L'analisi matematica può sembrare complicata, ma in realtà studia concetti... Mostra di più
Iscriviti per mostrare il contenutoÈ gratis!
Accesso a tutti i documenti
Migliora i tuoi voti
Unisciti a milioni di studenti
Knowunity AI
Materie
Triangle Congruence and Similarity Theorems
Triangle Properties and Classification
Linear Equations and Graphs
Geometric Angle Relationships
Trigonometric Functions and Identities
Equation Solving Techniques
Circle Geometry Fundamentals
Division Operations and Methods
Basic Differentiation Rules
Exponent and Logarithm Properties
Mostra tutti gli argomenti
Human Organ Systems
Reproductive Cell Cycles
Biological Sciences Subdisciplines
Cellular Energy Metabolism
Autotrophic Energy Processes
Inheritance Patterns and Principles
Biomolecular Structure and Organization
Cell Cycle and Division Mechanics
Cellular Organization and Development
Biological Structural Organization
Mostra tutti gli argomenti
Chemical Sciences and Applications
Atomic Structure and Composition
Molecular Electron Structure Representation
Atomic Electron Behavior
Matter Properties and Water
Mole Concept and Calculations
Gas Laws and Behavior
Periodic Table Organization
Chemical Thermodynamics Fundamentals
Chemical Bond Types and Properties
Mostra tutti gli argomenti
European Renaissance and Enlightenment
European Cultural Movements 800-1920
American Revolution Era 1763-1797
American Civil War 1861-1865
Global Imperial Systems
Mongol and Chinese Dynasties
U.S. Presidents and World Leaders
Historical Sources and Documentation
World Wars Era and Impact
World Religious Systems
Mostra tutti gli argomenti
Classic and Contemporary Novels
Literary Character Analysis
Rhetorical Theory and Practice
Classic Literary Narratives
Reading Analysis and Interpretation
Narrative Structure and Techniques
English Language Components
Influential English-Language Authors
Basic Sentence Structure
Narrative Voice and Perspective
Mostra tutti gli argomenti
3,532
•
Aggiornato Mar 31, 2026
•
L'analisi matematica può sembrare complicata, ma in realtà studia concetti... Mostra di più











Le funzioni crescenti sono quelle che salgono sempre: se prendi due punti qualsiasi e vai da sinistra a destra, il secondo punto sarà sempre più alto del primo. Pensa all'esponenziale con base maggiore di 1, come 2^x.
Le funzioni decrescenti fanno l'opposto: scendono sempre. Un esempio classico è 1/x per x positivi.
Le funzioni pari sono simmetriche rispetto all'asse y (come x²), mentre quelle dispari sono simmetriche rispetto all'origine (come x³). Per riconoscerle: se f = f(x) è pari, se f = -f(x) è dispari.
Gli intervalli sono semplicemente "pezzetti" della retta reale. Puoi averli chiusi [a,b] (includi gli estremi) o aperti ]a,b[ (escludi gli estremi). È come dire "da qui a lì, compresi i punti di partenza e arrivo" oppure "da qui a lì, ma senza toccare gli estremi".
💡 Ricorda: Le parentesi quadre [ ] includono il punto, quelle tonde ( ) lo escludono!

Un intorno di un punto è semplicemente un "quartiere" attorno a quel punto. Immagina di stare in piazza e considerare tutte le strade nel raggio di 100 metri: quello è il tuo intorno!
L'intorno circolare è più specifico: prendi un punto x₀ e vai a distanza δ sia a destra che a sinistra. Matematicamente è l'intervallo ]x₀-δ, x₀+δ[.
Puoi anche avere intorni destri (solo a destra del punto) o sinistri (solo a sinistra). È utile quando studi funzioni che si comportano diversamente dai due lati.
I punti di accumulazione sono quelli "circondati" da infiniti punti dell'insieme. Se hai l'intervallo [2,9], ogni punto interno è di accumulazione perché in qualsiasi suo intorno trovi sempre infiniti altri punti dell'intervallo. Anche gli estremi 2 e 9 lo sono!
💡 Trucco: Un punto isolato (come il 10 nell'esempio) non può essere di accumulazione perché puoi sempre trovare un intorno che non contiene altri punti dell'insieme.

Quando una funzione ha limite per eccesso, si avvicina al valore limite sempre "da sopra", mentre per difetto sempre "da sotto". È come avvicinarsi a un numero rimanendo sempre più grandi o più piccoli di esso.
Il primo limite notevole è fondamentale: lim(x→0) (sin x)/x = 1. Questo limite è cruciale per tantissimi calcoli in trigonometria!
La dimostrazione usa un trucco geometrico geniale. In un cerchio unitario, il seno è più piccolo dell'arco, che a sua volta è più piccolo della tangente: sin x < x < tan x. Dividendo tutto per sin x e manipolando le disequazioni, ottieni cos x < (sin x)/x < 1.
Quando x tende a 0, cos x tende a 1, quindi per il teorema del confronto (o "dei due carabinieri"), anche (sin x)/x deve tendere a 1. È come essere schiacciati tra due persone che vanno nella stessa direzione: devi seguirle!
💡 Importante: Questo limite funziona solo con gli angoli in radianti, non in gradi!

Il secondo limite notevole è lim(x→∞) ^x = e ≈ 2.718. Questo numero speciale spunta ovunque in natura: crescita demografica, interesse composto, decadimento radioattivo.
Da questo limite derivano altre formule utili: lim(x→0) ln/x = 1 e lim(x→0) /x = 1. Sono strumenti potentissimi per risolvere forme indeterminate 0/0.
Un infinitesimo è una funzione che tende a zero. Sembra banale, ma è fondamentale! Quando studi f(x) = x-2 per x che tende a 2, stai guardando un infinitesimo.
Il limite lim(x→0) /x = k è generalissimo e vale per qualsiasi k reale. È la "formula madre" che racchiude molti altri limiti come casi particolari.
💡 Pro tip: Memorizza questi limiti notevoli! Ti faranno risparmiare ore di calcoli durante verifiche ed esami.

