Le teorie acido-base sono fondamentali per capire come funzionano le... Mostra di più
Iscriviti per mostrare il contenutoÈ gratis!
Accesso a tutti i documenti
Migliora i tuoi voti
Unisciti a milioni di studenti
Knowunity AI
Materie
Triangle Congruence and Similarity Theorems
Triangle Properties and Classification
Linear Equations and Graphs
Geometric Angle Relationships
Trigonometric Functions and Identities
Equation Solving Techniques
Circle Geometry Fundamentals
Division Operations and Methods
Basic Differentiation Rules
Exponent and Logarithm Properties
Mostra tutti gli argomenti
Human Organ Systems
Reproductive Cell Cycles
Biological Sciences Subdisciplines
Cellular Energy Metabolism
Autotrophic Energy Processes
Inheritance Patterns and Principles
Biomolecular Structure and Organization
Cell Cycle and Division Mechanics
Cellular Organization and Development
Biological Structural Organization
Mostra tutti gli argomenti
Chemical Sciences and Applications
Atomic Structure and Composition
Molecular Electron Structure Representation
Atomic Electron Behavior
Matter Properties and Water
Mole Concept and Calculations
Gas Laws and Behavior
Periodic Table Organization
Chemical Thermodynamics Fundamentals
Chemical Bond Types and Properties
Mostra tutti gli argomenti
European Renaissance and Enlightenment
European Cultural Movements 800-1920
American Revolution Era 1763-1797
American Civil War 1861-1865
Global Imperial Systems
Mongol and Chinese Dynasties
U.S. Presidents and World Leaders
Historical Sources and Documentation
World Wars Era and Impact
World Religious Systems
Mostra tutti gli argomenti
Classic and Contemporary Novels
Literary Character Analysis
Rhetorical Theory and Practice
Classic Literary Narratives
Reading Analysis and Interpretation
Narrative Structure and Techniques
English Language Components
Influential English-Language Authors
Basic Sentence Structure
Narrative Voice and Perspective
Mostra tutti gli argomenti
2,869
•
Aggiornato Apr 11, 2026
•
Vanessa Bombardi
@vanessabombardii_
Le teorie acido-base sono fondamentali per capire come funzionano le... Mostra di più









Capire acidi e basi è più semplice di quanto sembri! La teoria di Arrhenius è il punto di partenza: gli acidi liberano ioni H+ (come HNO₃), mentre le basi liberano ioni OH⁻ (come NaOH). Però questa teoria ha dei limiti - per esempio, non spiega perché l'ammoniaca NH₃ sia basica.
La teoria di Brønsted-Lowry risolve il problema: un acido cede protoni H+, una base li riceve. Quando l'acido cede un protone diventa la sua base coniugata, quando la base riceve un protone diventa il suo acido coniugato. L'acqua può comportarsi sia da acido che da base - è una sostanza anfotera.
La teoria di Lewis va ancora oltre: gli acidi accettano elettroni, le basi li donano. Questo spiega reazioni che non coinvolgono protoni, come NH₃ + BF₃ → H₃NBF₃.
Ricorda: Ogni teoria amplia la definizione precedente, permettendoti di spiegare più tipi di reazioni!

Gli ossidi metallici sono basi forti perché lo ione O²⁻ strappa protoni all'acqua: O²⁻ + H₂O → 2OH⁻. Al contrario, le anidridi (ossidi di non metalli) formano acidi quando reagiscono con l'acqua, come N₂O₅ + H₂O → 2HNO₃.
La forza degli acidi dipende dall'elettronegatività del non metallo legato all'idrogeno. Negli idracidi, l'acidità cresce scendendo nel gruppo (HF < HCl < HBr < HI) e aumentando l'elettronegatività. Negli ossiacidi, più atomi di ossigeno significano maggiore acidità: HClO < HClO₂ < HClO₃ < HClO₄.
Gli idruri metallici contengono lo ione idruro H⁻ e sono basici, mentre gli idruri covalenti come CH₄ hanno proprietà diverse. Gli idrossidi metallici sono tanto più basici quanto più sono solubili in acqua.

