La fisica è la scienza che ci aiuta a capire... Mostra di più
Iscriviti per mostrare il contenutoÈ gratis!
Accesso a tutti i documenti
Migliora i tuoi voti
Unisciti a milioni di studenti
Knowunity AI
Materie
Triangle Congruence and Similarity Theorems
Triangle Properties and Classification
Linear Equations and Graphs
Geometric Angle Relationships
Trigonometric Functions and Identities
Equation Solving Techniques
Circle Geometry Fundamentals
Division Operations and Methods
Basic Differentiation Rules
Exponent and Logarithm Properties
Mostra tutti gli argomenti
Human Organ Systems
Reproductive Cell Cycles
Biological Sciences Subdisciplines
Cellular Energy Metabolism
Autotrophic Energy Processes
Inheritance Patterns and Principles
Biomolecular Structure and Organization
Cell Cycle and Division Mechanics
Cellular Organization and Development
Biological Structural Organization
Mostra tutti gli argomenti
Chemical Sciences and Applications
Atomic Structure and Composition
Molecular Electron Structure Representation
Atomic Electron Behavior
Matter Properties and Water
Mole Concept and Calculations
Gas Laws and Behavior
Periodic Table Organization
Chemical Thermodynamics Fundamentals
Chemical Bond Types and Properties
Mostra tutti gli argomenti
European Renaissance and Enlightenment
European Cultural Movements 800-1920
American Revolution Era 1763-1797
American Civil War 1861-1865
Global Imperial Systems
Mongol and Chinese Dynasties
U.S. Presidents and World Leaders
Historical Sources and Documentation
World Wars Era and Impact
World Religious Systems
Mostra tutti gli argomenti
Classic and Contemporary Novels
Literary Character Analysis
Rhetorical Theory and Practice
Classic Literary Narratives
Reading Analysis and Interpretation
Narrative Structure and Techniques
English Language Components
Influential English-Language Authors
Basic Sentence Structure
Narrative Voice and Perspective
Mostra tutti gli argomenti
2,705
•
Aggiornato Mar 18, 2026
•
Davide Mariotti
@avideariotti_jttfkxv
La fisica è la scienza che ci aiuta a capire... Mostra di più











Benvenuti nel mondo della fisica! Questa materia ti permetterà di capire finalmente perché le cose si muovono come si muovono.
La fisica non è solo teoria - è uno strumento pratico per interpretare la realtà che ci circonda. Dalle leggi che governano la caduta di una penna al movimento dei pianeti, tutto segue principi che potrai imparare e applicare.
Roberto Battiston, il nostro autore di riferimento, ti guiderà attraverso i concetti fondamentali con un approccio chiaro e sistematico.
💡 Ricorda: La fisica è ovunque - dal tuo smartphone al modo in cui cammini!

Prima di studiare il movimento, devi padroneggiare il linguaggio della fisica. Le leggi fisiche sono relazioni quantitative tra grandezze che emergono dagli esperimenti - non sono astratte, ma descrizioni concrete di come funziona la natura.
Ogni misura è composta da un numero e un'unità di misura. La misurazione è l'operazione che ti permette di confrontare una grandezza fisica con un'altra dello stesso tipo scelta come riferimento.
Le grandezze fisiche si dividono in fondamentali (come lunghezza, tempo, massa) e derivate (come velocità, accelerazione). Un aspetto cruciale è che tutti i termini di un'equazione devono avere le stesse dimensioni e le stesse unità di misura.
Le cifre significative ti dicono quanto è preciso il tuo risultato. Ricorda: il risultato finale deve avere lo stesso numero di cifre significative del dato meno preciso. Infine, distingui sempre tra scalari (solo numeri) e vettori (hanno direzione e verso).
⚠️ Attenzione: 6 metri ≠ 6 pollici - le unità di misura sono fondamentali!

La cinematica studia il movimento senza preoccuparsi delle cause. Un punto materiale è un oggetto le cui dimensioni puoi trascurare - come un'auto vista da un aereo.
Il movimento consiste nella variazione della posizione nel tempo rispetto a un sistema di riferimento. Se una particella cambia posizione, puoi descriverla con la legge oraria x = x(t).
Lo spostamento Δx = x(t₂) - x(t₁) è il cambiamento di posizione. Ha modulo (lunghezza), verso e può essere sommato ad altri spostamenti. Due spostamenti eseguiti in successione si sommano vettorialmente.
In tre dimensioni, lo spostamento diventa Δr = {Δx, Δy, Δz} con modulo |Δr| = √. La direzione è individuata dagli angoli con gli assi coordinati, mentre il verso dipende da quale punto consideri di partenza.
💪 Punto di forza: Una volta capito il concetto di spostamento, tutto il resto della cinematica diventa più semplice!

