Quando studi le funzioni, la prima cosa da capire è... Mostra di più
Iscriviti per mostrare il contenutoÈ gratis!
Accesso a tutti i documenti
Migliora i tuoi voti
Unisciti a milioni di studenti
Knowunity AI
Materie
Triangle Congruence and Similarity Theorems
Triangle Properties and Classification
Linear Equations and Graphs
Geometric Angle Relationships
Trigonometric Functions and Identities
Equation Solving Techniques
Circle Geometry Fundamentals
Division Operations and Methods
Basic Differentiation Rules
Exponent and Logarithm Properties
Mostra tutti gli argomenti
Human Organ Systems
Reproductive Cell Cycles
Biological Sciences Subdisciplines
Cellular Energy Metabolism
Autotrophic Energy Processes
Inheritance Patterns and Principles
Biomolecular Structure and Organization
Cell Cycle and Division Mechanics
Cellular Organization and Development
Biological Structural Organization
Mostra tutti gli argomenti
Chemical Sciences and Applications
Atomic Structure and Composition
Molecular Electron Structure Representation
Atomic Electron Behavior
Matter Properties and Water
Mole Concept and Calculations
Gas Laws and Behavior
Periodic Table Organization
Chemical Thermodynamics Fundamentals
Chemical Bond Types and Properties
Mostra tutti gli argomenti
European Renaissance and Enlightenment
European Cultural Movements 800-1920
American Revolution Era 1763-1797
American Civil War 1861-1865
Global Imperial Systems
Mongol and Chinese Dynasties
U.S. Presidents and World Leaders
Historical Sources and Documentation
World Wars Era and Impact
World Religious Systems
Mostra tutti gli argomenti
Classic and Contemporary Novels
Literary Character Analysis
Rhetorical Theory and Practice
Classic Literary Narratives
Reading Analysis and Interpretation
Narrative Structure and Techniques
English Language Components
Influential English-Language Authors
Basic Sentence Structure
Narrative Voice and Perspective
Mostra tutti gli argomenti
6,920
•
Aggiornato Mar 15, 2026
•
Mena Esposito Abate
@menaespositoabate_ubvv
Quando studi le funzioni, la prima cosa da capire è... Mostra di più










Prof.ssa Esposito Abate Filomena è la docente di riferimento per questo argomento sulle funzioni e i loro domini.

Il dominio è semplicemente l'insieme di tutti i valori che puoi dare alla x senza creare problemi matematici. Pensa a quando non puoi dividere per zero o fare la radice quadrata di un numero negativo!
Ecco i casi principali che devi conoscere:
Funzioni polinomiali: Qui vai sempre sul sicuro! Il dominio è sempre tutti i numeri reali (ℝ). Esempio: y = x³ + 5x² + x - 3.
Funzioni fratte: Il denominatore non può mai essere zero. Per y = /, devi escludere x ≠ 2 perché renderebbe il denominatore zero.
Funzioni irrazionali con indice pari: Sotto la radice quadrata (o radice quarta, etc.) ci deve essere un numero ≥ 0. Per y = √, serve x+1 ≥ 0, quindi x ≥ -1.
Trucco: Per le funzioni fratte più complesse come √, devi studiare quando la frazione intera è ≥ 0 usando la regola dei segni!

Funzioni irrazionali con indice dispari: Queste sono più gentili! La radice cubica esiste sempre, quindi il dominio è tutto ℝ. Esempio: y = ∛.
Funzioni logaritmiche: L'argomento del logaritmo deve essere sempre positivo. Per y = ln, serve 2x-1 > 0, quindi x > 1/2.
Funzioni esponenziali: Il dominio dipende da cosa c'è all'esponente. Per y = 2^, devi solo evitare che x+5 = 0, quindi x ≠ -5.
La regola d'oro è sempre: identifica il tipo di funzione e applica la regola corrispondente!
Attenzione: Le funzioni con radici pari al denominatore richiedono che l'espressione sotto radice sia > 0 (non solo ≥ 0) perché lo zero renderebbe infinito il risultato!