L'acqua si dissocia pochissimo: H₂O ⇌ H₃O⁺ + OH⁻. Il prodotto ionico dell'acqua Kw = [H₃O⁺][OH⁻] = 10⁻¹⁴ a 25°C è fondamentale per tutti i calcoli. Nell'acqua pura, [H⁺] = [OH⁻] = 10⁻⁷ M.
Una soluzione è acida quando [H⁺] > 10⁻⁷ M, basica quando [OH⁻] > 10⁻⁷ M, neutra quando sono uguali. Per esempio, sciogliendo 5,00 g di NaOH in 250 mL ottieni [OH⁻] = 0,5 M, quindi [H⁺] = 2×10⁻¹⁴ M - chiaramente basica!
La scala del pH trasforma i numeri esponenziali in logaritmi: pH = -log[H₃O⁺]. Questa scala va da 0 a 14, dove pH < 7 è acido, pH > 7 è basico, pH = 7 è neutro.
Trucco utile: Se il pH varia di 1 unità, la concentrazione cambia di 10 volte!

La relazione fondamentale pH + pOH = 14 ti permette di passare facilmente tra concentrazioni acide e basiche. Se conosci il pH, calcoli subito il pOH e viceversa. Questa formula deriva direttamente dal prodotto ionico dell'acqua.
Per convertire tra pH e concentrazioni usa: [H⁺] = 10⁻ᵖᴴ e [OH⁻] = 10⁻ᵖᴼᴴ. Queste formule inverse sono essenziali per risolvere qualsiasi problema di equilibrio acido-base.
Ricorda che una variazione di pH di una unità corrisponde a una variazione di concentrazione di 10 volte. Questo significa che una soluzione a pH 3 è 10 volte più acida di una a pH 4!

La titolazione è una tecnica analitica che ti permette di determinare la concentrazione di una soluzione sconosciuta. Aggiungi gradualmente una soluzione a concentrazione nota (titolante) a quella da analizzare fino al punto di equivalenza, dove hai l'equivalenza stechiometrica.
Per titolare 20 mL di HCl 0,1 M con NaOH 0,075 M, la reazione è: NaOH + HCl → NaCl + H₂O. Il volume di NaOH necessario si calcola con: MₐVₐ = MᵦVᵦ, ottenendo 26,7 mL.
All'inizio il pH è acido , poi man mano che aggiungi base il pH sale gradualmente. Al punto di equivalenza di una titolazione acido forte-base forte il pH è esattamente 7, perché si forma solo un sale neutro.
Punto chiave: Segui sempre lo schema: scrivi la reazione, calcola le moli, determina l'eccesso!

Durante la titolazione, prima del punto di equivalenza hai sempre un eccesso di acido. Dopo 10 mL di NaOH, rimangono 0,00125 mol di HCl in 30 mL totali, dando [H⁺] = 0,0417 M e pH = 1,38.
Al punto di equivalenza (26,7 mL) hai esattamente la quantità stechiometrica: tutto l'acido ha reagito con tutta la base, formando solo sale e acqua. Per questo il pH è neutro .
Dopo il punto di equivalenza, l'eccesso di base determina il pH. Con 30 mL di NaOH (3,3 mL in eccesso), hai [OH⁻] = 4,95×10⁻³ M, pOH = 2,31 e quindi pH = 11,69. Più base aggiungi, più il pH diventa basico.

La curva di titolazione ha una caratteristica forma a S (sigmoide) che mostra come varia il pH durante l'aggiunta del titolante. All'inizio il pH cambia lentamente, poi fa un salto brusco al punto di equivalenza, infine torna a cambiare gradualmente.
Il salto di pH al punto di equivalenza è molto pronunciato nelle titolazioni acido forte-base forte, passando rapidamente da valori acidi a basici. Questo salto permette di identificare facilmente il punto finale usando indicatori colorimetrici.
La forma della curva ti dice molto sulla reazione: più è ripido il salto, più è precisa la determinazione del punto finale. Questa rappresentazione grafica è essenziale per scegliere l'indicatore giusto e interpretare i risultati.

