey = f}, calcoli tre determinanti: D (dei coefficienti), Dx e Dy. Se D ≠ 0, allora x = Dx/D e y = Dy/D.
Il determinante principale D ti dice tutto: se D ≠ 0 hai una soluzione unica. Se D = 0 ma Dx = Dy = 0, hai infinite soluzioni. Se D = 0 ma Dx ≠ 0 o Dy ≠ 0, il sistema è impossibile.
Questo metodo è particolarmente utile quando hai sistemi con numeri "brutti" o quando devi analizzare più sistemi simili. Una volta imparata la formula, è velocissimo!
🎯 Attenzione: Ricordati sempre di mettere il sistema in forma normale prima di applicare Cramer!

I problemi geometrici diventano facili quando li traduci in sistemi lineari! È come trasformare parole in numeri e lasciare che la matematica faccia il lavoro.
Nel problema del trapezio con area 32 cm² e altezza 4 cm, traduci le condizioni: l'area diventa ·4/2 = 32, che semplificata dà x + y = 16. La differenza delle basi AB - DC = 4 diventa x - y = 4.
Risolvi il sistema {x + y = 16; x - y = 4} con il metodo che preferisci. Sommando le equazioni ottieni 2x = 20, quindi x = 10. Sostituendo trovi y = 6.
Ricorda sempre di controllare le tue risposte nel contesto del problema. Le dimensioni devono essere positive e soddisfare tutte le condizioni geometriche!
📐 Strategia: Definisci chiaramente le incognite all'inizio e traduci ogni condizione del problema in un'equazione!

Non farti spaventare dalle frazioni nei sistemi! Con qualche accorgimento diventano gestibili come tutti gli altri.
Nel sistema {x/3 + 4y = 5; -x + y/2 = -5/2}, la strategia migliore è eliminare subito le frazioni. Moltiplica ogni equazione per il denominatore comune: la prima per 3, la seconda per 2.
Ottieni {x + 12y = 15; -2x + y = -5}, che è molto più semplice da gestire! Ora puoi usare qualsiasi metodo di risoluzione senza preoccuparti delle frazioni.
Il metodo grafico funziona anche qui: isola y da entrambe le equazioni, costruisci la tabella dei valori e disegna le rette. Il punto di intersezione è la tua soluzione.
🔢 Consiglio d'oro: Elimina sempre le frazioni all'inizio - ti risparmierai errori di calcolo!

I sistemi a tre incognite sembrano difficili, ma seguono la stessa logica! Hai solo bisogno di tre equazioni per trovare x, y e z.
Nel sistema {3x = y + 1; 4z = x + y; x + y + z = 9}, parti eliminando una variabile. Dalla prima equazione ricavi y in funzione di x, poi sostituisci nelle altre due equazioni.
La strategia è ridurre gradualmente: da tre incognite passi a due, poi a una. È come sbucciare una cipolla, strato dopo strato!
Un esempio pratico: due angoli supplementari con x + y = 180° e differenza x - y = 40°. Risolvi e trovi x = 110° e y = 70°.
🎯 Metodologia: Affronta i sistemi a tre incognite step by step - prima riduci, poi risolvi!