Lo spostamento ha caratteristiche geometriche precise che non dipendono dal tuo punto di vista. La lunghezza si calcola con |Δr| = √, mentre la direzione è definita da |Δr| cos φ = Δx.
Gli spostamenti si sommano vettorialmente: se esegui due spostamenti in successione, il risultato è indipendente dall'ordine. Questo principio è fondamentale per analizzare movimenti complessi.
Le proprietà più importanti dello spostamento sono l'invarianza: la lunghezza non dipende dalla scelta delle coordinate, due spostamenti uguali formano gli stessi angoli con gli assi, e l'uguaglianza fra spostamenti è indipendente dalla scelta dell'osservatore.
Quando ruoti il sistema di coordinate attorno all'asse z, le componenti si trasformano secondo: Δx' = Δx cos φ + Δy sin φ e Δy' = Δy cos φ - Δx sin φ. La componente z rimane invariata.
🔧 Strumento utile: I versori î, ĵ, k sono vettori unitari che semplificano i calcoli!

I versori sono vettori di lunghezza unitaria che indicano solo la direzione: v̂ = v/|v|. I versori fondamentali sono î = {1,0,0}, ĵ = {0,1,0}, k̂ = {0,0,1}. Ogni vettore può essere scritto come v = vₓî + vyĵ + vzk̂.
Il vettore posizione r = {x,y,z} = xî + yĵ + zk̂ individua la posizione di un punto. Attenzione: se sposti l'origine, le componenti cambiano, ma lo spostamento Δr rimane invariato.
La velocità media è vm = Δx/Δt = /Δt. Dipende solo dalle posizioni iniziale e finale, non dal percorso seguito. Può essere positiva o negativa in base al verso di percorrenza.
La velocità è un concetto che misura la rapidità con cui viene percorsa la traiettoria. È fondamentale distinguere tra velocità media (che dà un'informazione generale) e velocità istantanea (che fornisce dettagli precisi momento per momento).
🎯 Focus: La velocità media non ti dice cosa succede durante il percorso, solo il risultato finale!

La velocità istantanea fornisce informazioni precise sulla variazione di posizione: v = lim(Δt→0) Δx/Δt = dx/dt. In tre dimensioni diventa v(t) = {dx/dt, dy/dt, dz/dt} = dr/dt.
Un concetto chiave: diminuendo Δt verso zero, la velocità istantanea assume la direzione della retta tangente alla traiettoria nel punto considerato. Il vettore tangente ut = dr/ds ha questa direzione, e la velocità si scrive come v = ut = vsut.
L'accelerazione descrive la variazione della velocità lungo la traiettoria. L'accelerazione media è am(t) = /Δt, mentre quella istantanea è a(t) = dv/dt = d²r/dt².
La relazione fondamentale è a = dv/dt = ut + vs. Il primo termine è l'accelerazione tangenziale (cambia il modulo della velocità), il secondo è l'accelerazione normale o centripeta an = vs²/ρ (cambia la direzione).
🧭 Navigazione: L'accelerazione tangenziale ti dice se acceleri o deceleri, quella normale quanto curve!

L'accelerazione completa si decompone in due contributi: a = at + an = s̈ut + um. L'accelerazione tangenziale s̈ut agisce lungo la traiettoria, mentre l'accelerazione centripeta vs²/ρ è sempre diretta verso il centro di curvatura.
Ogni tratto di traiettoria può essere approssimato con un elemento d'arco di circonferenza con raggio di curvatura ρ. Questo concetto è fondamentale per capire perché anche in moti non circolari esiste accelerazione centripeta.
Le coordinate sferiche offrono un'alternativa alle cartesiane: x = r cos φ sin θ, y = r sin φ sin θ, z = r cos θ. Sono particolarmente utili per problemi con simmetria sferica.
Durante il movimento, il punto traccia una curva nello spazio chiamata traiettoria. La legge oraria {x(t), y(t), z(t)} descrive completamente il movimento fornendo la posizione in ogni istante.
⭐ Insight: L'accelerazione centripeta esiste sempre quando c'è curvatura, anche se la velocità è costante!

I moti si classificano in base alle caratteristiche di velocità e traiettoria. I moti uniformi hanno ṡ costante, mentre i moti uniformemente vari hanno s̈ costante. I moti rettilinei hanno raggio di curvatura infinito (ρ→∞), i moti circolari hanno ρ costante.
Per i moti uniformi, integrando ṡ costante ottieni s(t) = s₀ + s₀t. La posizione varia linearmente nel tempo - un concetto semplice ma potentissimo per descrivere molti fenomeni quotidiani.
I moti uniformi rappresentano la situazione più semplice possibile: niente accelerazione, velocità costante, traiettoria percorsa in modo regolare. Sono il punto di partenza per comprendere situazioni più complesse.
La matematica dietro i moti uniformi è elementare, ma le applicazioni sono infinite: dai treni che viaggiano a velocità costante ai pianeti che si muovono nelle regioni dello spazio lontane dalle stelle.
✅ Checkpoint: Se la velocità è costante, la posizione cresce linearmente nel tempo!