Un elettrolito è una sostanza che in soluzione acquosa si dissocia in ioni, permettendo la conduzione elettrica. Gli acidi, le basi e i sali sono tutti elettroliti, mentre sostanze come il glucosio non lo sono.
Gli elettroliti forti si dissociano completamente , mentre quelli deboli si dissociano solo parzialmente raggiungendo un equilibrio . La costante di dissociazione Ka misura questa forza: più alta è Ka, più forte è l'acido.
L'effetto livellante dell'acqua fa apparire uguali acidi che in realtà hanno forze diverse, perché tutti si dissociano completamente. Per distinguerli devi usare solventi meno basici dell'acqua, come l'acido acetico, che rivela le vere differenze di forza.
Concetto chiave: La forza di un acido dipende sia dalla sua struttura che dal solvente in cui si trova!
Il nostro assistente AI è costruito specificamente per le esigenze degli studenti. Sulla base dei milioni di contenuti presenti sulla piattaforma, possiamo fornire agli studenti risposte davvero significative e pertinenti. Ma non si tratta solo di risposte, l'assistente è in grado di guidare gli studenti attraverso le loro sfide quotidiane di studio, con piani di studio personalizzati, quiz o contenuti nella chat e una personalizzazione al 100% basata sulle competenze e sugli sviluppi degli studenti.
È possibile scaricare l'applicazione dal Google Play Store e dall'Apple App Store.
Sì, hai accesso completamente gratuito a tutti i contenuti nell'app e puoi chattare o seguire i Creatori in qualsiasi momento. Sbloccherai nuove funzioni crescendo il tuo numero di follower. Inoltre, offriamo Knowunity Premium, che consente di studiare senza alcun limite!!
App Store
Google Play
L'applicazione è molto facile da usare e ben progettata. Finora ho trovato tutto quello che cercavo e ho potuto imparare molto dalle presentazioni! Utilizzerò sicuramente l'app per i compiti in classe! È molto utile anche come fonte di ispirazione.
Stefano S
utente iOS
Questa applicazione è davvero grande! Ci sono tantissimi appunti e aiuti con lo studio [...]. La mia materia problematica, per esempio, è il francese e l'app ha così tante opzioni per aiutarmi. Grazie a questa app ho migliorato il mio francese. La consiglio a tutti.
Samantha Klich
utente Android
Wow, sono davvero stupita. Ho appena provato l'app perché l'ho vista pubblicizzata molte volte e sono rimasta assolutamente sbalordita. Questa app è L'AIUTO che cercate per la scuola e soprattutto offre tantissime cose, come allenamenti e schede, che a me personalmente sono state MOLTO utili.
Anna
utente iOS
È bellissima questa app, la adoro. È utilissima per lo studio e mi aiuta molto, anzi moltissimo, ma soprattutto mi aiutano molto i quiz, per memorizzare anche quello che non sapevo
Anastasia
utente Android
Fantastica per qualsiasi materia avere gli appunti anche di altre persone è molto utile perchè posso confrontarmi e vedere come migliorarmi. con i quiz riesco ad apprendere al meglio.
Francesca
utente Android
moooolto utile,gli appunti sono belli e funzionanti,schoolGPT da dei consigli formidabili!!
Marianna
utente Android
L'applicazione è semplicemente fantastica! Tutto ciò che devo fare è inserire l'argomento nella barra di ricerca e ottengo la risposta molto velocemente. Non devo guardare 10 video di YouTube per capire qualcosa, quindi risparmio tempo. Consigliatissima!
Sudenaz Ocak
utente Android
A scuola andavo malissimo in matematica, ma grazie a questa applicazione ora vado meglio. Vi sono molto grato per aver creato questa app.
Greenlight Bonnie
utente Android
Knowunity è un applicazione fantastica,considerando che ha degli schemi veramente molto carini e sfiziosi e che ci sono dei quiz,oltre al fatto che questa cosa dell intelligenza artificiale "school gpt" è almeno per me molto utile, perché a differenza di Chatgpt ti da le spiegazioni, ti spiega ciò che non è chiaro! Posso studiare più velocemente tramite gli schemi e che posso pubblicare io stessa gli schemi è una funzione utilissima per gli altri studenti. Knowunity è PERFETTA