Ora hai quattro metodi potenti per risolvere qualsiasi sistema lineare! Ognuno ha i suoi punti di forza e sapere quando usarli ti rende un vero esperto.
Il metodo di sostituzione è perfetto quando hai un'incognita facile da isolare. Il metodo di confronto funziona bene quando puoi isolare la stessa variabile da entrambe le equazioni.
Il metodo di riduzione è il più versatile e veloce per la maggior parte dei sistemi. Il metodo di Cramer è sistematico e utile per analisi teoriche.
La chiave del successo è praticare tutti i metodi e scegliere quello più adatto al sistema che hai davanti. Con l'esperienza svilupperai l'intuito per la scelta migliore!
🚀 Obiettivo finale: Padroneggia tutti i metodi e diventa un risolutore di sistemi inarrestabile!
Il nostro assistente AI è costruito specificamente per le esigenze degli studenti. Sulla base dei milioni di contenuti presenti sulla piattaforma, possiamo fornire agli studenti risposte davvero significative e pertinenti. Ma non si tratta solo di risposte, l'assistente è in grado di guidare gli studenti attraverso le loro sfide quotidiane di studio, con piani di studio personalizzati, quiz o contenuti nella chat e una personalizzazione al 100% basata sulle competenze e sugli sviluppi degli studenti.
È possibile scaricare l'applicazione dal Google Play Store e dall'Apple App Store.
Sì, hai accesso completamente gratuito a tutti i contenuti nell'app e puoi chattare o seguire i Creatori in qualsiasi momento. Sbloccherai nuove funzioni crescendo il tuo numero di follower. Inoltre, offriamo Knowunity Premium, che consente di studiare senza alcun limite!!
App Store
Google Play
L'applicazione è molto facile da usare e ben progettata. Finora ho trovato tutto quello che cercavo e ho potuto imparare molto dalle presentazioni! Utilizzerò sicuramente l'app per i compiti in classe! È molto utile anche come fonte di ispirazione.
Stefano S
utente iOS
Questa applicazione è davvero grande! Ci sono tantissimi appunti e aiuti con lo studio [...]. La mia materia problematica, per esempio, è il francese e l'app ha così tante opzioni per aiutarmi. Grazie a questa app ho migliorato il mio francese. La consiglio a tutti.
Samantha Klich
utente Android
Wow, sono davvero stupita. Ho appena provato l'app perché l'ho vista pubblicizzata molte volte e sono rimasta assolutamente sbalordita. Questa app è L'AIUTO che cercate per la scuola e soprattutto offre tantissime cose, come allenamenti e schede, che a me personalmente sono state MOLTO utili.
Anna
utente iOS
È bellissima questa app, la adoro. È utilissima per lo studio e mi aiuta molto, anzi moltissimo, ma soprattutto mi aiutano molto i quiz, per memorizzare anche quello che non sapevo
Anastasia
utente Android
Fantastica per qualsiasi materia avere gli appunti anche di altre persone è molto utile perchè posso confrontarmi e vedere come migliorarmi. con i quiz riesco ad apprendere al meglio.
Francesca
utente Android
moooolto utile,gli appunti sono belli e funzionanti,schoolGPT da dei consigli formidabili!!
Marianna
utente Android
L'applicazione è semplicemente fantastica! Tutto ciò che devo fare è inserire l'argomento nella barra di ricerca e ottengo la risposta molto velocemente. Non devo guardare 10 video di YouTube per capire qualcosa, quindi risparmio tempo. Consigliatissima!
Sudenaz Ocak
utente Android
A scuola andavo malissimo in matematica, ma grazie a questa applicazione ora vado meglio. Vi sono molto grato per aver creato questa app.
Greenlight Bonnie
utente Android
Knowunity è un applicazione fantastica,considerando che ha degli schemi veramente molto carini e sfiziosi e che ci sono dei quiz,oltre al fatto che questa cosa dell intelligenza artificiale "school gpt" è almeno per me molto utile, perché a differenza di Chatgpt ti da le spiegazioni, ti spiega ciò che non è chiaro! Posso studiare più velocemente tramite gli schemi e che posso pubblicare io stessa gli schemi è una funzione utilissima per gli altri studenti. Knowunity è PERFETTA