Vediamo come applicare le regole con esempi concreti che potrebbero uscire nei compiti.
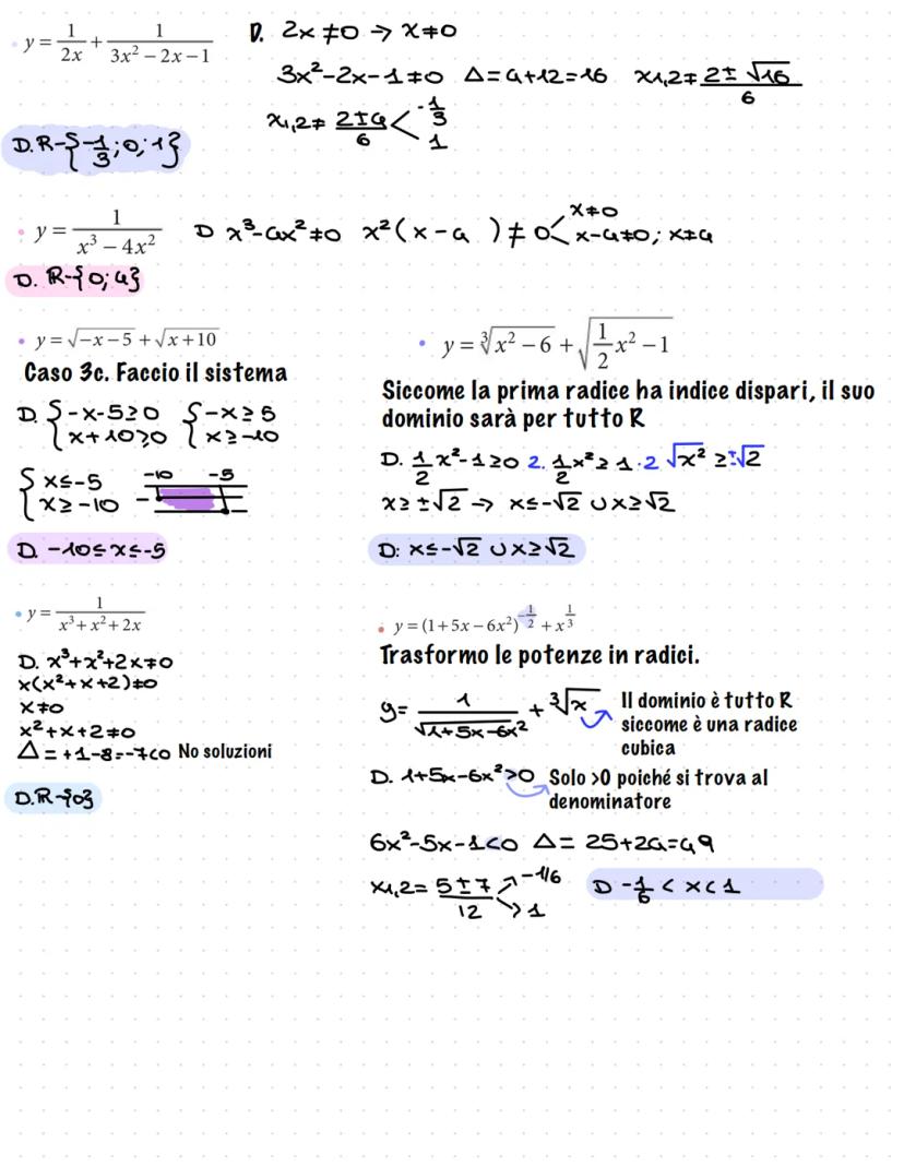
Esempio 1: y = /. È fratta, quindi poni x²+6x-7 ≠ 0. Con la formula risolutiva ottieni x ≠ -7 e x ≠ 1.
Esempio 2: y = √. Radice pari, quindi 10x - x² ≥ 0. Fattorizzando: x ≥ 0, che dà 0 ≤ x ≤ 10.
Esempio 3: y = √ + √. Due radici insieme! Sistema: -x-5 ≥ 0 E x+10 ≥ 0. Risolvi: x ≤ -5 E x ≥ -10, quindi -10 ≤ x ≤ -5.
La regola dei segni è fondamentale per le frazioni sotto radice. Fai sempre lo schema con numeratore e denominatore separati!
Metodo vincente: Identifica il tipo, scrivi le condizioni, risolvi passo passo. Non avere fretta e controlla sempre i calcoli!