Aurora
utente Android
L’app funziona benissimo e puoi trovare qualsiasi tipo di informazione. Non ho l’abbonamento ma la parte gratuita è sufficiente per uno studio approfondito.
Martina
utente iOS
I quiz E LE flashcard SONO COSÌ UTILI E ADORO Knowunity IA. È ANCHE LETTERALMENTE COME CHATGPT MA PIÙ INTELLIGENTE!! MI HA AIUTATO ANCHE COI MIEI PROBLEMI DI MASCARA!! E ANCHE CON LE MIE VERE MATERIE! OVVIO 😍😁😲🤑💗✨🎀😮
Chiara
utente IOS
Questa app è una delle migliori, nient’altro da dire.
Andrea
utente iOS
L'applicazione è molto facile da usare e ben progettata. Finora ho trovato tutto quello che cercavo e ho potuto imparare molto dalle presentazioni! Utilizzerò sicuramente l'app per i compiti in classe! È molto utile anche come fonte di ispirazione.
Stefano S
utente iOS
Questa applicazione è davvero grande! Ci sono tantissimi appunti e aiuti con lo studio [...]. La mia materia problematica, per esempio, è il francese e l'app ha così tante opzioni per aiutarmi. Grazie a questa app ho migliorato il mio francese. La consiglio a tutti.
Samantha Klich
utente Android
Wow, sono davvero stupita. Ho appena provato l'app perché l'ho vista pubblicizzata molte volte e sono rimasta assolutamente sbalordita. Questa app è L'AIUTO che cercate per la scuola e soprattutto offre tantissime cose, come allenamenti e schede, che a me personalmente sono state MOLTO utili.
Anna
utente iOS
È bellissima questa app, la adoro. È utilissima per lo studio e mi aiuta molto, anzi moltissimo, ma soprattutto mi aiutano molto i quiz, per memorizzare anche quello che non sapevo
Anastasia
utente Android
Fantastica per qualsiasi materia avere gli appunti anche di altre persone è molto utile perchè posso confrontarmi e vedere come migliorarmi. con i quiz riesco ad apprendere al meglio.
Francesca
utente Android
moooolto utile,gli appunti sono belli e funzionanti,schoolGPT da dei consigli formidabili!!
Marianna
utente Android
L'applicazione è semplicemente fantastica! Tutto ciò che devo fare è inserire l'argomento nella barra di ricerca e ottengo la risposta molto velocemente. Non devo guardare 10 video di YouTube per capire qualcosa, quindi risparmio tempo. Consigliatissima!
Sudenaz Ocak
utente Android
A scuola andavo malissimo in matematica, ma grazie a questa applicazione ora vado meglio. Vi sono molto grato per aver creato questa app.
Greenlight Bonnie
utente Android
Knowunity è un applicazione fantastica,considerando che ha degli schemi veramente molto carini e sfiziosi e che ci sono dei quiz,oltre al fatto che questa cosa dell intelligenza artificiale "school gpt" è almeno per me molto utile, perché a differenza di Chatgpt ti da le spiegazioni, ti spiega ciò che non è chiaro! Posso studiare più velocemente tramite gli schemi e che posso pubblicare io stessa gli schemi è una funzione utilissima per gli altri studenti. Knowunity è PERFETTA
Aurora
utente Android
L’app funziona benissimo e puoi trovare qualsiasi tipo di informazione. Non ho l’abbonamento ma la parte gratuita è sufficiente per uno studio approfondito.
Martina
utente iOS
I quiz E LE flashcard SONO COSÌ UTILI E ADORO Knowunity IA. È ANCHE LETTERALMENTE COME CHATGPT MA PIÙ INTELLIGENTE!! MI HA AIUTATO ANCHE COI MIEI PROBLEMI DI MASCARA!! E ANCHE CON LE MIE VERE MATERIE! OVVIO 😍😁😲🤑💗✨🎀😮
Chiara
utente IOS
Questa app è una delle migliori, nient’altro da dire.
Andrea
utente iOS
Vanessa Bombardi
@vanessabombardii_
Le teorie acido-base sono fondamentali per capire come funzionano le reazioni chimiche. Dalle definizioni classiche di Arrhenius alle moderne teorie di Lewis, ogni approccio ti aiuta a interpretare meglio il comportamento delle sostanze in soluzione.