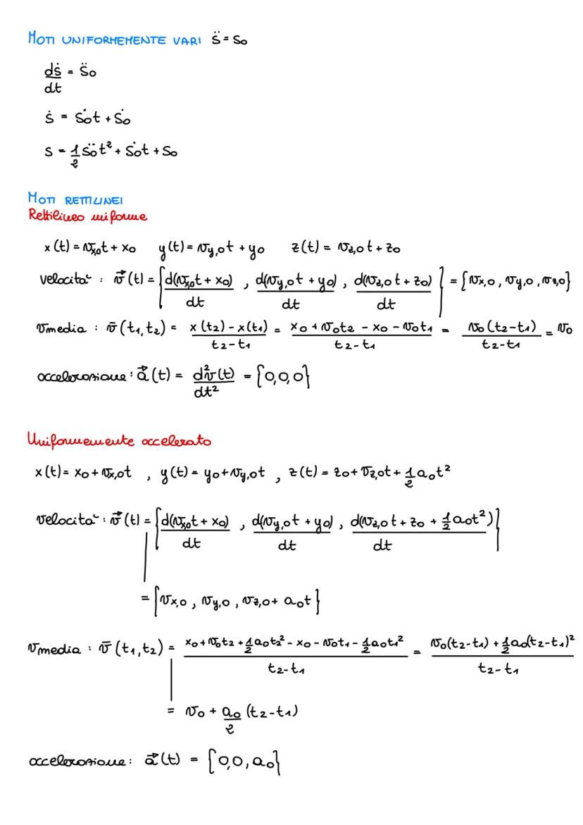
Nei moti uniformemente vari l'accelerazione è costante: ṡ = ṡ₀t + ṡ₀ e s = ½ṡ₀t² + ṡ₀t + s₀. Queste equazioni sono fondamentali per risolvere problemi di caduta libera, frenata, accelerazione.
Il moto rettilineo uniforme ha equazioni semplici: x(t) = vₓ₀t + x₀, y(t) = vy₀t + y₀, z(t) = vz₀t + z₀. La velocità è costante v = {vₓ₀, vy₀, vz₀} e l'accelerazione è nulla.
Il moto uniformemente accelerato aggiunge il termine quadratico: z(t) = z₀ + vz₀t + ½a₀t². La velocità diventa v(t) = {vₓ₀, vy₀, vz₀ + a₀t} e l'accelerazione è a = {0, 0, a₀}.
La velocità media nel moto uniformemente accelerato è v_media = v₀ + ½a₀. Nota come sia la media tra velocità iniziale e finale: questo risultato è specifico dell'accelerazione costante.
🚗 Esempio pratico: Un'auto che accelera costantemente segue esattamente queste leggi!