Quando le funzioni diventano più complicate, mantieni la calma e procedi metodicamente.
Funzioni miste: Per y = ∛ + √, la prima parte (radice cubica) va sempre bene, ma la seconda richiede x²-1 > 0, quindi x < -1 o x > 1.
Denominatori con radici: y = 1/√ richiede che 1+5x-6x² > 0 (non ≥ 0 perché è al denominatore!). Risolvi la disequazione di secondo grado.
Potenze frazionarie: Le potenze come x^(1/2) sono radici in disguise! x^(1/2) = √x, quindi stesse regole delle radici.
I sistemi di condizioni si risolvono trovando l'intersezione degli intervalli. Disegna sempre la linea dei numeri per visualizzare meglio!
Consiglio pro: Se vedi un delta negativo in una disequazione di secondo grado, la parabola non tocca mai l'asse x. Controlla se è sempre positiva o sempre negativa!

Le funzioni con logaritmi ed esponenziali hanno le loro regole speciali da memorizzare.
Logaritmi: L'argomento deve essere sempre > 0. Per y = ln, serve e^ - 1 > 0, che significa e^ > 1, quindi 1-x² > 0 e infine -1 < x < 1.
Esponenziali: Per y = 5^/, il denominatore non può essere zero. Quindi 25^x ≠ 125, che significa 5^(2x) ≠ 5³, quindi x ≠ 3/2.
Logaritmi composti: y = log richiede DUE condizioni: x > 0 (per il log interno) E log x - 1 > 0 (per il log esterno). La seconda dà log x > 1, quindi x > 10.
Le proprietà delle potenze sono essenziali: ricorda che 25^x = (5²)^x = 5^(2x) e 125 = 5³!
Trucco finale: Con logaritmi ed esponenziali, trasforma sempre tutto nella stessa base per semplificare i calcoli!

Quando hai più operazioni insieme, devi soddisfare TUTTE le condizioni contemporaneamente.
Esempio complesso: y = ln + √ richiede x²-4 > 0 (per il logaritmo) E 25-x² ≥ 0 (per la radice). La prima dà x ≤ -2 o x ≥ 2, la seconda dà -5 ≤ x ≤ 5. L'intersezione è -5 ≤ x ≤ -2 ∪ 2 ≤ x ≤ 5.
Frazioni complesse: Per y = ln, l'argomento del logaritmo deve essere > 0. Studia numeratore e denominatore separatamente con la regola dei segni.
Il metodo sistematico funziona sempre: identifica ogni "pezzo" della funzione, scrivi le sue condizioni, poi trova l'intersezione di tutte le condizioni.
Visualizza sempre: Disegna la retta dei numeri con tutti gli intervalli. Ti aiuterà a vedere subito quale parte è valida per il dominio finale!

Leggere il dominio da un grafico è come guardare una mappa dall'alto!
Immagina di tracciare rette verticali su tutto il piano cartesiano, da sinistra verso destra. Ogni volta che una retta verticale interseca il grafico della funzione, quella x fa parte del dominio.
Dal grafico: Se vedi che il grafico ha un "buco" in corrispondenza di x = 1, allora x = 1 non appartiene al dominio. Se il grafico esiste solo tra x = -2 e x = 3, il dominio sarà -2 ≤ x ≤ 3.
Questo metodo visivo è perfetto per controllare i tuoi calcoli analitici!
Test rapido: Se riesci a tracciare una retta verticale che non tocca mai il grafico, quelle x non sono nel dominio!