Aurora
utente Android
L’app funziona benissimo e puoi trovare qualsiasi tipo di informazione. Non ho l’abbonamento ma la parte gratuita è sufficiente per uno studio approfondito.
Martina
utente iOS
I quiz E LE flashcard SONO COSÌ UTILI E ADORO Knowunity IA. È ANCHE LETTERALMENTE COME CHATGPT MA PIÙ INTELLIGENTE!! MI HA AIUTATO ANCHE COI MIEI PROBLEMI DI MASCARA!! E ANCHE CON LE MIE VERE MATERIE! OVVIO 😍😁😲🤑💗✨🎀😮
Chiara
utente IOS
Questa app è una delle migliori, nient’altro da dire.
Andrea
utente iOS
L'applicazione è molto facile da usare e ben progettata. Finora ho trovato tutto quello che cercavo e ho potuto imparare molto dalle presentazioni! Utilizzerò sicuramente l'app per i compiti in classe! È molto utile anche come fonte di ispirazione.
Stefano S
utente iOS
Questa applicazione è davvero grande! Ci sono tantissimi appunti e aiuti con lo studio [...]. La mia materia problematica, per esempio, è il francese e l'app ha così tante opzioni per aiutarmi. Grazie a questa app ho migliorato il mio francese. La consiglio a tutti.
Samantha Klich
utente Android
Wow, sono davvero stupita. Ho appena provato l'app perché l'ho vista pubblicizzata molte volte e sono rimasta assolutamente sbalordita. Questa app è L'AIUTO che cercate per la scuola e soprattutto offre tantissime cose, come allenamenti e schede, che a me personalmente sono state MOLTO utili.
Anna
utente iOS
È bellissima questa app, la adoro. È utilissima per lo studio e mi aiuta molto, anzi moltissimo, ma soprattutto mi aiutano molto i quiz, per memorizzare anche quello che non sapevo
Anastasia
utente Android
Fantastica per qualsiasi materia avere gli appunti anche di altre persone è molto utile perchè posso confrontarmi e vedere come migliorarmi. con i quiz riesco ad apprendere al meglio.
Francesca
utente Android
moooolto utile,gli appunti sono belli e funzionanti,schoolGPT da dei consigli formidabili!!
Marianna
utente Android
L'applicazione è semplicemente fantastica! Tutto ciò che devo fare è inserire l'argomento nella barra di ricerca e ottengo la risposta molto velocemente. Non devo guardare 10 video di YouTube per capire qualcosa, quindi risparmio tempo. Consigliatissima!
Sudenaz Ocak
utente Android
A scuola andavo malissimo in matematica, ma grazie a questa applicazione ora vado meglio. Vi sono molto grato per aver creato questa app.
Greenlight Bonnie
utente Android
Knowunity è un applicazione fantastica,considerando che ha degli schemi veramente molto carini e sfiziosi e che ci sono dei quiz,oltre al fatto che questa cosa dell intelligenza artificiale "school gpt" è almeno per me molto utile, perché a differenza di Chatgpt ti da le spiegazioni, ti spiega ciò che non è chiaro! Posso studiare più velocemente tramite gli schemi e che posso pubblicare io stessa gli schemi è una funzione utilissima per gli altri studenti. Knowunity è PERFETTA
Aurora
utente Android
L’app funziona benissimo e puoi trovare qualsiasi tipo di informazione. Non ho l’abbonamento ma la parte gratuita è sufficiente per uno studio approfondito.
Martina
utente iOS
I quiz E LE flashcard SONO COSÌ UTILI E ADORO Knowunity IA. È ANCHE LETTERALMENTE COME CHATGPT MA PIÙ INTELLIGENTE!! MI HA AIUTATO ANCHE COI MIEI PROBLEMI DI MASCARA!! E ANCHE CON LE MIE VERE MATERIE! OVVIO 😍😁😲🤑💗✨🎀😮
Chiara
utente IOS
Questa app è una delle migliori, nient’altro da dire.
Andrea
utente iOS
Eleonora Marchi
@eleonoramarchi_jrhq
I sistemi lineari sono uno degli argomenti più pratici della matematica che incontrerai! Imparerai a risolvere problemi con due o più equazioni contemporaneamente, trovando i valori delle incognite che soddisfano tutte le condizioni.