Un infinito è l'opposto dell'infinitesimo: una funzione che tende a ±∞. La funzione 1/x per x→0 è un classico esempio.
Quando hai due infinitesimi (o due infiniti), puoi confrontarli calcolando il limite del loro rapporto. Se ottieni un numero l ≠ 0, hanno lo stesso ordine. Se ottieni 0, il numeratore è di ordine superiore (va a zero più velocemente). Se ottieni ∞, il denominatore è di ordine superiore.
Esiste una gerarchia degli infiniti quando x→∞: i logaritmi crescono più lentamente delle potenze, che a loro volta crescono più lentamente degli esponenziali. È come una gara di velocità: (log x)^h << x^h << a^x.
Questa gerarchia è fondamentale per determinare il comportamento delle funzioni per valori molto grandi. Ti dice quale termine "domina" negli sviluppi asintotici.
💡 Visualizza: Immagina una gara tra una bicicletta (logaritmo), un'auto (potenza) e un razzo (esponenziale). All'inizio sono vicini, ma alla lunga il razzo stacca tutti!

Una funzione è continua in un punto se non fa "salti": il limite coincide con il valore della funzione. Graficamente, puoi disegnarla senza staccare la penna dal foglio.
Per essere continua in x₀, una funzione deve soddisfare tre condizioni: deve esistere f(x₀), deve esistere il limite per x→x₀, e questi due valori devono essere uguali.
Il teorema di Weierstrass garantisce che ogni funzione continua su un intervallo chiuso [a,b] ha massimo e minimo assoluti. È rassicurante: non devi preoccuparti che la funzione "scappi" all'infinito!
Il teorema degli zeri è utilissimo: se una funzione continua cambia segno agli estremi di un intervallo, da qualche parte deve attraversare l'asse x. È il principio dietro molti metodi numerici per trovare le radici.
💡 Applicazione pratica: Il teorema degli zeri spiega perché esiste sempre una temperatura a cui celsius e fahrenheit coincidono (-40°)!

Non tutte le funzioni sono continue! I punti di discontinuità sono i "difetti" dove la funzione fa dei salti o diventa infinita.
La discontinuità di prima specie (o "salto") succede quando esistono entrambi i limiti destro e sinistro, ma sono diversi. La funzione "salta" da un valore all'altro, come nelle funzioni definite a tratti.
La discontinuità di seconda specie è più drammatica: almeno uno dei limiti laterali è infinito o non esiste proprio. È il caso di 1/x in x=0.
La discontinuità di terza specie (o "eliminabile") è la più gentile: esiste il limite, ma la funzione non è definita nel punto o ha un valore diverso dal limite. Si "ripara" facilmente ridefinendo la funzione in quel punto.
💡 Esempio quotidiano: Il prezzo dei biglietti del treno ha discontinuità di prima specie: sotto i 12 anni paghi tariffa bambini, sopra paghi quella adulti. C'è un "salto" netto a 12 anni!

Gli asintoti sono rette che la funzione "insegue" senza mai raggiungerle. Sono come guide invisibili che descrivono il comportamento della funzione.
L'asintoto verticale x = x₀ compare quando la funzione va all'infinito avvicinandosi a x₀. Pensa a f(x) = 1/: vicino a x=2 la funzione "esplode" verso ±∞.
L'asintoto orizzontale y = l appare quando la funzione tende a un valore costante per x→±∞. È il comportamento "a lungo termine" della funzione.
L'asintoto obliquo y = mx + q è più sofisticato: per trovarlo calcoli m = lim(x→∞) f(x)/x e poi q = lim(x→∞) . La funzione si avvicina a questa retta inclinata.
Una funzione non può avere contemporaneamente asintoti orizzontali e obliqui dalla stessa parte!
💡 Ricorda: Gli asintoti orizzontali e obliqui si escludono a vicenda. Se c'è uno, non può esserci l'altro dalla stessa parte!

La derivata nasce da un problema geometrico: come trovare la retta tangente a una curva in un punto? La soluzione è geniale: prendi secanti che si avvicinano sempre di più al punto e vedi dove "punta" il loro limite.
Il rapporto incrementale /h rappresenta la pendenza della retta secante tra due punti. Quando h→0, questa secante diventa la tangente.
La derivata prima f'(c) è proprio il limite di questo rapporto incrementale. Geometricamente è la pendenza della tangente, fisicamente rappresenta la velocità istantanea di variazione.
Una funzione è derivabile in un punto se esistono e coincidono le derivate destra e sinistra. È più restrittivo della continuità: ogni funzione derivabile è continua, ma non viceversa!
💡 Intuizione fisica: Se stai guidando e la tua posizione è s(t), la derivata s'(t) è la tua velocità istantanea. La derivata seconda s''(t) è l'accelerazione!