Il nostro assistente AI è costruito specificamente per le esigenze degli studenti. Sulla base dei milioni di contenuti presenti sulla piattaforma, possiamo fornire agli studenti risposte davvero significative e pertinenti. Ma non si tratta solo di risposte, l'assistente è in grado di guidare gli studenti attraverso le loro sfide quotidiane di studio, con piani di studio personalizzati, quiz o contenuti nella chat e una personalizzazione al 100% basata sulle competenze e sugli sviluppi degli studenti.
È possibile scaricare l'applicazione dal Google Play Store e dall'Apple App Store.
Sì, hai accesso completamente gratuito a tutti i contenuti nell'app e puoi chattare o seguire i Creatori in qualsiasi momento. Sbloccherai nuove funzioni crescendo il tuo numero di follower. Inoltre, offriamo Knowunity Premium, che consente di studiare senza alcun limite!!
App Store
Google Play
L'applicazione è molto facile da usare e ben progettata. Finora ho trovato tutto quello che cercavo e ho potuto imparare molto dalle presentazioni! Utilizzerò sicuramente l'app per i compiti in classe! È molto utile anche come fonte di ispirazione.
Stefano S
utente iOS
Questa applicazione è davvero grande! Ci sono tantissimi appunti e aiuti con lo studio [...]. La mia materia problematica, per esempio, è il francese e l'app ha così tante opzioni per aiutarmi. Grazie a questa app ho migliorato il mio francese. La consiglio a tutti.
Samantha Klich
utente Android
Wow, sono davvero stupita. Ho appena provato l'app perché l'ho vista pubblicizzata molte volte e sono rimasta assolutamente sbalordita. Questa app è L'AIUTO che cercate per la scuola e soprattutto offre tantissime cose, come allenamenti e schede, che a me personalmente sono state MOLTO utili.
Anna
utente iOS
È bellissima questa app, la adoro. È utilissima per lo studio e mi aiuta molto, anzi moltissimo, ma soprattutto mi aiutano molto i quiz, per memorizzare anche quello che non sapevo
Anastasia
utente Android
Fantastica per qualsiasi materia avere gli appunti anche di altre persone è molto utile perchè posso confrontarmi e vedere come migliorarmi. con i quiz riesco ad apprendere al meglio.
Francesca
utente Android
moooolto utile,gli appunti sono belli e funzionanti,schoolGPT da dei consigli formidabili!!
Marianna
utente Android
L'applicazione è semplicemente fantastica! Tutto ciò che devo fare è inserire l'argomento nella barra di ricerca e ottengo la risposta molto velocemente. Non devo guardare 10 video di YouTube per capire qualcosa, quindi risparmio tempo. Consigliatissima!
Sudenaz Ocak
utente Android
A scuola andavo malissimo in matematica, ma grazie a questa applicazione ora vado meglio. Vi sono molto grato per aver creato questa app.
Greenlight Bonnie
utente Android
Knowunity è un applicazione fantastica,considerando che ha degli schemi veramente molto carini e sfiziosi e che ci sono dei quiz,oltre al fatto che questa cosa dell intelligenza artificiale "school gpt" è almeno per me molto utile, perché a differenza di Chatgpt ti da le spiegazioni, ti spiega ciò che non è chiaro! Posso studiare più velocemente tramite gli schemi e che posso pubblicare io stessa gli schemi è una funzione utilissima per gli altri studenti. Knowunity è PERFETTA
Aurora
utente Android
L’app funziona benissimo e puoi trovare qualsiasi tipo di informazione. Non ho l’abbonamento ma la parte gratuita è sufficiente per uno studio approfondito.
Martina
utente iOS
I quiz E LE flashcard SONO COSÌ UTILI E ADORO Knowunity IA. È ANCHE LETTERALMENTE COME CHATGPT MA PIÙ INTELLIGENTE!! MI HA AIUTATO ANCHE COI MIEI PROBLEMI DI MASCARA!! E ANCHE CON LE MIE VERE MATERIE! OVVIO 😍😁😲🤑💗✨🎀😮
Chiara
utente IOS
Questa app è una delle migliori, nient’altro da dire.
Andrea
utente iOS
L'applicazione è molto facile da usare e ben progettata. Finora ho trovato tutto quello che cercavo e ho potuto imparare molto dalle presentazioni! Utilizzerò sicuramente l'app per i compiti in classe! È molto utile anche come fonte di ispirazione.
Stefano S
utente iOS
Questa applicazione è davvero grande! Ci sono tantissimi appunti e aiuti con lo studio [...]. La mia materia problematica, per esempio, è il francese e l'app ha così tante opzioni per aiutarmi. Grazie a questa app ho migliorato il mio francese. La consiglio a tutti.
Samantha Klich
utente Android
Wow, sono davvero stupita. Ho appena provato l'app perché l'ho vista pubblicizzata molte volte e sono rimasta assolutamente sbalordita. Questa app è L'AIUTO che cercate per la scuola e soprattutto offre tantissime cose, come allenamenti e schede, che a me personalmente sono state MOLTO utili.
Anna
utente iOS
È bellissima questa app, la adoro. È utilissima per lo studio e mi aiuta molto, anzi moltissimo, ma soprattutto mi aiutano molto i quiz, per memorizzare anche quello che non sapevo
Anastasia
utente Android
Fantastica per qualsiasi materia avere gli appunti anche di altre persone è molto utile perchè posso confrontarmi e vedere come migliorarmi. con i quiz riesco ad apprendere al meglio.
Francesca
utente Android
moooolto utile,gli appunti sono belli e funzionanti,schoolGPT da dei consigli formidabili!!
Marianna
utente Android
L'applicazione è semplicemente fantastica! Tutto ciò che devo fare è inserire l'argomento nella barra di ricerca e ottengo la risposta molto velocemente. Non devo guardare 10 video di YouTube per capire qualcosa, quindi risparmio tempo. Consigliatissima!
Sudenaz Ocak
utente Android
A scuola andavo malissimo in matematica, ma grazie a questa applicazione ora vado meglio. Vi sono molto grato per aver creato questa app.
Greenlight Bonnie
utente Android
Knowunity è un applicazione fantastica,considerando che ha degli schemi veramente molto carini e sfiziosi e che ci sono dei quiz,oltre al fatto che questa cosa dell intelligenza artificiale "school gpt" è almeno per me molto utile, perché a differenza di Chatgpt ti da le spiegazioni, ti spiega ciò che non è chiaro! Posso studiare più velocemente tramite gli schemi e che posso pubblicare io stessa gli schemi è una funzione utilissima per gli altri studenti. Knowunity è PERFETTA
Aurora
utente Android
L’app funziona benissimo e puoi trovare qualsiasi tipo di informazione. Non ho l’abbonamento ma la parte gratuita è sufficiente per uno studio approfondito.
Martina
utente iOS
I quiz E LE flashcard SONO COSÌ UTILI E ADORO Knowunity IA. È ANCHE LETTERALMENTE COME CHATGPT MA PIÙ INTELLIGENTE!! MI HA AIUTATO ANCHE COI MIEI PROBLEMI DI MASCARA!! E ANCHE CON LE MIE VERE MATERIE! OVVIO 😍😁😲🤑💗✨🎀😮
Chiara
utente IOS
Questa app è una delle migliori, nient’altro da dire.
Andrea
utente iOS
Mena Esposito Abate
@menaespositoabate_ubvv
Quando studi le funzioni, la prima cosa da capire è dove esistono davvero! Il dominio è come una mappa che ti dice quali valori di x puoi usare senza mandare in tilt la tua funzione.