Accesso a tutti i documenti
Migliora i tuoi voti
Unisciti a milioni di studenti
Sai già risolvere un'equazione come 2x + 3 = 1 + x/2, vero? Ma cosa succede quando hai due equazioni con due incognite? Ecco dove entrano in gioco i sistemi lineari!
Un'equazione come y + x - 3 = 0 ha infinite soluzioni: se x = 0 allora y = 3, se x = 1 allora y = 2, e così via. Nel piano cartesiano, questa equazione rappresenta una retta.
Quando metti insieme due equazioni lineari, stai cercando i punti comuni tra due rette. Le posizioni possibili sono tre: rette incidenti (una soluzione comune), rette parallele (nessuna soluzione) e rette coincidenti (infinite soluzioni).
💡 Ricorda: Ogni equazione di primo grado in due incognite rappresenta sempre una retta nel piano cartesiano!

Accesso a tutti i documenti
Migliora i tuoi voti
Unisciti a milioni di studenti
Vuoi vedere visivamente come funziona un sistema? Il metodo grafico è perfetto per capire! Devi semplicemente disegnare le due rette e trovare dove si intersecano.
Per disegnare una retta ti servono solo due punti. Scegli due valori per x e calcola le corrispondenti y. Ad esempio, per y - 3 + x = 0: se x = 0 allora y = 3, se x = 1 allora y = 2.
Il punto dove le due rette si incontrano è la soluzione del sistema. Se le rette non si toccano mai (sono parallele), il sistema è impossibile. Se le rette coincidono, hai infinite soluzioni.
📊 Suggerimento: Il metodo grafico è ottimo per visualizzare, ma per calcoli precisi è meglio usare i metodi algebrici!

Accesso a tutti i documenti
Migliora i tuoi voti
Unisciti a milioni di studenti
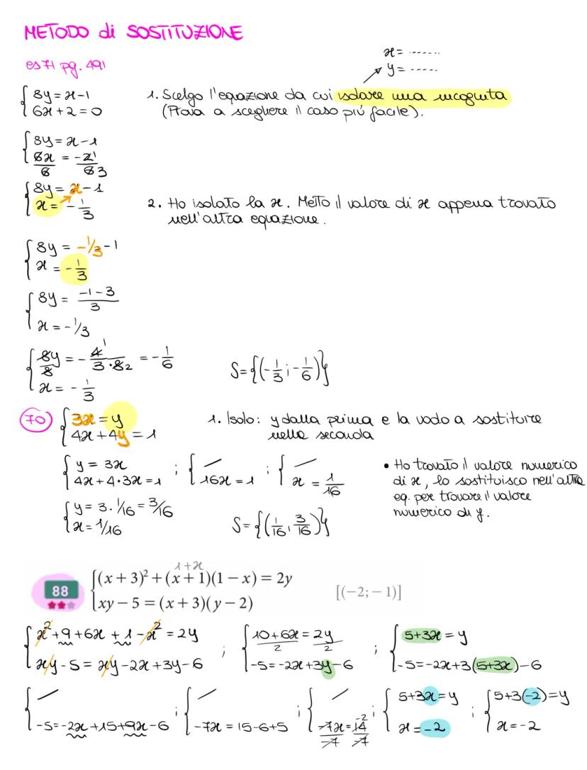
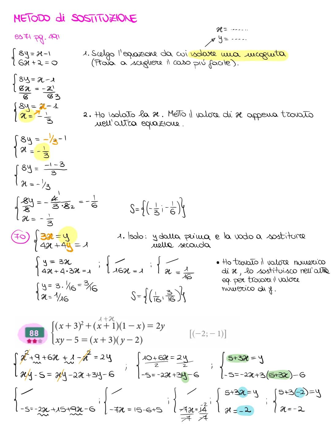
Il metodo di sostituzione è spesso il più semplice da capire. L'idea è geniale: isoli una incognita da un'equazione e la sostituisci nell'altra!
Partiamo da un esempio pratico. Nel sistema {8y = x - 1; 6x + 2 = 0}, dalla seconda equazione ricavi subito x = -1/4. Poi sostituisci questo valore nella prima equazione per trovare y.
La strategia vincente è scegliere l'equazione più facile da cui isolare un'incognita. Evita frazioni complicate quando puoi! Una volta trovata una incognita, sostituiscila nell'altra equazione per completare la soluzione.
Questo metodo funziona benissimo anche con problemi di geometria. Come nel rettangolo dove l'altezza è 3/20 del perimetro: traduci il problema in un sistema e risolvi passo dopo passo.
✨ Trucco: Cerca sempre l'incognita più facile da isolare - ti risparmierai calcoli complicati!

Accesso a tutti i documenti
Migliora i tuoi voti
Unisciti a milioni di studenti
Il metodo di riduzione è il più elegante: elimini un'incognita sommando le equazioni! È come far sparire una variabile con un trucco di magia matematica.
L'obiettivo è ottenere coefficienti opposti per una delle incognite. Nel sistema {x - y = 4; x + 3y = 8}, moltiplichi la prima per 3 per ottenere {3x - 3y = 12; x + 3y = 8}.
Quando sommi le equazioni, i termini in y si annullano: 4x = 20, quindi x = 5. Sostituendo in una delle equazioni originali trovi y = 1. La soluzione è (5, 1)!
A volte devi moltiplicare entrambe le equazioni per numeri diversi per creare coefficienti opposti. Non aver paura dei calcoli: con un po' di pratica diventa automatico.
⚡ Pro tip: Scrivi sempre il sistema in forma normale prima di iniziare - ti semplificherà la vita!