Accesso a tutti i documenti
Migliora i tuoi voti
Unisciti a milioni di studenti
Capire acidi e basi è più semplice di quanto sembri! La teoria di Arrhenius è il punto di partenza: gli acidi liberano ioni H+ (come HNO₃), mentre le basi liberano ioni OH⁻ (come NaOH). Però questa teoria ha dei limiti - per esempio, non spiega perché l'ammoniaca NH₃ sia basica.
La teoria di Brønsted-Lowry risolve il problema: un acido cede protoni H+, una base li riceve. Quando l'acido cede un protone diventa la sua base coniugata, quando la base riceve un protone diventa il suo acido coniugato. L'acqua può comportarsi sia da acido che da base - è una sostanza anfotera.
La teoria di Lewis va ancora oltre: gli acidi accettano elettroni, le basi li donano. Questo spiega reazioni che non coinvolgono protoni, come NH₃ + BF₃ → H₃NBF₃.
Ricorda: Ogni teoria amplia la definizione precedente, permettendoti di spiegare più tipi di reazioni!

Accesso a tutti i documenti
Migliora i tuoi voti
Unisciti a milioni di studenti
Gli ossidi metallici sono basi forti perché lo ione O²⁻ strappa protoni all'acqua: O²⁻ + H₂O → 2OH⁻. Al contrario, le anidridi (ossidi di non metalli) formano acidi quando reagiscono con l'acqua, come N₂O₅ + H₂O → 2HNO₃.
La forza degli acidi dipende dall'elettronegatività del non metallo legato all'idrogeno. Negli idracidi, l'acidità cresce scendendo nel gruppo (HF < HCl < HBr < HI) e aumentando l'elettronegatività. Negli ossiacidi, più atomi di ossigeno significano maggiore acidità: HClO < HClO₂ < HClO₃ < HClO₄.
Gli idruri metallici contengono lo ione idruro H⁻ e sono basici, mentre gli idruri covalenti come CH₄ hanno proprietà diverse. Gli idrossidi metallici sono tanto più basici quanto più sono solubili in acqua.

Accesso a tutti i documenti
Migliora i tuoi voti
Unisciti a milioni di studenti
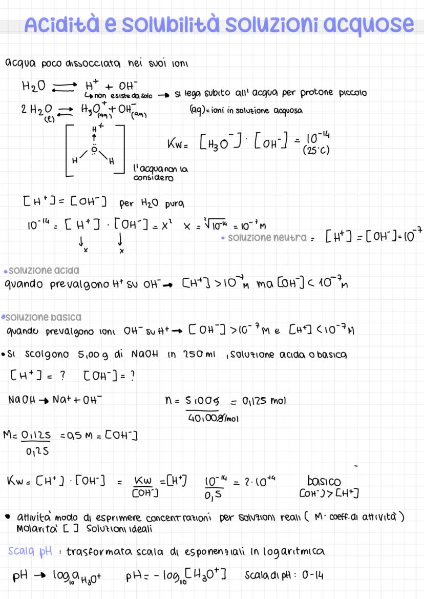
L'acqua si dissocia pochissimo: H₂O ⇌ H₃O⁺ + OH⁻. Il prodotto ionico dell'acqua Kw = [H₃O⁺][OH⁻] = 10⁻¹⁴ a 25°C è fondamentale per tutti i calcoli. Nell'acqua pura, [H⁺] = [OH⁻] = 10⁻⁷ M.
Una soluzione è acida quando [H⁺] > 10⁻⁷ M, basica quando [OH⁻] > 10⁻⁷ M, neutra quando sono uguali. Per esempio, sciogliendo 5,00 g di NaOH in 250 mL ottieni [OH⁻] = 0,5 M, quindi [H⁺] = 2×10⁻¹⁴ M - chiaramente basica!
La scala del pH trasforma i numeri esponenziali in logaritmi: pH = -log[H₃O⁺]. Questa scala va da 0 a 14, dove pH < 7 è acido, pH > 7 è basico, pH = 7 è neutro.
Trucco utile: Se il pH varia di 1 unità, la concentrazione cambia di 10 volte!