Accesso a tutti i documenti
Migliora i tuoi voti
Unisciti a milioni di studenti
Prof.ssa Esposito Abate Filomena è la docente di riferimento per questo argomento sulle funzioni e i loro domini.

Accesso a tutti i documenti
Migliora i tuoi voti
Unisciti a milioni di studenti
Il dominio è semplicemente l'insieme di tutti i valori che puoi dare alla x senza creare problemi matematici. Pensa a quando non puoi dividere per zero o fare la radice quadrata di un numero negativo!
Ecco i casi principali che devi conoscere:
Funzioni polinomiali: Qui vai sempre sul sicuro! Il dominio è sempre tutti i numeri reali (ℝ). Esempio: y = x³ + 5x² + x - 3.
Funzioni fratte: Il denominatore non può mai essere zero. Per y = /, devi escludere x ≠ 2 perché renderebbe il denominatore zero.
Funzioni irrazionali con indice pari: Sotto la radice quadrata (o radice quarta, etc.) ci deve essere un numero ≥ 0. Per y = √, serve x+1 ≥ 0, quindi x ≥ -1.
Trucco: Per le funzioni fratte più complesse come √, devi studiare quando la frazione intera è ≥ 0 usando la regola dei segni!

Accesso a tutti i documenti
Migliora i tuoi voti
Unisciti a milioni di studenti
Funzioni irrazionali con indice dispari: Queste sono più gentili! La radice cubica esiste sempre, quindi il dominio è tutto ℝ. Esempio: y = ∛.
Funzioni logaritmiche: L'argomento del logaritmo deve essere sempre positivo. Per y = ln, serve 2x-1 > 0, quindi x > 1/2.
Funzioni esponenziali: Il dominio dipende da cosa c'è all'esponente. Per y = 2^, devi solo evitare che x+5 = 0, quindi x ≠ -5.
La regola d'oro è sempre: identifica il tipo di funzione e applica la regola corrispondente!
Attenzione: Le funzioni con radici pari al denominatore richiedono che l'espressione sotto radice sia > 0 (non solo ≥ 0) perché lo zero renderebbe infinito il risultato!