Accesso a tutti i documenti
Migliora i tuoi voti
Unisciti a milioni di studenti
Il metodo di Cramer usa i determinanti ed è perfetto quando vuoi una formula diretta. Sembra complicato ma è molto sistematico!
Per un sistema in forma normale {ax + by = c; dx + ey = f}, calcoli tre determinanti: D (dei coefficienti), Dx e Dy. Se D ≠ 0, allora x = Dx/D e y = Dy/D.
Il determinante principale D ti dice tutto: se D ≠ 0 hai una soluzione unica. Se D = 0 ma Dx = Dy = 0, hai infinite soluzioni. Se D = 0 ma Dx ≠ 0 o Dy ≠ 0, il sistema è impossibile.
Questo metodo è particolarmente utile quando hai sistemi con numeri "brutti" o quando devi analizzare più sistemi simili. Una volta imparata la formula, è velocissimo!
🎯 Attenzione: Ricordati sempre di mettere il sistema in forma normale prima di applicare Cramer!

Accesso a tutti i documenti
Migliora i tuoi voti
Unisciti a milioni di studenti
I problemi geometrici diventano facili quando li traduci in sistemi lineari! È come trasformare parole in numeri e lasciare che la matematica faccia il lavoro.
Nel problema del trapezio con area 32 cm² e altezza 4 cm, traduci le condizioni: l'area diventa ·4/2 = 32, che semplificata dà x + y = 16. La differenza delle basi AB - DC = 4 diventa x - y = 4.
Risolvi il sistema {x + y = 16; x - y = 4} con il metodo che preferisci. Sommando le equazioni ottieni 2x = 20, quindi x = 10. Sostituendo trovi y = 6.
Ricorda sempre di controllare le tue risposte nel contesto del problema. Le dimensioni devono essere positive e soddisfare tutte le condizioni geometriche!
📐 Strategia: Definisci chiaramente le incognite all'inizio e traduci ogni condizione del problema in un'equazione!

Accesso a tutti i documenti
Migliora i tuoi voti
Unisciti a milioni di studenti
Non farti spaventare dalle frazioni nei sistemi! Con qualche accorgimento diventano gestibili come tutti gli altri.
Nel sistema {x/3 + 4y = 5; -x + y/2 = -5/2}, la strategia migliore è eliminare subito le frazioni. Moltiplica ogni equazione per il denominatore comune: la prima per 3, la seconda per 2.
Ottieni {x + 12y = 15; -2x + y = -5}, che è molto più semplice da gestire! Ora puoi usare qualsiasi metodo di risoluzione senza preoccuparti delle frazioni.
Il metodo grafico funziona anche qui: isola y da entrambe le equazioni, costruisci la tabella dei valori e disegna le rette. Il punto di intersezione è la tua soluzione.
🔢 Consiglio d'oro: Elimina sempre le frazioni all'inizio - ti risparmierai errori di calcolo!

Accesso a tutti i documenti
Migliora i tuoi voti
Unisciti a milioni di studenti
I sistemi a tre incognite sembrano difficili, ma seguono la stessa logica! Hai solo bisogno di tre equazioni per trovare x, y e z.
Nel sistema {3x = y + 1; 4z = x + y; x + y + z = 9}, parti eliminando una variabile. Dalla prima equazione ricavi y in funzione di x, poi sostituisci nelle altre due equazioni.
La strategia è ridurre gradualmente: da tre incognite passi a due, poi a una. È come sbucciare una cipolla, strato dopo strato!
Un esempio pratico: due angoli supplementari con x + y = 180° e differenza x - y = 40°. Risolvi e trovi x = 110° e y = 70°.
🎯 Metodologia: Affronta i sistemi a tre incognite step by step - prima riduci, poi risolvi!