Calcolare le derivate con la definizione è teoricamente corretto ma praticamente lungo. Per fortuna esistono regole di derivazione che rendono tutto più veloce!
La derivata di una costante è sempre zero: D(k) = 0. Ha senso: una retta orizzontale non ha pendenza!
La derivata della funzione identità f(x) = x è 1: D(x) = 1. Anche questo è intuitivo: la retta y = x ha pendenza costante 1.
La regola delle potenze è fondamentale: D = a·x^. Dalla dimostrazione vedi come si usa il limite notevole /t → a per t→0.
Queste regole di base si combinano per derivare funzioni più complesse usando regole del prodotto, quoziente e composizione.
💡 Trucco: La regola delle potenze funziona anche per esponenti negativi e frazionari. D = D = -1·x^(-2) = -1/x²!
Il nostro assistente AI è costruito specificamente per le esigenze degli studenti. Sulla base dei milioni di contenuti presenti sulla piattaforma, possiamo fornire agli studenti risposte davvero significative e pertinenti. Ma non si tratta solo di risposte, l'assistente è in grado di guidare gli studenti attraverso le loro sfide quotidiane di studio, con piani di studio personalizzati, quiz o contenuti nella chat e una personalizzazione al 100% basata sulle competenze e sugli sviluppi degli studenti.
È possibile scaricare l'applicazione dal Google Play Store e dall'Apple App Store.
Sì, hai accesso completamente gratuito a tutti i contenuti nell'app e puoi chattare o seguire i Creatori in qualsiasi momento. Sbloccherai nuove funzioni crescendo il tuo numero di follower. Inoltre, offriamo Knowunity Premium, che consente di studiare senza alcun limite!!
LE PARABOLE: concavità, vertice, intersezione con asse x e y, altri punti, fuoco, direttrice. EQUAZIONE DELLA PARABOLA DANTI 3 PUNTI, RETTE E PARABOLE: rette secanti, tangenti ed esterne.
Appunti di goniometria e trigonometria
App Store
Google Play
L'applicazione è molto facile da usare e ben progettata. Finora ho trovato tutto quello che cercavo e ho potuto imparare molto dalle presentazioni! Utilizzerò sicuramente l'app per i compiti in classe! È molto utile anche come fonte di ispirazione.
Stefano S
utente iOS
Questa applicazione è davvero grande! Ci sono tantissimi appunti e aiuti con lo studio [...]. La mia materia problematica, per esempio, è il francese e l'app ha così tante opzioni per aiutarmi. Grazie a questa app ho migliorato il mio francese. La consiglio a tutti.
Samantha Klich
utente Android
Wow, sono davvero stupita. Ho appena provato l'app perché l'ho vista pubblicizzata molte volte e sono rimasta assolutamente sbalordita. Questa app è L'AIUTO che cercate per la scuola e soprattutto offre tantissime cose, come allenamenti e schede, che a me personalmente sono state MOLTO utili.
Anna
utente iOS
È bellissima questa app, la adoro. È utilissima per lo studio e mi aiuta molto, anzi moltissimo, ma soprattutto mi aiutano molto i quiz, per memorizzare anche quello che non sapevo
Anastasia
utente Android
Fantastica per qualsiasi materia avere gli appunti anche di altre persone è molto utile perchè posso confrontarmi e vedere come migliorarmi. con i quiz riesco ad apprendere al meglio.
Francesca
utente Android
moooolto utile,gli appunti sono belli e funzionanti,schoolGPT da dei consigli formidabili!!
Marianna
utente Android
L'applicazione è semplicemente fantastica! Tutto ciò che devo fare è inserire l'argomento nella barra di ricerca e ottengo la risposta molto velocemente. Non devo guardare 10 video di YouTube per capire qualcosa, quindi risparmio tempo. Consigliatissima!
Sudenaz Ocak
utente Android
A scuola andavo malissimo in matematica, ma grazie a questa applicazione ora vado meglio. Vi sono molto grato per aver creato questa app.
Greenlight Bonnie
utente Android
Knowunity è un applicazione fantastica,considerando che ha degli schemi veramente molto carini e sfiziosi e che ci sono dei quiz,oltre al fatto che questa cosa dell intelligenza artificiale "school gpt" è almeno per me molto utile, perché a differenza di Chatgpt ti da le spiegazioni, ti spiega ciò che non è chiaro! Posso studiare più velocemente tramite gli schemi e che posso pubblicare io stessa gli schemi è una funzione utilissima per gli altri studenti. Knowunity è PERFETTA
Aurora
utente Android
L’app funziona benissimo e puoi trovare qualsiasi tipo di informazione. Non ho l’abbonamento ma la parte gratuita è sufficiente per uno studio approfondito.
Martina
utente iOS
I quiz E LE flashcard SONO COSÌ UTILI E ADORO Knowunity IA. È ANCHE LETTERALMENTE COME CHATGPT MA PIÙ INTELLIGENTE!! MI HA AIUTATO ANCHE COI MIEI PROBLEMI DI MASCARA!! E ANCHE CON LE MIE VERE MATERIE! OVVIO 😍😁😲🤑💗✨🎀😮
Chiara
utente IOS
Questa app è una delle migliori, nient’altro da dire.
Andrea
utente iOS
L'applicazione è molto facile da usare e ben progettata. Finora ho trovato tutto quello che cercavo e ho potuto imparare molto dalle presentazioni! Utilizzerò sicuramente l'app per i compiti in classe! È molto utile anche come fonte di ispirazione.
Stefano S
utente iOS
Questa applicazione è davvero grande! Ci sono tantissimi appunti e aiuti con lo studio [...]. La mia materia problematica, per esempio, è il francese e l'app ha così tante opzioni per aiutarmi. Grazie a questa app ho migliorato il mio francese. La consiglio a tutti.
Samantha Klich
utente Android
Wow, sono davvero stupita. Ho appena provato l'app perché l'ho vista pubblicizzata molte volte e sono rimasta assolutamente sbalordita. Questa app è L'AIUTO che cercate per la scuola e soprattutto offre tantissime cose, come allenamenti e schede, che a me personalmente sono state MOLTO utili.
Anna
utente iOS
È bellissima questa app, la adoro. È utilissima per lo studio e mi aiuta molto, anzi moltissimo, ma soprattutto mi aiutano molto i quiz, per memorizzare anche quello che non sapevo
Anastasia
utente Android
Fantastica per qualsiasi materia avere gli appunti anche di altre persone è molto utile perchè posso confrontarmi e vedere come migliorarmi. con i quiz riesco ad apprendere al meglio.
Francesca
utente Android
moooolto utile,gli appunti sono belli e funzionanti,schoolGPT da dei consigli formidabili!!
Marianna
utente Android
L'applicazione è semplicemente fantastica! Tutto ciò che devo fare è inserire l'argomento nella barra di ricerca e ottengo la risposta molto velocemente. Non devo guardare 10 video di YouTube per capire qualcosa, quindi risparmio tempo. Consigliatissima!
Sudenaz Ocak
utente Android
A scuola andavo malissimo in matematica, ma grazie a questa applicazione ora vado meglio. Vi sono molto grato per aver creato questa app.
Greenlight Bonnie
utente Android
Knowunity è un applicazione fantastica,considerando che ha degli schemi veramente molto carini e sfiziosi e che ci sono dei quiz,oltre al fatto che questa cosa dell intelligenza artificiale "school gpt" è almeno per me molto utile, perché a differenza di Chatgpt ti da le spiegazioni, ti spiega ciò che non è chiaro! Posso studiare più velocemente tramite gli schemi e che posso pubblicare io stessa gli schemi è una funzione utilissima per gli altri studenti. Knowunity è PERFETTA
Aurora
utente Android
L’app funziona benissimo e puoi trovare qualsiasi tipo di informazione. Non ho l’abbonamento ma la parte gratuita è sufficiente per uno studio approfondito.
Martina
utente iOS
I quiz E LE flashcard SONO COSÌ UTILI E ADORO Knowunity IA. È ANCHE LETTERALMENTE COME CHATGPT MA PIÙ INTELLIGENTE!! MI HA AIUTATO ANCHE COI MIEI PROBLEMI DI MASCARA!! E ANCHE CON LE MIE VERE MATERIE! OVVIO 😍😁😲🤑💗✨🎀😮
Chiara
utente IOS
Questa app è una delle migliori, nient’altro da dire.
Andrea
utente iOS
L'analisi matematica può sembrare complicata, ma in realtà studia concetti che usi già nella vita quotidiana! Quando guardi un grafico che sale o scende, stai osservando funzioni crescenti e decrescenti. Quando calcoli la velocità istantanea della tua auto, stai usando... Mostra di più