Accesso a tutti i documenti
Migliora i tuoi voti
Unisciti a milioni di studenti
Vediamo come applicare le regole con esempi concreti che potrebbero uscire nei compiti.
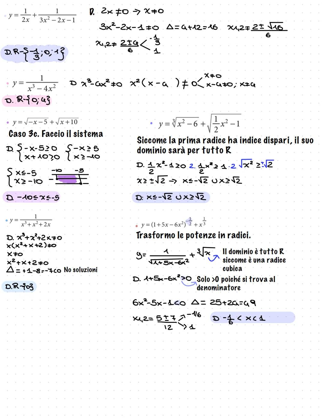
Esempio 1: y = /. È fratta, quindi poni x²+6x-7 ≠ 0. Con la formula risolutiva ottieni x ≠ -7 e x ≠ 1.
Esempio 2: y = √. Radice pari, quindi 10x - x² ≥ 0. Fattorizzando: x ≥ 0, che dà 0 ≤ x ≤ 10.
Esempio 3: y = √ + √. Due radici insieme! Sistema: -x-5 ≥ 0 E x+10 ≥ 0. Risolvi: x ≤ -5 E x ≥ -10, quindi -10 ≤ x ≤ -5.
La regola dei segni è fondamentale per le frazioni sotto radice. Fai sempre lo schema con numeratore e denominatore separati!
Metodo vincente: Identifica il tipo, scrivi le condizioni, risolvi passo passo. Non avere fretta e controlla sempre i calcoli!

Accesso a tutti i documenti
Migliora i tuoi voti
Unisciti a milioni di studenti
Quando le funzioni diventano più complicate, mantieni la calma e procedi metodicamente.
Funzioni miste: Per y = ∛ + √, la prima parte (radice cubica) va sempre bene, ma la seconda richiede x²-1 > 0, quindi x < -1 o x > 1.
Denominatori con radici: y = 1/√ richiede che 1+5x-6x² > 0 (non ≥ 0 perché è al denominatore!). Risolvi la disequazione di secondo grado.
Potenze frazionarie: Le potenze come x^(1/2) sono radici in disguise! x^(1/2) = √x, quindi stesse regole delle radici.
I sistemi di condizioni si risolvono trovando l'intersezione degli intervalli. Disegna sempre la linea dei numeri per visualizzare meglio!
Consiglio pro: Se vedi un delta negativo in una disequazione di secondo grado, la parabola non tocca mai l'asse x. Controlla se è sempre positiva o sempre negativa!

Accesso a tutti i documenti
Migliora i tuoi voti
Unisciti a milioni di studenti
Le funzioni con logaritmi ed esponenziali hanno le loro regole speciali da memorizzare.
Logaritmi: L'argomento deve essere sempre > 0. Per y = ln, serve e^ - 1 > 0, che significa e^ > 1, quindi 1-x² > 0 e infine -1 < x < 1.
Esponenziali: Per y = 5^/, il denominatore non può essere zero. Quindi 25^x ≠ 125, che significa 5^(2x) ≠ 5³, quindi x ≠ 3/2.
Logaritmi composti: y = log richiede DUE condizioni: x > 0 (per il log interno) E log x - 1 > 0 (per il log esterno). La seconda dà log x > 1, quindi x > 10.
Le proprietà delle potenze sono essenziali: ricorda che 25^x = (5²)^x = 5^(2x) e 125 = 5³!
Trucco finale: Con logaritmi ed esponenziali, trasforma sempre tutto nella stessa base per semplificare i calcoli!

Accesso a tutti i documenti
Migliora i tuoi voti
Unisciti a milioni di studenti
Quando hai più operazioni insieme, devi soddisfare TUTTE le condizioni contemporaneamente.
Esempio complesso: y = ln + √ richiede x²-4 > 0 (per il logaritmo) E 25-x² ≥ 0 (per la radice). La prima dà x ≤ -2 o x ≥ 2, la seconda dà -5 ≤ x ≤ 5. L'intersezione è -5 ≤ x ≤ -2 ∪ 2 ≤ x ≤ 5.
Frazioni complesse: Per y = ln, l'argomento del logaritmo deve essere > 0. Studia numeratore e denominatore separatamente con la regola dei segni.
Il metodo sistematico funziona sempre: identifica ogni "pezzo" della funzione, scrivi le sue condizioni, poi trova l'intersezione di tutte le condizioni.
Visualizza sempre: Disegna la retta dei numeri con tutti gli intervalli. Ti aiuterà a vedere subito quale parte è valida per il dominio finale!