Il moto circolare uniforme ha velocità angolare costante: θ(t) = θ₀ + ωt. Esiste solo accelerazione centripeta a = ω²R/R = ω²R diretta verso il centro.
Le equazioni parametriche sono r(t) = R cos(ωt)î + R sin(ωt)ĵ. La velocità è v(t) = -ωR sin(ωt)î + ωR cos(ωt)ĵ = ωRut, sempre tangente alla circonferenza.
L'accelerazione è a(t) = -ω²R cos(ωt)î - ω²R sin(ωt)ĵ = -ω²Rum, sempre diretta verso il centro con modulo costante ω²R.
Nel moto circolare uniformemente vario si aggiunge accelerazione angolare: θ(t) = θ₀ + ω₀t + ½α₀t². Ora hai sia accelerazione tangenziale che centripeta.
I versori fondamentali sono: ur (radiale, verso l'esterno), ut (tangenziale, nel verso del moto), um (normale, verso il centro). Questi versori ruotano solidalmente con il punto.
🎡 Visualizza: Pensa a una ruota panoramica - velocità costante ma accelerazione sempre presente verso il centro!
Il nostro assistente AI è costruito specificamente per le esigenze degli studenti. Sulla base dei milioni di contenuti presenti sulla piattaforma, possiamo fornire agli studenti risposte davvero significative e pertinenti. Ma non si tratta solo di risposte, l'assistente è in grado di guidare gli studenti attraverso le loro sfide quotidiane di studio, con piani di studio personalizzati, quiz o contenuti nella chat e una personalizzazione al 100% basata sulle competenze e sugli sviluppi degli studenti.
È possibile scaricare l'applicazione dal Google Play Store e dall'Apple App Store.
Sì, hai accesso completamente gratuito a tutti i contenuti nell'app e puoi chattare o seguire i Creatori in qualsiasi momento. Sbloccherai nuove funzioni crescendo il tuo numero di follower. Inoltre, offriamo Knowunity Premium, che consente di studiare senza alcun limite!!
App Store
Google Play
L'applicazione è molto facile da usare e ben progettata. Finora ho trovato tutto quello che cercavo e ho potuto imparare molto dalle presentazioni! Utilizzerò sicuramente l'app per i compiti in classe! È molto utile anche come fonte di ispirazione.
Stefano S
utente iOS
Questa applicazione è davvero grande! Ci sono tantissimi appunti e aiuti con lo studio [...]. La mia materia problematica, per esempio, è il francese e l'app ha così tante opzioni per aiutarmi. Grazie a questa app ho migliorato il mio francese. La consiglio a tutti.
Samantha Klich
utente Android
Wow, sono davvero stupita. Ho appena provato l'app perché l'ho vista pubblicizzata molte volte e sono rimasta assolutamente sbalordita. Questa app è L'AIUTO che cercate per la scuola e soprattutto offre tantissime cose, come allenamenti e schede, che a me personalmente sono state MOLTO utili.
Anna
utente iOS
È bellissima questa app, la adoro. È utilissima per lo studio e mi aiuta molto, anzi moltissimo, ma soprattutto mi aiutano molto i quiz, per memorizzare anche quello che non sapevo
Anastasia
utente Android
Fantastica per qualsiasi materia avere gli appunti anche di altre persone è molto utile perchè posso confrontarmi e vedere come migliorarmi. con i quiz riesco ad apprendere al meglio.
Francesca
utente Android
moooolto utile,gli appunti sono belli e funzionanti,schoolGPT da dei consigli formidabili!!
Marianna
utente Android
L'applicazione è semplicemente fantastica! Tutto ciò che devo fare è inserire l'argomento nella barra di ricerca e ottengo la risposta molto velocemente. Non devo guardare 10 video di YouTube per capire qualcosa, quindi risparmio tempo. Consigliatissima!
Sudenaz Ocak
utente Android
A scuola andavo malissimo in matematica, ma grazie a questa applicazione ora vado meglio. Vi sono molto grato per aver creato questa app.
Greenlight Bonnie
utente Android
Knowunity è un applicazione fantastica,considerando che ha degli schemi veramente molto carini e sfiziosi e che ci sono dei quiz,oltre al fatto che questa cosa dell intelligenza artificiale "school gpt" è almeno per me molto utile, perché a differenza di Chatgpt ti da le spiegazioni, ti spiega ciò che non è chiaro! Posso studiare più velocemente tramite gli schemi e che posso pubblicare io stessa gli schemi è una funzione utilissima per gli altri studenti. Knowunity è PERFETTA
Aurora
utente Android
L’app funziona benissimo e puoi trovare qualsiasi tipo di informazione. Non ho l’abbonamento ma la parte gratuita è sufficiente per uno studio approfondito.
Martina
utente iOS
I quiz E LE flashcard SONO COSÌ UTILI E ADORO Knowunity IA. È ANCHE LETTERALMENTE COME CHATGPT MA PIÙ INTELLIGENTE!! MI HA AIUTATO ANCHE COI MIEI PROBLEMI DI MASCARA!! E ANCHE CON LE MIE VERE MATERIE! OVVIO 😍😁😲🤑💗✨🎀😮
Chiara
utente IOS
Questa app è una delle migliori, nient’altro da dire.
Andrea
utente iOS
L'applicazione è molto facile da usare e ben progettata. Finora ho trovato tutto quello che cercavo e ho potuto imparare molto dalle presentazioni! Utilizzerò sicuramente l'app per i compiti in classe! È molto utile anche come fonte di ispirazione.
Stefano S
utente iOS
Questa applicazione è davvero grande! Ci sono tantissimi appunti e aiuti con lo studio [...]. La mia materia problematica, per esempio, è il francese e l'app ha così tante opzioni per aiutarmi. Grazie a questa app ho migliorato il mio francese. La consiglio a tutti.
Samantha Klich
utente Android
Wow, sono davvero stupita. Ho appena provato l'app perché l'ho vista pubblicizzata molte volte e sono rimasta assolutamente sbalordita. Questa app è L'AIUTO che cercate per la scuola e soprattutto offre tantissime cose, come allenamenti e schede, che a me personalmente sono state MOLTO utili.
Anna
utente iOS
È bellissima questa app, la adoro. È utilissima per lo studio e mi aiuta molto, anzi moltissimo, ma soprattutto mi aiutano molto i quiz, per memorizzare anche quello che non sapevo
Anastasia
utente Android
Fantastica per qualsiasi materia avere gli appunti anche di altre persone è molto utile perchè posso confrontarmi e vedere come migliorarmi. con i quiz riesco ad apprendere al meglio.
Francesca
utente Android
moooolto utile,gli appunti sono belli e funzionanti,schoolGPT da dei consigli formidabili!!
Marianna
utente Android
L'applicazione è semplicemente fantastica! Tutto ciò che devo fare è inserire l'argomento nella barra di ricerca e ottengo la risposta molto velocemente. Non devo guardare 10 video di YouTube per capire qualcosa, quindi risparmio tempo. Consigliatissima!
Sudenaz Ocak
utente Android
A scuola andavo malissimo in matematica, ma grazie a questa applicazione ora vado meglio. Vi sono molto grato per aver creato questa app.
Greenlight Bonnie
utente Android
Knowunity è un applicazione fantastica,considerando che ha degli schemi veramente molto carini e sfiziosi e che ci sono dei quiz,oltre al fatto che questa cosa dell intelligenza artificiale "school gpt" è almeno per me molto utile, perché a differenza di Chatgpt ti da le spiegazioni, ti spiega ciò che non è chiaro! Posso studiare più velocemente tramite gli schemi e che posso pubblicare io stessa gli schemi è una funzione utilissima per gli altri studenti. Knowunity è PERFETTA
Aurora
utente Android
L’app funziona benissimo e puoi trovare qualsiasi tipo di informazione. Non ho l’abbonamento ma la parte gratuita è sufficiente per uno studio approfondito.
Martina
utente iOS
I quiz E LE flashcard SONO COSÌ UTILI E ADORO Knowunity IA. È ANCHE LETTERALMENTE COME CHATGPT MA PIÙ INTELLIGENTE!! MI HA AIUTATO ANCHE COI MIEI PROBLEMI DI MASCARA!! E ANCHE CON LE MIE VERE MATERIE! OVVIO 😍😁😲🤑💗✨🎀😮
Chiara
utente IOS
Questa app è una delle migliori, nient’altro da dire.
Andrea
utente iOS
Davide Mariotti
@avideariotti_jttfkxv
La fisica è la scienza che ci aiuta a capire come funziona il mondo intorno a noi. In questo primo approccio alla materia, scoprirai come misurare i fenomeni fisici e descrivere il movimento degli oggetti nello spazio.