Accesso a tutti i documenti
Migliora i tuoi voti
Unisciti a milioni di studenti
Le funzioni crescenti sono quelle che salgono sempre: se prendi due punti qualsiasi e vai da sinistra a destra, il secondo punto sarà sempre più alto del primo. Pensa all'esponenziale con base maggiore di 1, come 2^x.
Le funzioni decrescenti fanno l'opposto: scendono sempre. Un esempio classico è 1/x per x positivi.
Le funzioni pari sono simmetriche rispetto all'asse y (come x²), mentre quelle dispari sono simmetriche rispetto all'origine (come x³). Per riconoscerle: se f = f(x) è pari, se f = -f(x) è dispari.
Gli intervalli sono semplicemente "pezzetti" della retta reale. Puoi averli chiusi [a,b] (includi gli estremi) o aperti ]a,b[ (escludi gli estremi). È come dire "da qui a lì, compresi i punti di partenza e arrivo" oppure "da qui a lì, ma senza toccare gli estremi".
💡 Ricorda: Le parentesi quadre [ ] includono il punto, quelle tonde ( ) lo escludono!

Accesso a tutti i documenti
Migliora i tuoi voti
Unisciti a milioni di studenti
Un intorno di un punto è semplicemente un "quartiere" attorno a quel punto. Immagina di stare in piazza e considerare tutte le strade nel raggio di 100 metri: quello è il tuo intorno!
L'intorno circolare è più specifico: prendi un punto x₀ e vai a distanza δ sia a destra che a sinistra. Matematicamente è l'intervallo ]x₀-δ, x₀+δ[.
Puoi anche avere intorni destri (solo a destra del punto) o sinistri (solo a sinistra). È utile quando studi funzioni che si comportano diversamente dai due lati.
I punti di accumulazione sono quelli "circondati" da infiniti punti dell'insieme. Se hai l'intervallo [2,9], ogni punto interno è di accumulazione perché in qualsiasi suo intorno trovi sempre infiniti altri punti dell'intervallo. Anche gli estremi 2 e 9 lo sono!
💡 Trucco: Un punto isolato (come il 10 nell'esempio) non può essere di accumulazione perché puoi sempre trovare un intorno che non contiene altri punti dell'insieme.

Accesso a tutti i documenti
Migliora i tuoi voti
Unisciti a milioni di studenti
Quando una funzione ha limite per eccesso, si avvicina al valore limite sempre "da sopra", mentre per difetto sempre "da sotto". È come avvicinarsi a un numero rimanendo sempre più grandi o più piccoli di esso.
Il primo limite notevole è fondamentale: lim(x→0) (sin x)/x = 1. Questo limite è cruciale per tantissimi calcoli in trigonometria!
La dimostrazione usa un trucco geometrico geniale. In un cerchio unitario, il seno è più piccolo dell'arco, che a sua volta è più piccolo della tangente: sin x < x < tan x. Dividendo tutto per sin x e manipolando le disequazioni, ottieni cos x < (sin x)/x < 1.
Quando x tende a 0, cos x tende a 1, quindi per il teorema del confronto (o "dei due carabinieri"), anche (sin x)/x deve tendere a 1. È come essere schiacciati tra due persone che vanno nella stessa direzione: devi seguirle!
💡 Importante: Questo limite funziona solo con gli angoli in radianti, non in gradi!

Accesso a tutti i documenti
Migliora i tuoi voti
Unisciti a milioni di studenti
Il secondo limite notevole è lim(x→∞) ^x = e ≈ 2.718. Questo numero speciale spunta ovunque in natura: crescita demografica, interesse composto, decadimento radioattivo.
Da questo limite derivano altre formule utili: lim(x→0) ln/x = 1 e lim(x→0) /x = 1. Sono strumenti potentissimi per risolvere forme indeterminate 0/0.
Un infinitesimo è una funzione che tende a zero. Sembra banale, ma è fondamentale! Quando studi f(x) = x-2 per x che tende a 2, stai guardando un infinitesimo.
Il limite lim(x→0) /x = k è generalissimo e vale per qualsiasi k reale. È la "formula madre" che racchiude molti altri limiti come casi particolari.
💡 Pro tip: Memorizza questi limiti notevoli! Ti faranno risparmiare ore di calcoli durante verifiche ed esami.