Accesso a tutti i documenti
Migliora i tuoi voti
Unisciti a milioni di studenti
Leggere il dominio da un grafico è come guardare una mappa dall'alto!
Immagina di tracciare rette verticali su tutto il piano cartesiano, da sinistra verso destra. Ogni volta che una retta verticale interseca il grafico della funzione, quella x fa parte del dominio.
Dal grafico: Se vedi che il grafico ha un "buco" in corrispondenza di x = 1, allora x = 1 non appartiene al dominio. Se il grafico esiste solo tra x = -2 e x = 3, il dominio sarà -2 ≤ x ≤ 3.
Questo metodo visivo è perfetto per controllare i tuoi calcoli analitici!
Test rapido: Se riesci a tracciare una retta verticale che non tocca mai il grafico, quelle x non sono nel dominio!

Accesso a tutti i documenti
Migliora i tuoi voti
Unisciti a milioni di studenti
Il nostro assistente AI è costruito specificamente per le esigenze degli studenti. Sulla base dei milioni di contenuti presenti sulla piattaforma, possiamo fornire agli studenti risposte davvero significative e pertinenti. Ma non si tratta solo di risposte, l'assistente è in grado di guidare gli studenti attraverso le loro sfide quotidiane di studio, con piani di studio personalizzati, quiz o contenuti nella chat e una personalizzazione al 100% basata sulle competenze e sugli sviluppi degli studenti.
È possibile scaricare l'applicazione dal Google Play Store e dall'Apple App Store.
Sì, hai accesso completamente gratuito a tutti i contenuti nell'app e puoi chattare o seguire i Creatori in qualsiasi momento. Sbloccherai nuove funzioni crescendo il tuo numero di follower. Inoltre, offriamo Knowunity Premium, che consente di studiare senza alcun limite!!
143
Strumenti Intelligenti NUOVO
Trasforma questi appunti in: ✓ 50+ Domande di Pratica ✓ Flashcard Interattive ✓ Simulazione d'esame completa ✓ Schemi per Saggi
Appunti di matematica sull'equazione della retta, in forma implicita ed esplicita, coefficiente angolare, ordinata all'origine, parallelismo e sistemi di rette
elementi fondamentali della retta
Distanza tra due punti, punto medio, equazione della retta passante per l'origine ed equazione generale, coefficiente angolare, sistemi, parallele e perpendicolari
appunti matematica
Interpretazione grafica dei sistemi lineari
teoria, spiegazione, esempio e quando sono determinate, indeterminate o impossibili.
App Store
Google Play
L'applicazione è molto facile da usare e ben progettata. Finora ho trovato tutto quello che cercavo e ho potuto imparare molto dalle presentazioni! Utilizzerò sicuramente l'app per i compiti in classe! È molto utile anche come fonte di ispirazione.
Stefano S
utente iOS
Questa applicazione è davvero grande! Ci sono tantissimi appunti e aiuti con lo studio [...]. La mia materia problematica, per esempio, è il francese e l'app ha così tante opzioni per aiutarmi. Grazie a questa app ho migliorato il mio francese. La consiglio a tutti.
Samantha Klich
utente Android
Wow, sono davvero stupita. Ho appena provato l'app perché l'ho vista pubblicizzata molte volte e sono rimasta assolutamente sbalordita. Questa app è L'AIUTO che cercate per la scuola e soprattutto offre tantissime cose, come allenamenti e schede, che a me personalmente sono state MOLTO utili.
Anna
utente iOS
È bellissima questa app, la adoro. È utilissima per lo studio e mi aiuta molto, anzi moltissimo, ma soprattutto mi aiutano molto i quiz, per memorizzare anche quello che non sapevo
Anastasia
utente Android
Fantastica per qualsiasi materia avere gli appunti anche di altre persone è molto utile perchè posso confrontarmi e vedere come migliorarmi. con i quiz riesco ad apprendere al meglio.
Francesca
utente Android
moooolto utile,gli appunti sono belli e funzionanti,schoolGPT da dei consigli formidabili!!
Marianna
utente Android
L'applicazione è semplicemente fantastica! Tutto ciò che devo fare è inserire l'argomento nella barra di ricerca e ottengo la risposta molto velocemente. Non devo guardare 10 video di YouTube per capire qualcosa, quindi risparmio tempo. Consigliatissima!