Accesso a tutti i documenti
Migliora i tuoi voti
Unisciti a milioni di studenti
Benvenuti nel mondo della fisica! Questa materia ti permetterà di capire finalmente perché le cose si muovono come si muovono.
La fisica non è solo teoria - è uno strumento pratico per interpretare la realtà che ci circonda. Dalle leggi che governano la caduta di una penna al movimento dei pianeti, tutto segue principi che potrai imparare e applicare.
Roberto Battiston, il nostro autore di riferimento, ti guiderà attraverso i concetti fondamentali con un approccio chiaro e sistematico.
💡 Ricorda: La fisica è ovunque - dal tuo smartphone al modo in cui cammini!

Accesso a tutti i documenti
Migliora i tuoi voti
Unisciti a milioni di studenti
Prima di studiare il movimento, devi padroneggiare il linguaggio della fisica. Le leggi fisiche sono relazioni quantitative tra grandezze che emergono dagli esperimenti - non sono astratte, ma descrizioni concrete di come funziona la natura.
Ogni misura è composta da un numero e un'unità di misura. La misurazione è l'operazione che ti permette di confrontare una grandezza fisica con un'altra dello stesso tipo scelta come riferimento.
Le grandezze fisiche si dividono in fondamentali (come lunghezza, tempo, massa) e derivate (come velocità, accelerazione). Un aspetto cruciale è che tutti i termini di un'equazione devono avere le stesse dimensioni e le stesse unità di misura.
Le cifre significative ti dicono quanto è preciso il tuo risultato. Ricorda: il risultato finale deve avere lo stesso numero di cifre significative del dato meno preciso. Infine, distingui sempre tra scalari (solo numeri) e vettori (hanno direzione e verso).
⚠️ Attenzione: 6 metri ≠ 6 pollici - le unità di misura sono fondamentali!

Accesso a tutti i documenti
Migliora i tuoi voti
Unisciti a milioni di studenti
La cinematica studia il movimento senza preoccuparsi delle cause. Un punto materiale è un oggetto le cui dimensioni puoi trascurare - come un'auto vista da un aereo.
Il movimento consiste nella variazione della posizione nel tempo rispetto a un sistema di riferimento. Se una particella cambia posizione, puoi descriverla con la legge oraria x = x(t).
Lo spostamento Δx = x(t₂) - x(t₁) è il cambiamento di posizione. Ha modulo (lunghezza), verso e può essere sommato ad altri spostamenti. Due spostamenti eseguiti in successione si sommano vettorialmente.
In tre dimensioni, lo spostamento diventa Δr = {Δx, Δy, Δz} con modulo |Δr| = √. La direzione è individuata dagli angoli con gli assi coordinati, mentre il verso dipende da quale punto consideri di partenza.
💪 Punto di forza: Una volta capito il concetto di spostamento, tutto il resto della cinematica diventa più semplice!

Accesso a tutti i documenti
Migliora i tuoi voti
Unisciti a milioni di studenti
Lo spostamento ha caratteristiche geometriche precise che non dipendono dal tuo punto di vista. La lunghezza si calcola con |Δr| = √, mentre la direzione è definita da |Δr| cos φ = Δx.
Gli spostamenti si sommano vettorialmente: se esegui due spostamenti in successione, il risultato è indipendente dall'ordine. Questo principio è fondamentale per analizzare movimenti complessi.
Le proprietà più importanti dello spostamento sono l'invarianza: la lunghezza non dipende dalla scelta delle coordinate, due spostamenti uguali formano gli stessi angoli con gli assi, e l'uguaglianza fra spostamenti è indipendente dalla scelta dell'osservatore.
Quando ruoti il sistema di coordinate attorno all'asse z, le componenti si trasformano secondo: Δx' = Δx cos φ + Δy sin φ e Δy' = Δy cos φ - Δx sin φ. La componente z rimane invariata.
🔧 Strumento utile: I versori î, ĵ, k sono vettori unitari che semplificano i calcoli!