Accesso a tutti i documenti
Migliora i tuoi voti
Unisciti a milioni di studenti
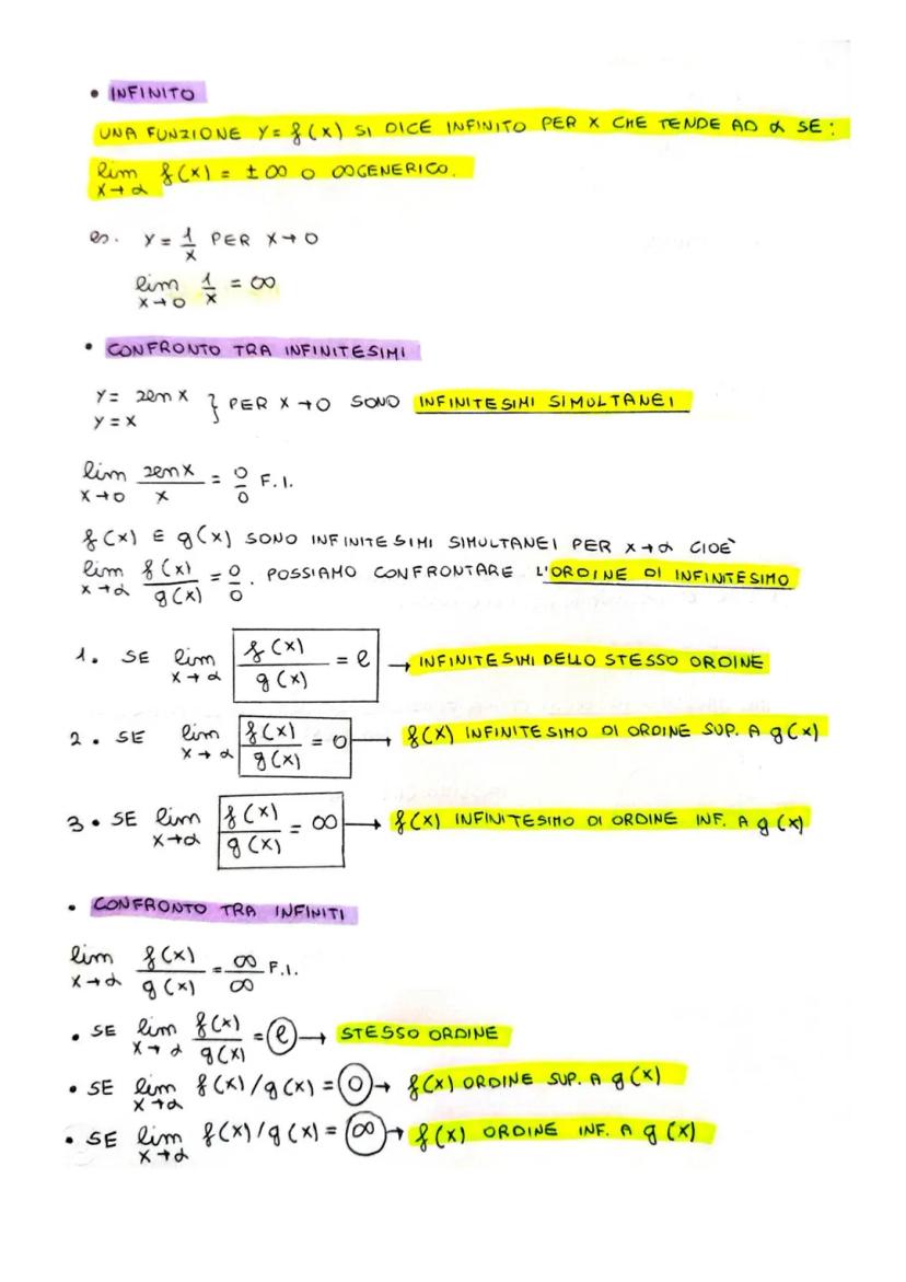
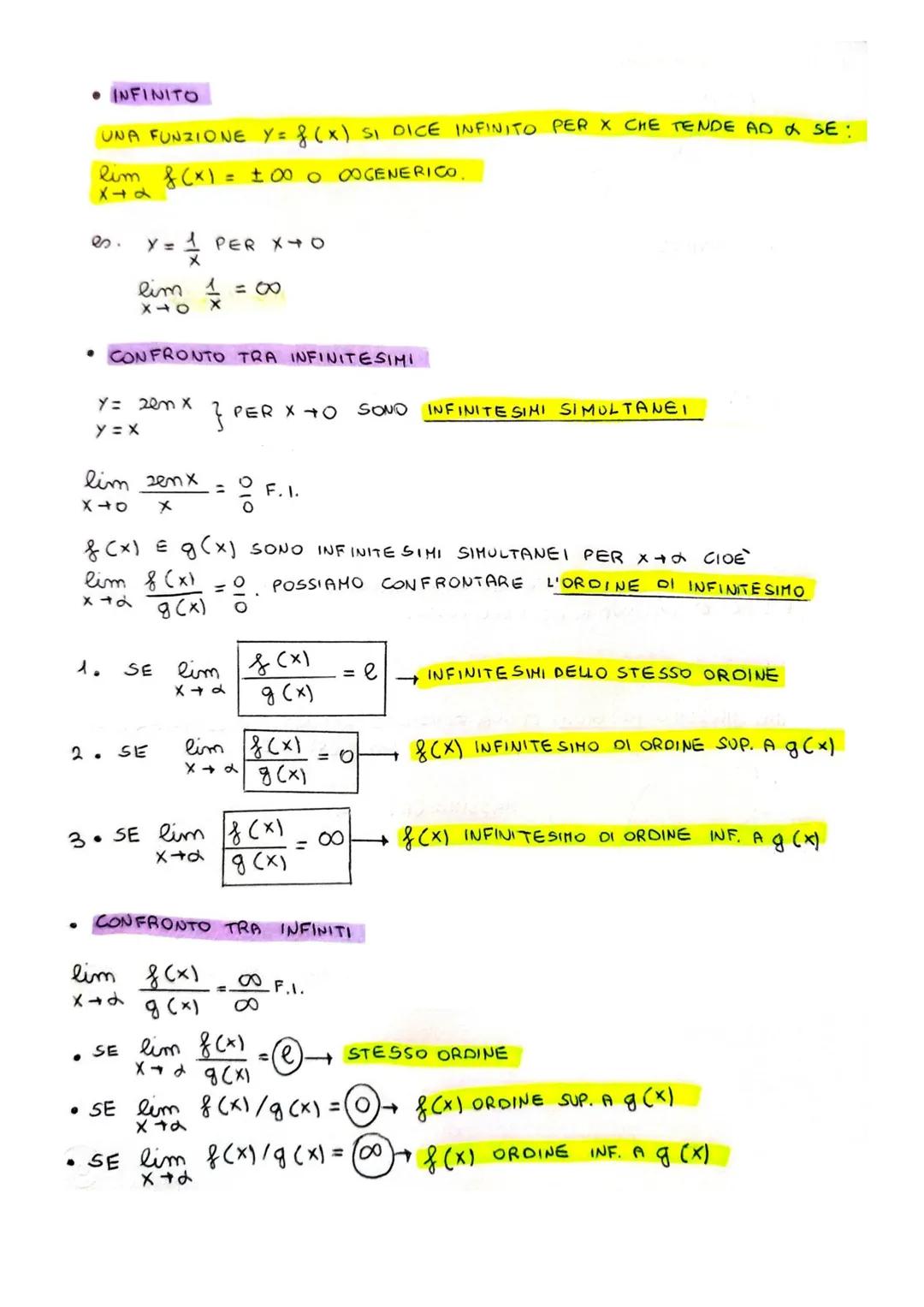
Un infinito è l'opposto dell'infinitesimo: una funzione che tende a ±∞. La funzione 1/x per x→0 è un classico esempio.
Quando hai due infinitesimi (o due infiniti), puoi confrontarli calcolando il limite del loro rapporto. Se ottieni un numero l ≠ 0, hanno lo stesso ordine. Se ottieni 0, il numeratore è di ordine superiore (va a zero più velocemente). Se ottieni ∞, il denominatore è di ordine superiore.
Esiste una gerarchia degli infiniti quando x→∞: i logaritmi crescono più lentamente delle potenze, che a loro volta crescono più lentamente degli esponenziali. È come una gara di velocità: (log x)^h << x^h << a^x.
Questa gerarchia è fondamentale per determinare il comportamento delle funzioni per valori molto grandi. Ti dice quale termine "domina" negli sviluppi asintotici.
💡 Visualizza: Immagina una gara tra una bicicletta (logaritmo), un'auto (potenza) e un razzo (esponenziale). All'inizio sono vicini, ma alla lunga il razzo stacca tutti!