Sudenaz Ocak
utente Android
A scuola andavo malissimo in matematica, ma grazie a questa applicazione ora vado meglio. Vi sono molto grato per aver creato questa app.
Greenlight Bonnie
utente Android
Knowunity è un applicazione fantastica,considerando che ha degli schemi veramente molto carini e sfiziosi e che ci sono dei quiz,oltre al fatto che questa cosa dell intelligenza artificiale "school gpt" è almeno per me molto utile, perché a differenza di Chatgpt ti da le spiegazioni, ti spiega ciò che non è chiaro! Posso studiare più velocemente tramite gli schemi e che posso pubblicare io stessa gli schemi è una funzione utilissima per gli altri studenti. Knowunity è PERFETTA
Aurora
utente Android
L’app funziona benissimo e puoi trovare qualsiasi tipo di informazione. Non ho l’abbonamento ma la parte gratuita è sufficiente per uno studio approfondito.
Martina
utente iOS
I quiz E LE flashcard SONO COSÌ UTILI E ADORO Knowunity IA. È ANCHE LETTERALMENTE COME CHATGPT MA PIÙ INTELLIGENTE!! MI HA AIUTATO ANCHE COI MIEI PROBLEMI DI MASCARA!! E ANCHE CON LE MIE VERE MATERIE! OVVIO 😍😁😲🤑💗✨🎀😮
Chiara
utente IOS
Questa app è una delle migliori, nient’altro da dire.
Andrea
utente iOS
L'applicazione è molto facile da usare e ben progettata. Finora ho trovato tutto quello che cercavo e ho potuto imparare molto dalle presentazioni! Utilizzerò sicuramente l'app per i compiti in classe! È molto utile anche come fonte di ispirazione.
Stefano S
utente iOS
Questa applicazione è davvero grande! Ci sono tantissimi appunti e aiuti con lo studio [...]. La mia materia problematica, per esempio, è il francese e l'app ha così tante opzioni per aiutarmi. Grazie a questa app ho migliorato il mio francese. La consiglio a tutti.
Samantha Klich
utente Android
Wow, sono davvero stupita. Ho appena provato l'app perché l'ho vista pubblicizzata molte volte e sono rimasta assolutamente sbalordita. Questa app è L'AIUTO che cercate per la scuola e soprattutto offre tantissime cose, come allenamenti e schede, che a me personalmente sono state MOLTO utili.
Anna
utente iOS
È bellissima questa app, la adoro. È utilissima per lo studio e mi aiuta molto, anzi moltissimo, ma soprattutto mi aiutano molto i quiz, per memorizzare anche quello che non sapevo
Anastasia
utente Android
Fantastica per qualsiasi materia avere gli appunti anche di altre persone è molto utile perchè posso confrontarmi e vedere come migliorarmi. con i quiz riesco ad apprendere al meglio.
Francesca
utente Android
moooolto utile,gli appunti sono belli e funzionanti,schoolGPT da dei consigli formidabili!!
Marianna
utente Android
L'applicazione è semplicemente fantastica! Tutto ciò che devo fare è inserire l'argomento nella barra di ricerca e ottengo la risposta molto velocemente. Non devo guardare 10 video di YouTube per capire qualcosa, quindi risparmio tempo. Consigliatissima!
Sudenaz Ocak
utente Android
A scuola andavo malissimo in matematica, ma grazie a questa applicazione ora vado meglio. Vi sono molto grato per aver creato questa app.
Greenlight Bonnie
utente Android
Knowunity è un applicazione fantastica,considerando che ha degli schemi veramente molto carini e sfiziosi e che ci sono dei quiz,oltre al fatto che questa cosa dell intelligenza artificiale "school gpt" è almeno per me molto utile, perché a differenza di Chatgpt ti da le spiegazioni, ti spiega ciò che non è chiaro! Posso studiare più velocemente tramite gli schemi e che posso pubblicare io stessa gli schemi è una funzione utilissima per gli altri studenti. Knowunity è PERFETTA
Aurora
utente Android
L’app funziona benissimo e puoi trovare qualsiasi tipo di informazione. Non ho l’abbonamento ma la parte gratuita è sufficiente per uno studio approfondito.
Martina
utente iOS
I quiz E LE flashcard SONO COSÌ UTILI E ADORO Knowunity IA. È ANCHE LETTERALMENTE COME CHATGPT MA PIÙ INTELLIGENTE!! MI HA AIUTATO ANCHE COI MIEI PROBLEMI DI MASCARA!! E ANCHE CON LE MIE VERE MATERIE! OVVIO 😍😁😲🤑💗✨🎀😮
Chiara
utente IOS
Questa app è una delle migliori, nient’altro da dire.
Andrea
utente iOS