Accesso a tutti i documenti
Migliora i tuoi voti
Unisciti a milioni di studenti
I versori sono vettori di lunghezza unitaria che indicano solo la direzione: v̂ = v/|v|. I versori fondamentali sono î = {1,0,0}, ĵ = {0,1,0}, k̂ = {0,0,1}. Ogni vettore può essere scritto come v = vₓî + vyĵ + vzk̂.
Il vettore posizione r = {x,y,z} = xî + yĵ + zk̂ individua la posizione di un punto. Attenzione: se sposti l'origine, le componenti cambiano, ma lo spostamento Δr rimane invariato.
La velocità media è vm = Δx/Δt = /Δt. Dipende solo dalle posizioni iniziale e finale, non dal percorso seguito. Può essere positiva o negativa in base al verso di percorrenza.
La velocità è un concetto che misura la rapidità con cui viene percorsa la traiettoria. È fondamentale distinguere tra velocità media (che dà un'informazione generale) e velocità istantanea (che fornisce dettagli precisi momento per momento).
🎯 Focus: La velocità media non ti dice cosa succede durante il percorso, solo il risultato finale!

Accesso a tutti i documenti
Migliora i tuoi voti
Unisciti a milioni di studenti
La velocità istantanea fornisce informazioni precise sulla variazione di posizione: v = lim(Δt→0) Δx/Δt = dx/dt. In tre dimensioni diventa v(t) = {dx/dt, dy/dt, dz/dt} = dr/dt.
Un concetto chiave: diminuendo Δt verso zero, la velocità istantanea assume la direzione della retta tangente alla traiettoria nel punto considerato. Il vettore tangente ut = dr/ds ha questa direzione, e la velocità si scrive come v = ut = vsut.
L'accelerazione descrive la variazione della velocità lungo la traiettoria. L'accelerazione media è am(t) = /Δt, mentre quella istantanea è a(t) = dv/dt = d²r/dt².
La relazione fondamentale è a = dv/dt = ut + vs. Il primo termine è l'accelerazione tangenziale (cambia il modulo della velocità), il secondo è l'accelerazione normale o centripeta an = vs²/ρ (cambia la direzione).
🧭 Navigazione: L'accelerazione tangenziale ti dice se acceleri o deceleri, quella normale quanto curve!

Accesso a tutti i documenti
Migliora i tuoi voti
Unisciti a milioni di studenti
L'accelerazione completa si decompone in due contributi: a = at + an = s̈ut + um. L'accelerazione tangenziale s̈ut agisce lungo la traiettoria, mentre l'accelerazione centripeta vs²/ρ è sempre diretta verso il centro di curvatura.
Ogni tratto di traiettoria può essere approssimato con un elemento d'arco di circonferenza con raggio di curvatura ρ. Questo concetto è fondamentale per capire perché anche in moti non circolari esiste accelerazione centripeta.
Le coordinate sferiche offrono un'alternativa alle cartesiane: x = r cos φ sin θ, y = r sin φ sin θ, z = r cos θ. Sono particolarmente utili per problemi con simmetria sferica.
Durante il movimento, il punto traccia una curva nello spazio chiamata traiettoria. La legge oraria {x(t), y(t), z(t)} descrive completamente il movimento fornendo la posizione in ogni istante.
⭐ Insight: L'accelerazione centripeta esiste sempre quando c'è curvatura, anche se la velocità è costante!

Accesso a tutti i documenti
Migliora i tuoi voti
Unisciti a milioni di studenti
I moti si classificano in base alle caratteristiche di velocità e traiettoria. I moti uniformi hanno ṡ costante, mentre i moti uniformemente vari hanno s̈ costante. I moti rettilinei hanno raggio di curvatura infinito (ρ→∞), i moti circolari hanno ρ costante.
Per i moti uniformi, integrando ṡ costante ottieni s(t) = s₀ + s₀t. La posizione varia linearmente nel tempo - un concetto semplice ma potentissimo per descrivere molti fenomeni quotidiani.
I moti uniformi rappresentano la situazione più semplice possibile: niente accelerazione, velocità costante, traiettoria percorsa in modo regolare. Sono il punto di partenza per comprendere situazioni più complesse.
La matematica dietro i moti uniformi è elementare, ma le applicazioni sono infinite: dai treni che viaggiano a velocità costante ai pianeti che si muovono nelle regioni dello spazio lontane dalle stelle.
✅ Checkpoint: Se la velocità è costante, la posizione cresce linearmente nel tempo!