Accesso a tutti i documenti
Migliora i tuoi voti
Unisciti a milioni di studenti
La relazione fondamentale pH + pOH = 14 ti permette di passare facilmente tra concentrazioni acide e basiche. Se conosci il pH, calcoli subito il pOH e viceversa. Questa formula deriva direttamente dal prodotto ionico dell'acqua.
Per convertire tra pH e concentrazioni usa: [H⁺] = 10⁻ᵖᴴ e [OH⁻] = 10⁻ᵖᴼᴴ. Queste formule inverse sono essenziali per risolvere qualsiasi problema di equilibrio acido-base.
Ricorda che una variazione di pH di una unità corrisponde a una variazione di concentrazione di 10 volte. Questo significa che una soluzione a pH 3 è 10 volte più acida di una a pH 4!

Accesso a tutti i documenti
Migliora i tuoi voti
Unisciti a milioni di studenti
La titolazione è una tecnica analitica che ti permette di determinare la concentrazione di una soluzione sconosciuta. Aggiungi gradualmente una soluzione a concentrazione nota (titolante) a quella da analizzare fino al punto di equivalenza, dove hai l'equivalenza stechiometrica.
Per titolare 20 mL di HCl 0,1 M con NaOH 0,075 M, la reazione è: NaOH + HCl → NaCl + H₂O. Il volume di NaOH necessario si calcola con: MₐVₐ = MᵦVᵦ, ottenendo 26,7 mL.
All'inizio il pH è acido , poi man mano che aggiungi base il pH sale gradualmente. Al punto di equivalenza di una titolazione acido forte-base forte il pH è esattamente 7, perché si forma solo un sale neutro.
Punto chiave: Segui sempre lo schema: scrivi la reazione, calcola le moli, determina l'eccesso!

Accesso a tutti i documenti
Migliora i tuoi voti
Unisciti a milioni di studenti
Durante la titolazione, prima del punto di equivalenza hai sempre un eccesso di acido. Dopo 10 mL di NaOH, rimangono 0,00125 mol di HCl in 30 mL totali, dando [H⁺] = 0,0417 M e pH = 1,38.
Al punto di equivalenza (26,7 mL) hai esattamente la quantità stechiometrica: tutto l'acido ha reagito con tutta la base, formando solo sale e acqua. Per questo il pH è neutro .
Dopo il punto di equivalenza, l'eccesso di base determina il pH. Con 30 mL di NaOH (3,3 mL in eccesso), hai [OH⁻] = 4,95×10⁻³ M, pOH = 2,31 e quindi pH = 11,69. Più base aggiungi, più il pH diventa basico.

Accesso a tutti i documenti
Migliora i tuoi voti
Unisciti a milioni di studenti
La curva di titolazione ha una caratteristica forma a S (sigmoide) che mostra come varia il pH durante l'aggiunta del titolante. All'inizio il pH cambia lentamente, poi fa un salto brusco al punto di equivalenza, infine torna a cambiare gradualmente.
Il salto di pH al punto di equivalenza è molto pronunciato nelle titolazioni acido forte-base forte, passando rapidamente da valori acidi a basici. Questo salto permette di identificare facilmente il punto finale usando indicatori colorimetrici.
La forma della curva ti dice molto sulla reazione: più è ripido il salto, più è precisa la determinazione del punto finale. Questa rappresentazione grafica è essenziale per scegliere l'indicatore giusto e interpretare i risultati.