Accesso a tutti i documenti
Migliora i tuoi voti
Unisciti a milioni di studenti
Una funzione è continua in un punto se non fa "salti": il limite coincide con il valore della funzione. Graficamente, puoi disegnarla senza staccare la penna dal foglio.
Per essere continua in x₀, una funzione deve soddisfare tre condizioni: deve esistere f(x₀), deve esistere il limite per x→x₀, e questi due valori devono essere uguali.
Il teorema di Weierstrass garantisce che ogni funzione continua su un intervallo chiuso [a,b] ha massimo e minimo assoluti. È rassicurante: non devi preoccuparti che la funzione "scappi" all'infinito!
Il teorema degli zeri è utilissimo: se una funzione continua cambia segno agli estremi di un intervallo, da qualche parte deve attraversare l'asse x. È il principio dietro molti metodi numerici per trovare le radici.
💡 Applicazione pratica: Il teorema degli zeri spiega perché esiste sempre una temperatura a cui celsius e fahrenheit coincidono (-40°)!

Accesso a tutti i documenti
Migliora i tuoi voti
Unisciti a milioni di studenti
Non tutte le funzioni sono continue! I punti di discontinuità sono i "difetti" dove la funzione fa dei salti o diventa infinita.
La discontinuità di prima specie (o "salto") succede quando esistono entrambi i limiti destro e sinistro, ma sono diversi. La funzione "salta" da un valore all'altro, come nelle funzioni definite a tratti.
La discontinuità di seconda specie è più drammatica: almeno uno dei limiti laterali è infinito o non esiste proprio. È il caso di 1/x in x=0.
La discontinuità di terza specie (o "eliminabile") è la più gentile: esiste il limite, ma la funzione non è definita nel punto o ha un valore diverso dal limite. Si "ripara" facilmente ridefinendo la funzione in quel punto.
💡 Esempio quotidiano: Il prezzo dei biglietti del treno ha discontinuità di prima specie: sotto i 12 anni paghi tariffa bambini, sopra paghi quella adulti. C'è un "salto" netto a 12 anni!

Accesso a tutti i documenti
Migliora i tuoi voti
Unisciti a milioni di studenti
Gli asintoti sono rette che la funzione "insegue" senza mai raggiungerle. Sono come guide invisibili che descrivono il comportamento della funzione.
L'asintoto verticale x = x₀ compare quando la funzione va all'infinito avvicinandosi a x₀. Pensa a f(x) = 1/: vicino a x=2 la funzione "esplode" verso ±∞.
L'asintoto orizzontale y = l appare quando la funzione tende a un valore costante per x→±∞. È il comportamento "a lungo termine" della funzione.
L'asintoto obliquo y = mx + q è più sofisticato: per trovarlo calcoli m = lim(x→∞) f(x)/x e poi q = lim(x→∞) . La funzione si avvicina a questa retta inclinata.
Una funzione non può avere contemporaneamente asintoti orizzontali e obliqui dalla stessa parte!
💡 Ricorda: Gli asintoti orizzontali e obliqui si escludono a vicenda. Se c'è uno, non può esserci l'altro dalla stessa parte!