Accesso a tutti i documenti
Migliora i tuoi voti
Unisciti a milioni di studenti
Nei moti uniformemente vari l'accelerazione è costante: ṡ = ṡ₀t + ṡ₀ e s = ½ṡ₀t² + ṡ₀t + s₀. Queste equazioni sono fondamentali per risolvere problemi di caduta libera, frenata, accelerazione.
Il moto rettilineo uniforme ha equazioni semplici: x(t) = vₓ₀t + x₀, y(t) = vy₀t + y₀, z(t) = vz₀t + z₀. La velocità è costante v = {vₓ₀, vy₀, vz₀} e l'accelerazione è nulla.
Il moto uniformemente accelerato aggiunge il termine quadratico: z(t) = z₀ + vz₀t + ½a₀t². La velocità diventa v(t) = {vₓ₀, vy₀, vz₀ + a₀t} e l'accelerazione è a = {0, 0, a₀}.
La velocità media nel moto uniformemente accelerato è v_media = v₀ + ½a₀. Nota come sia la media tra velocità iniziale e finale: questo risultato è specifico dell'accelerazione costante.
🚗 Esempio pratico: Un'auto che accelera costantemente segue esattamente queste leggi!

Accesso a tutti i documenti
Migliora i tuoi voti
Unisciti a milioni di studenti
Il moto circolare uniforme ha velocità angolare costante: θ(t) = θ₀ + ωt. Esiste solo accelerazione centripeta a = ω²R/R = ω²R diretta verso il centro.
Le equazioni parametriche sono r(t) = R cos(ωt)î + R sin(ωt)ĵ. La velocità è v(t) = -ωR sin(ωt)î + ωR cos(ωt)ĵ = ωRut, sempre tangente alla circonferenza.
L'accelerazione è a(t) = -ω²R cos(ωt)î - ω²R sin(ωt)ĵ = -ω²Rum, sempre diretta verso il centro con modulo costante ω²R.
Nel moto circolare uniformemente vario si aggiunge accelerazione angolare: θ(t) = θ₀ + ω₀t + ½α₀t². Ora hai sia accelerazione tangenziale che centripeta.
I versori fondamentali sono: ur (radiale, verso l'esterno), ut (tangenziale, nel verso del moto), um (normale, verso il centro). Questi versori ruotano solidalmente con il punto.
🎡 Visualizza: Pensa a una ruota panoramica - velocità costante ma accelerazione sempre presente verso il centro!
Il nostro assistente AI è costruito specificamente per le esigenze degli studenti. Sulla base dei milioni di contenuti presenti sulla piattaforma, possiamo fornire agli studenti risposte davvero significative e pertinenti. Ma non si tratta solo di risposte, l'assistente è in grado di guidare gli studenti attraverso le loro sfide quotidiane di studio, con piani di studio personalizzati, quiz o contenuti nella chat e una personalizzazione al 100% basata sulle competenze e sugli sviluppi degli studenti.
È possibile scaricare l'applicazione dal Google Play Store e dall'Apple App Store.
Sì, hai accesso completamente gratuito a tutti i contenuti nell'app e puoi chattare o seguire i Creatori in qualsiasi momento. Sbloccherai nuove funzioni crescendo il tuo numero di follower. Inoltre, offriamo Knowunity Premium, che consente di studiare senza alcun limite!!
95
Strumenti Intelligenti NUOVO
Trasforma questi appunti in: ✓ 50+ Domande di Pratica ✓ Flashcard Interattive ✓ Simulazione d'esame completa ✓ Schemi per Saggi
trasformazioni termodinamiche, rendimento delle macchine termiche, primo e secondo principio della termodinamica, primo enunciato di Kelvin, secondo enunciato di Clausius
CALORE, RPINCIPI DELLA TERMODINAMICA, PIANO DI CLAPEYRON, CICLO DI CARNOT
Postulati di Einstein, dilatazione del tempo, contrazione lunghezze
Relatività ristretta
intero programma riassunto di fisica 1
argomenti: cinematica, dinamica, lavoro ed energia, centro di massa, quantità di moto, corpi rigidi, rotolamento, forza e impulso, fluidi
App Store
Google Play
L'applicazione è molto facile da usare e ben progettata. Finora ho trovato tutto quello che cercavo e ho potuto imparare molto dalle presentazioni! Utilizzerò sicuramente l'app per i compiti in classe! È molto utile anche come fonte di ispirazione.
Stefano S
utente iOS
Questa applicazione è davvero grande! Ci sono tantissimi appunti e aiuti con lo studio [...]. La mia materia problematica, per esempio, è il francese e l'app ha così tante opzioni per aiutarmi. Grazie a questa app ho migliorato il mio francese. La consiglio a tutti.
Samantha Klich
utente Android
Wow, sono davvero stupita. Ho appena provato l'app perché l'ho vista pubblicizzata molte volte e sono rimasta assolutamente sbalordita. Questa app è L'AIUTO che cercate per la scuola e soprattutto offre tantissime cose, come allenamenti e schede, che a me personalmente sono state MOLTO utili.
Anna
utente iOS
È bellissima questa app, la adoro. È utilissima per lo studio e mi aiuta molto, anzi moltissimo, ma soprattutto mi aiutano molto i quiz, per memorizzare anche quello che non sapevo
Anastasia
utente Android