Accesso a tutti i documenti
Migliora i tuoi voti
Unisciti a milioni di studenti
Un elettrolito è una sostanza che in soluzione acquosa si dissocia in ioni, permettendo la conduzione elettrica. Gli acidi, le basi e i sali sono tutti elettroliti, mentre sostanze come il glucosio non lo sono.
Gli elettroliti forti si dissociano completamente , mentre quelli deboli si dissociano solo parzialmente raggiungendo un equilibrio . La costante di dissociazione Ka misura questa forza: più alta è Ka, più forte è l'acido.
L'effetto livellante dell'acqua fa apparire uguali acidi che in realtà hanno forze diverse, perché tutti si dissociano completamente. Per distinguerli devi usare solventi meno basici dell'acqua, come l'acido acetico, che rivela le vere differenze di forza.
Concetto chiave: La forza di un acido dipende sia dalla sua struttura che dal solvente in cui si trova!
Il nostro assistente AI è costruito specificamente per le esigenze degli studenti. Sulla base dei milioni di contenuti presenti sulla piattaforma, possiamo fornire agli studenti risposte davvero significative e pertinenti. Ma non si tratta solo di risposte, l'assistente è in grado di guidare gli studenti attraverso le loro sfide quotidiane di studio, con piani di studio personalizzati, quiz o contenuti nella chat e una personalizzazione al 100% basata sulle competenze e sugli sviluppi degli studenti.
È possibile scaricare l'applicazione dal Google Play Store e dall'Apple App Store.
Sì, hai accesso completamente gratuito a tutti i contenuti nell'app e puoi chattare o seguire i Creatori in qualsiasi momento. Sbloccherai nuove funzioni crescendo il tuo numero di follower. Inoltre, offriamo Knowunity Premium, che consente di studiare senza alcun limite!!
80
Strumenti Intelligenti NUOVO
Trasforma questi appunti in: ✓ 50+ Domande di Pratica ✓ Flashcard Interattive ✓ Simulazione d'esame completa ✓ Schemi per Saggi
Dissociazione ionica, elettroliti, reazione di protolisi, composti anfoteri, costanti di dissociazione, acidi e basi poliprotici, valori delle costanti K_A e K_B
Riassunto dettagliato, Acidi e Basi Chimica
Descrizione sulle soluzioni tampone, Tamponi intorno alla neutralità e a pH estremi
Tutto ciò che c’è da sapere riguardo pH e pOH spiegato in modo immediato e utile per la preparazione ai test d’ammissione alle facoltà scientifiche
Acidi e basi Argomenti: ➔ Le teorie sugli acidi e sulle basi ➔ La teoria di Arrhenius ➔ La teoria di Brønsted e Lowry ➔ La teoria di Lewis ➔ La ionizzazione dell’acqua ➔ Il pH e la forza degli acidi e delle basi ➔ Come calcolare il pH di soluzioni acide e
Riassunti di teoria sugli acidi e basi dal libro ZANICHELLI
App Store
Google Play
L'applicazione è molto facile da usare e ben progettata. Finora ho trovato tutto quello che cercavo e ho potuto imparare molto dalle presentazioni! Utilizzerò sicuramente l'app per i compiti in classe! È molto utile anche come fonte di ispirazione.
Stefano S
utente iOS
Questa applicazione è davvero grande! Ci sono tantissimi appunti e aiuti con lo studio [...]. La mia materia problematica, per esempio, è il francese e l'app ha così tante opzioni per aiutarmi. Grazie a questa app ho migliorato il mio francese. La consiglio a tutti.
Samantha Klich
utente Android
Wow, sono davvero stupita. Ho appena provato l'app perché l'ho vista pubblicizzata molte volte e sono rimasta assolutamente sbalordita. Questa app è L'AIUTO che cercate per la scuola e soprattutto offre tantissime cose, come allenamenti e schede, che a me personalmente sono state MOLTO utili.
Anna
utente iOS
È bellissima questa app, la adoro. È utilissima per lo studio e mi aiuta molto, anzi moltissimo, ma soprattutto mi aiutano molto i quiz, per memorizzare anche quello che non sapevo
Anastasia
utente Android
Fantastica per qualsiasi materia avere gli appunti anche di altre persone è molto utile perchè posso confrontarmi e vedere come migliorarmi. con i quiz riesco ad apprendere al meglio.
Francesca
utente Android
moooolto utile,gli appunti sono belli e funzionanti,schoolGPT da dei consigli formidabili!!
Marianna
utente Android