Accesso a tutti i documenti
Migliora i tuoi voti
Unisciti a milioni di studenti
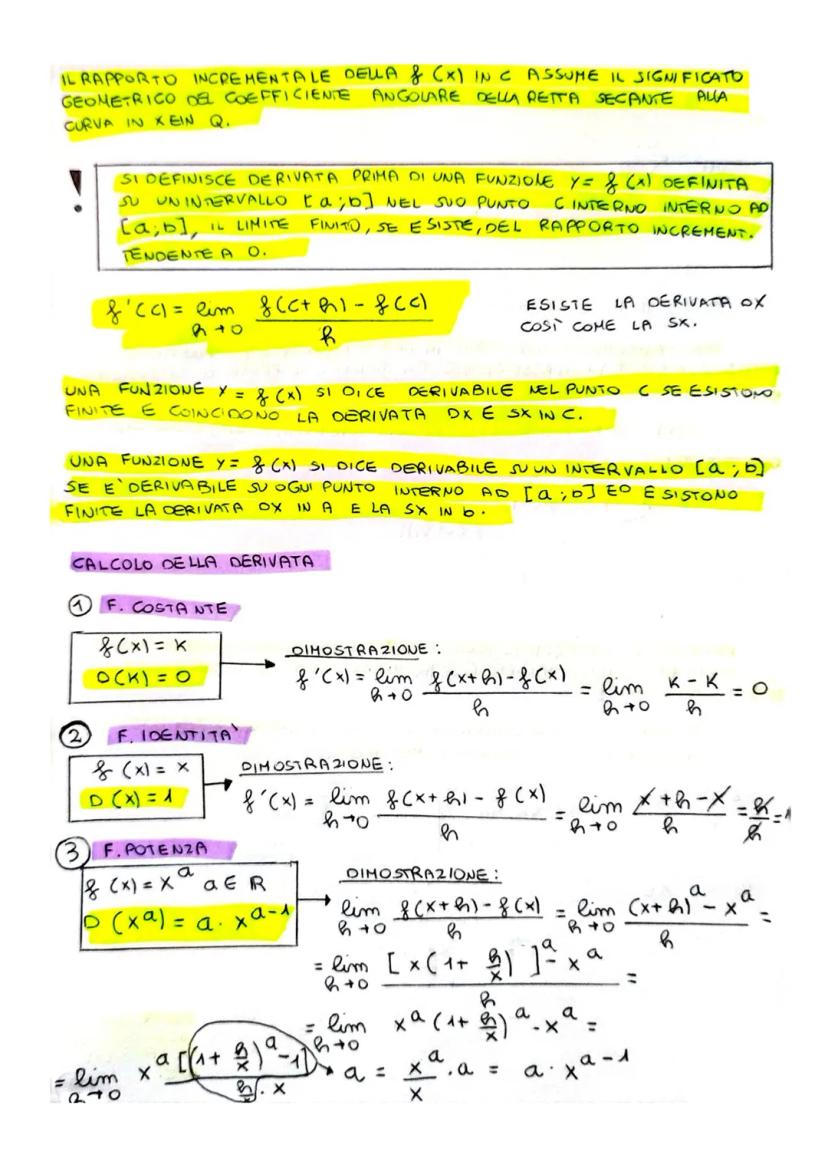
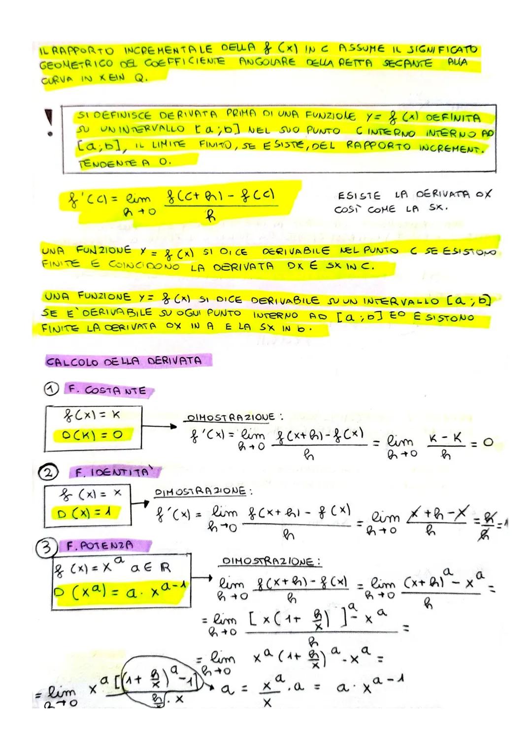
La derivata nasce da un problema geometrico: come trovare la retta tangente a una curva in un punto? La soluzione è geniale: prendi secanti che si avvicinano sempre di più al punto e vedi dove "punta" il loro limite.
Il rapporto incrementale /h rappresenta la pendenza della retta secante tra due punti. Quando h→0, questa secante diventa la tangente.
La derivata prima f'(c) è proprio il limite di questo rapporto incrementale. Geometricamente è la pendenza della tangente, fisicamente rappresenta la velocità istantanea di variazione.
Una funzione è derivabile in un punto se esistono e coincidono le derivate destra e sinistra. È più restrittivo della continuità: ogni funzione derivabile è continua, ma non viceversa!
💡 Intuizione fisica: Se stai guidando e la tua posizione è s(t), la derivata s'(t) è la tua velocità istantanea. La derivata seconda s''(t) è l'accelerazione!