Fantastica per qualsiasi materia avere gli appunti anche di altre persone è molto utile perchè posso confrontarmi e vedere come migliorarmi. con i quiz riesco ad apprendere al meglio.
Francesca
utente Android
moooolto utile,gli appunti sono belli e funzionanti,schoolGPT da dei consigli formidabili!!
Marianna
utente Android
L'applicazione è semplicemente fantastica! Tutto ciò che devo fare è inserire l'argomento nella barra di ricerca e ottengo la risposta molto velocemente. Non devo guardare 10 video di YouTube per capire qualcosa, quindi risparmio tempo. Consigliatissima!
Sudenaz Ocak
utente Android
A scuola andavo malissimo in matematica, ma grazie a questa applicazione ora vado meglio. Vi sono molto grato per aver creato questa app.
Greenlight Bonnie
utente Android
Knowunity è un applicazione fantastica,considerando che ha degli schemi veramente molto carini e sfiziosi e che ci sono dei quiz,oltre al fatto che questa cosa dell intelligenza artificiale "school gpt" è almeno per me molto utile, perché a differenza di Chatgpt ti da le spiegazioni, ti spiega ciò che non è chiaro! Posso studiare più velocemente tramite gli schemi e che posso pubblicare io stessa gli schemi è una funzione utilissima per gli altri studenti. Knowunity è PERFETTA
Aurora
utente Android
L’app funziona benissimo e puoi trovare qualsiasi tipo di informazione. Non ho l’abbonamento ma la parte gratuita è sufficiente per uno studio approfondito.
Martina
utente iOS
I quiz E LE flashcard SONO COSÌ UTILI E ADORO Knowunity IA. È ANCHE LETTERALMENTE COME CHATGPT MA PIÙ INTELLIGENTE!! MI HA AIUTATO ANCHE COI MIEI PROBLEMI DI MASCARA!! E ANCHE CON LE MIE VERE MATERIE! OVVIO 😍😁😲🤑💗✨🎀😮
Chiara
utente IOS
Questa app è una delle migliori, nient’altro da dire.
Andrea
utente iOS
L'applicazione è molto facile da usare e ben progettata. Finora ho trovato tutto quello che cercavo e ho potuto imparare molto dalle presentazioni! Utilizzerò sicuramente l'app per i compiti in classe! È molto utile anche come fonte di ispirazione.
Stefano S
utente iOS
Questa applicazione è davvero grande! Ci sono tantissimi appunti e aiuti con lo studio [...]. La mia materia problematica, per esempio, è il francese e l'app ha così tante opzioni per aiutarmi. Grazie a questa app ho migliorato il mio francese. La consiglio a tutti.
Samantha Klich
utente Android
Wow, sono davvero stupita. Ho appena provato l'app perché l'ho vista pubblicizzata molte volte e sono rimasta assolutamente sbalordita. Questa app è L'AIUTO che cercate per la scuola e soprattutto offre tantissime cose, come allenamenti e schede, che a me personalmente sono state MOLTO utili.
Anna
utente iOS
È bellissima questa app, la adoro. È utilissima per lo studio e mi aiuta molto, anzi moltissimo, ma soprattutto mi aiutano molto i quiz, per memorizzare anche quello che non sapevo
Anastasia
utente Android
Fantastica per qualsiasi materia avere gli appunti anche di altre persone è molto utile perchè posso confrontarmi e vedere come migliorarmi. con i quiz riesco ad apprendere al meglio.
Francesca
utente Android
moooolto utile,gli appunti sono belli e funzionanti,schoolGPT da dei consigli formidabili!!
Marianna
utente Android
L'applicazione è semplicemente fantastica! Tutto ciò che devo fare è inserire l'argomento nella barra di ricerca e ottengo la risposta molto velocemente. Non devo guardare 10 video di YouTube per capire qualcosa, quindi risparmio tempo. Consigliatissima!
Sudenaz Ocak
utente Android
A scuola andavo malissimo in matematica, ma grazie a questa applicazione ora vado meglio. Vi sono molto grato per aver creato questa app.
Greenlight Bonnie
utente Android
Knowunity è un applicazione fantastica,considerando che ha degli schemi veramente molto carini e sfiziosi e che ci sono dei quiz,oltre al fatto che questa cosa dell intelligenza artificiale "school gpt" è almeno per me molto utile, perché a differenza di Chatgpt ti da le spiegazioni, ti spiega ciò che non è chiaro! Posso studiare più velocemente tramite gli schemi e che posso pubblicare io stessa gli schemi è una funzione utilissima per gli altri studenti. Knowunity è PERFETTA
Aurora
utente Android
L’app funziona benissimo e puoi trovare qualsiasi tipo di informazione. Non ho l’abbonamento ma la parte gratuita è sufficiente per uno studio approfondito.
Martina
utente iOS
I quiz E LE flashcard SONO COSÌ UTILI E ADORO Knowunity IA. È ANCHE LETTERALMENTE COME CHATGPT MA PIÙ INTELLIGENTE!! MI HA AIUTATO ANCHE COI MIEI PROBLEMI DI MASCARA!! E ANCHE CON LE MIE VERE MATERIE! OVVIO 😍😁😲🤑💗✨🎀😮
Chiara
utente IOS
Questa app è una delle migliori, nient’altro da dire.
Andrea
utente iOS