L'applicazione è semplicemente fantastica! Tutto ciò che devo fare è inserire l'argomento nella barra di ricerca e ottengo la risposta molto velocemente. Non devo guardare 10 video di YouTube per capire qualcosa, quindi risparmio tempo. Consigliatissima!
Sudenaz Ocak
utente Android
A scuola andavo malissimo in matematica, ma grazie a questa applicazione ora vado meglio. Vi sono molto grato per aver creato questa app.
Greenlight Bonnie
utente Android
Knowunity è un applicazione fantastica,considerando che ha degli schemi veramente molto carini e sfiziosi e che ci sono dei quiz,oltre al fatto che questa cosa dell intelligenza artificiale "school gpt" è almeno per me molto utile, perché a differenza di Chatgpt ti da le spiegazioni, ti spiega ciò che non è chiaro! Posso studiare più velocemente tramite gli schemi e che posso pubblicare io stessa gli schemi è una funzione utilissima per gli altri studenti. Knowunity è PERFETTA
Aurora
utente Android
L’app funziona benissimo e puoi trovare qualsiasi tipo di informazione. Non ho l’abbonamento ma la parte gratuita è sufficiente per uno studio approfondito.
Martina
utente iOS
I quiz E LE flashcard SONO COSÌ UTILI E ADORO Knowunity IA. È ANCHE LETTERALMENTE COME CHATGPT MA PIÙ INTELLIGENTE!! MI HA AIUTATO ANCHE COI MIEI PROBLEMI DI MASCARA!! E ANCHE CON LE MIE VERE MATERIE! OVVIO 😍😁😲🤑💗✨🎀😮
Chiara
utente IOS
Questa app è una delle migliori, nient’altro da dire.
Andrea
utente iOS
L'applicazione è molto facile da usare e ben progettata. Finora ho trovato tutto quello che cercavo e ho potuto imparare molto dalle presentazioni! Utilizzerò sicuramente l'app per i compiti in classe! È molto utile anche come fonte di ispirazione.
Stefano S
utente iOS
Questa applicazione è davvero grande! Ci sono tantissimi appunti e aiuti con lo studio [...]. La mia materia problematica, per esempio, è il francese e l'app ha così tante opzioni per aiutarmi. Grazie a questa app ho migliorato il mio francese. La consiglio a tutti.
Samantha Klich
utente Android
Wow, sono davvero stupita. Ho appena provato l'app perché l'ho vista pubblicizzata molte volte e sono rimasta assolutamente sbalordita. Questa app è L'AIUTO che cercate per la scuola e soprattutto offre tantissime cose, come allenamenti e schede, che a me personalmente sono state MOLTO utili.
Anna
utente iOS
È bellissima questa app, la adoro. È utilissima per lo studio e mi aiuta molto, anzi moltissimo, ma soprattutto mi aiutano molto i quiz, per memorizzare anche quello che non sapevo
Anastasia
utente Android
Fantastica per qualsiasi materia avere gli appunti anche di altre persone è molto utile perchè posso confrontarmi e vedere come migliorarmi. con i quiz riesco ad apprendere al meglio.
Francesca
utente Android
moooolto utile,gli appunti sono belli e funzionanti,schoolGPT da dei consigli formidabili!!
Marianna
utente Android
L'applicazione è semplicemente fantastica! Tutto ciò che devo fare è inserire l'argomento nella barra di ricerca e ottengo la risposta molto velocemente. Non devo guardare 10 video di YouTube per capire qualcosa, quindi risparmio tempo. Consigliatissima!
Sudenaz Ocak
utente Android
A scuola andavo malissimo in matematica, ma grazie a questa applicazione ora vado meglio. Vi sono molto grato per aver creato questa app.
Greenlight Bonnie
utente Android
Knowunity è un applicazione fantastica,considerando che ha degli schemi veramente molto carini e sfiziosi e che ci sono dei quiz,oltre al fatto che questa cosa dell intelligenza artificiale "school gpt" è almeno per me molto utile, perché a differenza di Chatgpt ti da le spiegazioni, ti spiega ciò che non è chiaro! Posso studiare più velocemente tramite gli schemi e che posso pubblicare io stessa gli schemi è una funzione utilissima per gli altri studenti. Knowunity è PERFETTA
Aurora
utente Android
L’app funziona benissimo e puoi trovare qualsiasi tipo di informazione. Non ho l’abbonamento ma la parte gratuita è sufficiente per uno studio approfondito.
Martina
utente iOS
I quiz E LE flashcard SONO COSÌ UTILI E ADORO Knowunity IA. È ANCHE LETTERALMENTE COME CHATGPT MA PIÙ INTELLIGENTE!! MI HA AIUTATO ANCHE COI MIEI PROBLEMI DI MASCARA!! E ANCHE CON LE MIE VERE MATERIE! OVVIO 😍😁😲🤑💗✨🎀😮
Chiara
utente IOS
Questa app è una delle migliori, nient’altro da dire.
Andrea
utente iOS