Accesso a tutti i documenti
Migliora i tuoi voti
Unisciti a milioni di studenti
Calcolare le derivate con la definizione è teoricamente corretto ma praticamente lungo. Per fortuna esistono regole di derivazione che rendono tutto più veloce!
La derivata di una costante è sempre zero: D(k) = 0. Ha senso: una retta orizzontale non ha pendenza!
La derivata della funzione identità f(x) = x è 1: D(x) = 1. Anche questo è intuitivo: la retta y = x ha pendenza costante 1.
La regola delle potenze è fondamentale: D = a·x^. Dalla dimostrazione vedi come si usa il limite notevole /t → a per t→0.
Queste regole di base si combinano per derivare funzioni più complesse usando regole del prodotto, quoziente e composizione.
💡 Trucco: La regola delle potenze funziona anche per esponenti negativi e frazionari. D = D = -1·x^(-2) = -1/x²!
Il nostro assistente AI è costruito specificamente per le esigenze degli studenti. Sulla base dei milioni di contenuti presenti sulla piattaforma, possiamo fornire agli studenti risposte davvero significative e pertinenti. Ma non si tratta solo di risposte, l'assistente è in grado di guidare gli studenti attraverso le loro sfide quotidiane di studio, con piani di studio personalizzati, quiz o contenuti nella chat e una personalizzazione al 100% basata sulle competenze e sugli sviluppi degli studenti.
È possibile scaricare l'applicazione dal Google Play Store e dall'Apple App Store.
Sì, hai accesso completamente gratuito a tutti i contenuti nell'app e puoi chattare o seguire i Creatori in qualsiasi momento. Sbloccherai nuove funzioni crescendo il tuo numero di follower. Inoltre, offriamo Knowunity Premium, che consente di studiare senza alcun limite!!
81
Strumenti Intelligenti NUOVO
Trasforma questi appunti in: ✓ 50+ Domande di Pratica ✓ Flashcard Interattive ✓ Simulazione d'esame completa ✓ Schemi per Saggi
appunti per esame universitario di matematica 1
teoremi, significato di limite, limiti notevoli, infiniti e infinitesimi, punti di discontinuità, asintoti, punti per fare il grafico di una funzione
Introduzione all’analisi e allo studio di funzioni, conoscenze base e caratteristiche di grafici e funzioni.
cosa sono e come si classificano
Definizione di funzione e funzione numerica, Dominio(condizioni di esistenza) da grafico e da funzione, Codominio da grafico, immagine e controimmagine, intersezioni con gli assi cartesiani, studio del segno,
Appunti di matematica sulle derivate
LE PARABOLE: concavità, vertice, intersezione con asse x e y, altri punti, fuoco, direttrice. EQUAZIONE DELLA PARABOLA DANTI 3 PUNTI, RETTE E PARABOLE: rette secanti, tangenti ed esterne.
Appunti di goniometria e trigonometria
App Store
Google Play
L'applicazione è molto facile da usare e ben progettata. Finora ho trovato tutto quello che cercavo e ho potuto imparare molto dalle presentazioni! Utilizzerò sicuramente l'app per i compiti in classe! È molto utile anche come fonte di ispirazione.
Stefano S
utente iOS
Questa applicazione è davvero grande! Ci sono tantissimi appunti e aiuti con lo studio [...]. La mia materia problematica, per esempio, è il francese e l'app ha così tante opzioni per aiutarmi. Grazie a questa app ho migliorato il mio francese. La consiglio a tutti.
Samantha Klich
utente Android
Wow, sono davvero stupita. Ho appena provato l'app perché l'ho vista pubblicizzata molte volte e sono rimasta assolutamente sbalordita. Questa app è L'AIUTO che cercate per la scuola e soprattutto offre tantissime cose, come allenamenti e schede, che a me personalmente sono state MOLTO utili.
Anna
utente iOS
È bellissima questa app, la adoro. È utilissima per lo studio e mi aiuta molto, anzi moltissimo, ma soprattutto mi aiutano molto i quiz, per memorizzare anche quello che non sapevo
Anastasia
utente Android
Fantastica per qualsiasi materia avere gli appunti anche di altre persone è molto utile perchè posso confrontarmi e vedere come migliorarmi. con i quiz riesco ad apprendere al meglio.
Francesca
utente Android
moooolto utile,gli appunti sono belli e funzionanti,schoolGPT da dei consigli formidabili!!
Marianna
utente Android
L'applicazione è semplicemente fantastica! Tutto ciò che devo fare è inserire l'argomento nella barra di ricerca e ottengo la risposta molto velocemente. Non devo guardare 10 video di YouTube per capire qualcosa, quindi risparmio tempo. Consigliatissima!
Sudenaz Ocak
utente Android
A scuola andavo malissimo in matematica, ma grazie a questa applicazione ora vado meglio. Vi sono molto grato per aver creato questa app.
Greenlight Bonnie
utente Android
Knowunity è un applicazione fantastica,considerando che ha degli schemi veramente molto carini e sfiziosi e che ci sono dei quiz,oltre al fatto che questa cosa dell intelligenza artificiale "school gpt" è almeno per me molto utile, perché a differenza di Chatgpt ti da le spiegazioni, ti spiega ciò che non è chiaro! Posso studiare più velocemente tramite gli schemi e che posso pubblicare io stessa gli schemi è una funzione utilissima per gli altri studenti. Knowunity è PERFETTA
Aurora
utente Android
L’app funziona benissimo e puoi trovare qualsiasi tipo di informazione. Non ho l’abbonamento ma la parte gratuita è sufficiente per uno studio approfondito.
Martina
utente iOS
I quiz E LE flashcard SONO COSÌ UTILI E ADORO Knowunity IA. È ANCHE LETTERALMENTE COME CHATGPT MA PIÙ INTELLIGENTE!! MI HA AIUTATO ANCHE COI MIEI PROBLEMI DI MASCARA!! E ANCHE CON LE MIE VERE MATERIE! OVVIO 😍😁😲🤑💗✨🎀😮
Chiara
utente IOS
Questa app è una delle migliori, nient’altro da dire.
Andrea
utente iOS
L'applicazione è molto facile da usare e ben progettata. Finora ho trovato tutto quello che cercavo e ho potuto imparare molto dalle presentazioni! Utilizzerò sicuramente l'app per i compiti in classe! È molto utile anche come fonte di ispirazione.
Stefano S
utente iOS
Questa applicazione è davvero grande! Ci sono tantissimi appunti e aiuti con lo studio [...]. La mia materia problematica, per esempio, è il francese e l'app ha così tante opzioni per aiutarmi. Grazie a questa app ho migliorato il mio francese. La consiglio a tutti.
Samantha Klich
utente Android
Wow, sono davvero stupita. Ho appena provato l'app perché l'ho vista pubblicizzata molte volte e sono rimasta assolutamente sbalordita. Questa app è L'AIUTO che cercate per la scuola e soprattutto offre tantissime cose, come allenamenti e schede, che a me personalmente sono state MOLTO utili.
Anna
utente iOS
È bellissima questa app, la adoro. È utilissima per lo studio e mi aiuta molto, anzi moltissimo, ma soprattutto mi aiutano molto i quiz, per memorizzare anche quello che non sapevo
Anastasia
utente Android
Fantastica per qualsiasi materia avere gli appunti anche di altre persone è molto utile perchè posso confrontarmi e vedere come migliorarmi. con i quiz riesco ad apprendere al meglio.
Francesca
utente Android
moooolto utile,gli appunti sono belli e funzionanti,schoolGPT da dei consigli formidabili!!
Marianna
utente Android
L'applicazione è semplicemente fantastica! Tutto ciò che devo fare è inserire l'argomento nella barra di ricerca e ottengo la risposta molto velocemente. Non devo guardare 10 video di YouTube per capire qualcosa, quindi risparmio tempo. Consigliatissima!
Sudenaz Ocak
utente Android
A scuola andavo malissimo in matematica, ma grazie a questa applicazione ora vado meglio. Vi sono molto grato per aver creato questa app.
Greenlight Bonnie
utente Android
Knowunity è un applicazione fantastica,considerando che ha degli schemi veramente molto carini e sfiziosi e che ci sono dei quiz,oltre al fatto che questa cosa dell intelligenza artificiale "school gpt" è almeno per me molto utile, perché a differenza di Chatgpt ti da le spiegazioni, ti spiega ciò che non è chiaro! Posso studiare più velocemente tramite gli schemi e che posso pubblicare io stessa gli schemi è una funzione utilissima per gli altri studenti. Knowunity è PERFETTA
Aurora
utente Android
L’app funziona benissimo e puoi trovare qualsiasi tipo di informazione. Non ho l’abbonamento ma la parte gratuita è sufficiente per uno studio approfondito.
Martina
utente iOS
I quiz E LE flashcard SONO COSÌ UTILI E ADORO Knowunity IA. È ANCHE LETTERALMENTE COME CHATGPT MA PIÙ INTELLIGENTE!! MI HA AIUTATO ANCHE COI MIEI PROBLEMI DI MASCARA!! E ANCHE CON LE MIE VERE MATERIE! OVVIO 😍😁😲🤑💗✨🎀😮
Chiara
utente IOS
Questa app è una delle migliori, nient’altro da dire.
Andrea
utente iOS