Immaginati di dover spiegare perché un palloncino scoppia quando fa... Mostra di più
Iscriviti per mostrare il contenutoÈ gratis!
Accesso a tutti i documenti
Migliora i tuoi voti
Unisciti a milioni di studenti
Knowunity AI
Materie
Triangle Congruence and Similarity Theorems
Triangle Properties and Classification
Linear Equations and Graphs
Geometric Angle Relationships
Trigonometric Functions and Identities
Equation Solving Techniques
Circle Geometry Fundamentals
Division Operations and Methods
Basic Differentiation Rules
Exponent and Logarithm Properties
Mostra tutti gli argomenti
Human Organ Systems
Reproductive Cell Cycles
Biological Sciences Subdisciplines
Cellular Energy Metabolism
Autotrophic Energy Processes
Inheritance Patterns and Principles
Biomolecular Structure and Organization
Cell Cycle and Division Mechanics
Cellular Organization and Development
Biological Structural Organization
Mostra tutti gli argomenti
Chemical Sciences and Applications
Atomic Structure and Composition
Molecular Electron Structure Representation
Atomic Electron Behavior
Matter Properties and Water
Mole Concept and Calculations
Gas Laws and Behavior
Periodic Table Organization
Chemical Thermodynamics Fundamentals
Chemical Bond Types and Properties
Mostra tutti gli argomenti
European Renaissance and Enlightenment
European Cultural Movements 800-1920
American Revolution Era 1763-1797
American Civil War 1861-1865
Global Imperial Systems
Mongol and Chinese Dynasties
U.S. Presidents and World Leaders
Historical Sources and Documentation
World Wars Era and Impact
World Religious Systems
Mostra tutti gli argomenti
Classic and Contemporary Novels
Literary Character Analysis
Rhetorical Theory and Practice
Classic Literary Narratives
Reading Analysis and Interpretation
Narrative Structure and Techniques
English Language Components
Influential English-Language Authors
Basic Sentence Structure
Narrative Voice and Perspective
Mostra tutti gli argomenti
1,635
•
Aggiornato Apr 6, 2026
•
Tommaso Vicenzi
@tommy.vice
Immaginati di dover spiegare perché un palloncino scoppia quando fa... Mostra di più











Sapevi che ogni volta che respiri o apri una bottiglia di coca cola stai interagendo con i gas? La differenza principale è semplice: un vapore può diventare liquido solo con la pressione, mentre un gas ha bisogno anche di essere raffreddato sotto una certa temperatura critica.
Le particelle dei gas sono come palline impazzite che rimbalzano ovunque a velocità altissima. Quando queste particelle colpiscono le pareti del contenitore, creano la pressione . È proprio quello che succede quando l'aria spinge contro la tua pelle!
Per misurare la pressione usiamo diverse unità: 1 atm = 760 torr = 760 mmHg = 1,013 × 10⁵ Pa. Ricorda che 1 atmosfera è la pressione dell'aria al livello del mare.
💡 Trucco per ricordare: Pensa ai gas come a una discoteca piena di gente che balla freneticamente - più spazio hanno, meno si scontrano (meno pressione)!
Il comportamento di un gas dipende da tre variabili di stato: pressione, volume e temperatura. Cambia una di queste e vedrai il gas comportarsi diversamente. I gas ideali seguono perfettamente le leggi che studieremo, mentre i gas reali si avvicinano a questo comportamento quando hanno bassa pressione e alta temperatura.

Ti è mai capitato di schiacciare una siringa senza ago e sentire resistenza? Quella è la Legge di Boyle in azione! A temperatura costante, se aumenti la pressione, il volume diminuisce: p · V = costante.
È una relazione inversamente proporzionale - come un'altalena dove quando uno sale, l'altro scende. Questa legge è detta isoterma perché la temperatura resta uguale.
La Legge di Charles funziona al contrario. Se riscaldi un gas a pressione costante, il suo volume aumenta proporzionalmente alla temperatura: V/T = costante. Ecco perché i palloncini si gonfiano al sole!
💡 Memoria visiva: Charles = Calore = Crescita del volume. Boyle = schiacciare una Bottiglia!
La Legge di Gay-Lussac completa il trio: a volume costante, più riscaldi un gas, più aumenta la pressione: p/T = costante. È detta isocora (volume costante).
Tutte queste leggi usano la temperatura in Kelvin , non in Celsius. I gas si comportano in modo più prevedibile quando usiamo la scala assoluta!