Accesso a tutti i documenti
Migliora i tuoi voti
Unisciti a milioni di studenti
Ora hai quattro metodi potenti per risolvere qualsiasi sistema lineare! Ognuno ha i suoi punti di forza e sapere quando usarli ti rende un vero esperto.
Il metodo di sostituzione è perfetto quando hai un'incognita facile da isolare. Il metodo di confronto funziona bene quando puoi isolare la stessa variabile da entrambe le equazioni.
Il metodo di riduzione è il più versatile e veloce per la maggior parte dei sistemi. Il metodo di Cramer è sistematico e utile per analisi teoriche.
La chiave del successo è praticare tutti i metodi e scegliere quello più adatto al sistema che hai davanti. Con l'esperienza svilupperai l'intuito per la scelta migliore!
🚀 Obiettivo finale: Padroneggia tutti i metodi e diventa un risolutore di sistemi inarrestabile!
Il nostro assistente AI è costruito specificamente per le esigenze degli studenti. Sulla base dei milioni di contenuti presenti sulla piattaforma, possiamo fornire agli studenti risposte davvero significative e pertinenti. Ma non si tratta solo di risposte, l'assistente è in grado di guidare gli studenti attraverso le loro sfide quotidiane di studio, con piani di studio personalizzati, quiz o contenuti nella chat e una personalizzazione al 100% basata sulle competenze e sugli sviluppi degli studenti.
È possibile scaricare l'applicazione dal Google Play Store e dall'Apple App Store.
Sì, hai accesso completamente gratuito a tutti i contenuti nell'app e puoi chattare o seguire i Creatori in qualsiasi momento. Sbloccherai nuove funzioni crescendo il tuo numero di follower. Inoltre, offriamo Knowunity Premium, che consente di studiare senza alcun limite!!
38
Strumenti Intelligenti NUOVO
Trasforma questi appunti in: ✓ 50+ Domande di Pratica ✓ Flashcard Interattive ✓ Simulazione d'esame completa ✓ Schemi per Saggi
Riassunti su frazioni algebriche, disequazioni, sistemi lineari e rispettivi metodi di risoluzione e radicali.
frazioni algebriche: definizione, condizioni di esistenza, semplificazione e denominatore comune, operazioni. Eq Fratte: procedimento. Eq Letterali: procedimento
equazioni
,,,,
Formulario delle figure/solidi più utili per il test d’ingresso di ingegneria (TOLC, TOL).
Geometria solida
App Store
Google Play
L'applicazione è molto facile da usare e ben progettata. Finora ho trovato tutto quello che cercavo e ho potuto imparare molto dalle presentazioni! Utilizzerò sicuramente l'app per i compiti in classe! È molto utile anche come fonte di ispirazione.
Stefano S
utente iOS
Questa applicazione è davvero grande! Ci sono tantissimi appunti e aiuti con lo studio [...]. La mia materia problematica, per esempio, è il francese e l'app ha così tante opzioni per aiutarmi. Grazie a questa app ho migliorato il mio francese. La consiglio a tutti.
Samantha Klich
utente Android
Wow, sono davvero stupita. Ho appena provato l'app perché l'ho vista pubblicizzata molte volte e sono rimasta assolutamente sbalordita. Questa app è L'AIUTO che cercate per la scuola e soprattutto offre tantissime cose, come allenamenti e schede, che a me personalmente sono state MOLTO utili.
Anna
utente iOS
È bellissima questa app, la adoro. È utilissima per lo studio e mi aiuta molto, anzi moltissimo, ma soprattutto mi aiutano molto i quiz, per memorizzare anche quello che non sapevo
Anastasia
utente Android
Fantastica per qualsiasi materia avere gli appunti anche di altre persone è molto utile perchè posso confrontarmi e vedere come migliorarmi. con i quiz riesco ad apprendere al meglio.
Francesca
utente Android
moooolto utile,gli appunti sono belli e funzionanti,schoolGPT da dei consigli formidabili!!
Marianna
utente Android
L'applicazione è semplicemente fantastica! Tutto ciò che devo fare è inserire l'argomento nella barra di ricerca e ottengo la risposta molto velocemente. Non devo guardare 10 video di YouTube per capire qualcosa, quindi risparmio tempo. Consigliatissima!
Sudenaz Ocak
utente Android
A scuola andavo malissimo in matematica, ma grazie a questa applicazione ora vado meglio. Vi sono molto grato per aver creato questa app.
Greenlight Bonnie
utente Android
Knowunity è un applicazione fantastica,considerando che ha degli schemi veramente molto carini e sfiziosi e che ci sono dei quiz,oltre al fatto che questa cosa dell intelligenza artificiale "school gpt" è almeno per me molto utile, perché a differenza di Chatgpt ti da le spiegazioni, ti spiega ciò che non è chiaro! Posso studiare più velocemente tramite gli schemi e che posso pubblicare io stessa gli schemi è una funzione utilissima per gli altri studenti. Knowunity è PERFETTA
Aurora
utente Android
L’app funziona benissimo e puoi trovare qualsiasi tipo di informazione. Non ho l’abbonamento ma la parte gratuita è sufficiente per uno studio approfondito.
Martina
utente iOS
I quiz E LE flashcard SONO COSÌ UTILI E ADORO Knowunity IA. È ANCHE LETTERALMENTE COME CHATGPT MA PIÙ INTELLIGENTE!! MI HA AIUTATO ANCHE COI MIEI PROBLEMI DI MASCARA!! E ANCHE CON LE MIE VERE MATERIE! OVVIO 😍😁😲🤑💗✨🎀😮
Chiara
utente IOS
Questa app è una delle migliori, nient’altro da dire.
Andrea
utente iOS
L'applicazione è molto facile da usare e ben progettata. Finora ho trovato tutto quello che cercavo e ho potuto imparare molto dalle presentazioni! Utilizzerò sicuramente l'app per i compiti in classe! È molto utile anche come fonte di ispirazione.
Stefano S
utente iOS
Questa applicazione è davvero grande! Ci sono tantissimi appunti e aiuti con lo studio [...]. La mia materia problematica, per esempio, è il francese e l'app ha così tante opzioni per aiutarmi. Grazie a questa app ho migliorato il mio francese. La consiglio a tutti.
Samantha Klich
utente Android
Wow, sono davvero stupita. Ho appena provato l'app perché l'ho vista pubblicizzata molte volte e sono rimasta assolutamente sbalordita. Questa app è L'AIUTO che cercate per la scuola e soprattutto offre tantissime cose, come allenamenti e schede, che a me personalmente sono state MOLTO utili.
Anna
utente iOS
È bellissima questa app, la adoro. È utilissima per lo studio e mi aiuta molto, anzi moltissimo, ma soprattutto mi aiutano molto i quiz, per memorizzare anche quello che non sapevo
Anastasia
utente Android
Fantastica per qualsiasi materia avere gli appunti anche di altre persone è molto utile perchè posso confrontarmi e vedere come migliorarmi. con i quiz riesco ad apprendere al meglio.
Francesca
utente Android
moooolto utile,gli appunti sono belli e funzionanti,schoolGPT da dei consigli formidabili!!
Marianna
utente Android
L'applicazione è semplicemente fantastica! Tutto ciò che devo fare è inserire l'argomento nella barra di ricerca e ottengo la risposta molto velocemente. Non devo guardare 10 video di YouTube per capire qualcosa, quindi risparmio tempo. Consigliatissima!
Sudenaz Ocak
utente Android
A scuola andavo malissimo in matematica, ma grazie a questa applicazione ora vado meglio. Vi sono molto grato per aver creato questa app.
Greenlight Bonnie
utente Android
Knowunity è un applicazione fantastica,considerando che ha degli schemi veramente molto carini e sfiziosi e che ci sono dei quiz,oltre al fatto che questa cosa dell intelligenza artificiale "school gpt" è almeno per me molto utile, perché a differenza di Chatgpt ti da le spiegazioni, ti spiega ciò che non è chiaro! Posso studiare più velocemente tramite gli schemi e che posso pubblicare io stessa gli schemi è una funzione utilissima per gli altri studenti. Knowunity è PERFETTA
Aurora
utente Android
L’app funziona benissimo e puoi trovare qualsiasi tipo di informazione. Non ho l’abbonamento ma la parte gratuita è sufficiente per uno studio approfondito.
Martina
utente iOS
I quiz E LE flashcard SONO COSÌ UTILI E ADORO Knowunity IA. È ANCHE LETTERALMENTE COME CHATGPT MA PIÙ INTELLIGENTE!! MI HA AIUTATO ANCHE COI MIEI PROBLEMI DI MASCARA!! E ANCHE CON LE MIE VERE MATERIE! OVVIO 😍😁😲🤑💗✨🎀😮
Chiara
utente IOS
Questa app è una delle migliori, nient’altro da dire.
Andrea
utente iOS