Ecco un fatto incredibile: volumi uguali di gas diversi, nelle stesse condizioni, contengono lo stesso numero di particelle! Non importa se è idrogeno leggero o anidride carbonica pesante - una mole di qualsiasi gas occupa sempre 22,4 L a STP (0°C, 1 atm).
Il Principio di Avogadro ci dice che il volume è direttamente proporzionale al numero di moli: V ∝ n. Più gas aggiungi, più volume occupa - logico, no?
Quando hai una miscela di gas (come l'aria che respiri), ogni gas contribuisce alla pressione totale. La Legge di Dalton è semplice: P_totale = P_gas1 + P_gas2 + ... + P_gasN.
💡 Analogia della festa: Immagina una stanza piena di persone di altezze diverse - anche se sono diverse, occupano comunque la stessa quantità di "spazio sociale"!
La pressione parziale di ogni gas dipende dalla sua frazione molare: P_gas = × P_totale. È come dividere una pizza in base a quanta fame ha ognuno!

Ora mettiamo tutto insieme! La legge combinata dei gas unisce Boyle, Charles e Gay-Lussac in una formula potentissima: pV/T = costante. Questo vale quando la quantità di gas non cambia.
Ma quando consideri anche le moli, ottieni la legge dei gas ideali: pV = nRT. Qui R è la costante universale dei gas - memorizzala bene perché la userai tantissimo!
La Legge di Graham ci spiega perché senti prima l'odore del profumo che quello del deodorante. I gas più leggeri si muovono più velocemente: v ∝ 1/√MM.
💡 Regola pratica: Gas leggero = veloce come una bicicletta; gas pesante = lento come un camion!
Il rapporto tra le velocità di due gas è: v_A/v_B = √. Questo vale sia per la diffusione (mescolamento spontaneo) che per l'effusione (passaggio attraverso un forellino).
Queste leggi sono i tuoi strumenti per risolvere qualsiasi problema sui gas. Una volta capite, i calcoli diventeranno automatici!

Vuoi capire davvero cosa succede dentro un gas? La teoria cinetica ce lo spiega con quattro postulati semplici ma geniali.
I gas ideali sono fatti di particelle piccolissime che si muovono continuamente. Il loro volume è trascurabile rispetto al contenitore, non si attraggono tra loro e i loro urti sono perfettamente elastici (come palle da biliardo perfette).
Questa teoria spiega brillantemente tutte le leggi che hai studiato! Legge di Boyle: meno spazio = più urti = più pressione. Gay-Lussac: più calore = particelle più veloci = più urti = più pressione.
💡 Visualizza: Immagina migliaia di palline da ping-pong che rimbalzano furiosamente in una scatola - ecco com'è fatto un gas!
Per la Legge di Charles, temperature più alte significano particelle più veloci, quindi il gas deve espandersi per mantenere la stessa pressione. La Legge di Graham funziona perché alla stessa temperatura, l'energia cinetica è uguale , ma le particelle leggere devono muoversi più velocemente!
Questa teoria trasforma i gas da sostanze misteriose a sistemi perfettamente comprensibili. Ogni comportamento ha una spiegazione logica a livello molecolare!

Ecco dove la teoria diventa pratica! Nel primo esercizio hai una miscela di H₂S e H₂ - devi trovare le pressioni parziali usando la legge di Dalton.
Prima calcoli le moli di ogni gas: n_H₂S = 40g/34,09g/mol = 1,17 mol; n_H₂ = 12g/2,02g/mol = 5,94 mol. Poi usi le frazioni molari: P_H₂S = (1,17/7,11) × 5,0 atm = 0,82 atm.
Il secondo esercizio confronta le velocità di elio e radon con la legge di Graham: v_He/v_Rn = √(222/4,00) = 7,45. L'elio è quasi 7,5 volte più veloce!
💡 Strategia vincente: Prima identifica quale legge usare, poi controlla sempre che le unità di misura siano coerenti!
Nel terzo esercizio usi i tempi di effusione per trovare la massa molare. Ricorda: tempo e velocità sono inversamente proporzionali, quindi t_Ar/t = √.
La chiave è organizzare sempre i dati, identificare la legge giusta e procedere step by step. Con un po' di pratica diventerai velocissimo!

Questi esercizi ti mostrano come usare le leggi dei gas in situazioni reali. L'esercizio del gas anestetico usa la legge di Charles perché la pressione è costante.
Devi sempre convertire le temperature in Kelvin! 20°C diventa 293 K, 37°C diventa 310 K. Poi applichi V₁/T₁ = V₂/T₂ per trovare che il volume aumenta da 1,60 L a 1,69 L.
L'esercizio successivo usa la legge di Gay-Lussac a volume costante. Il gas si raffredda da 20°C a -10°C, quindi la pressione diminuisce da 0,7 kPa a 630 Pa.
💡 Attenzione alle temperature: Mai dimenticare la conversione in Kelvin! È l'errore più comune.
L'ultimo esercizio combina tutte e tre le variabili usando la legge combinata: (P₁V₁)/T₁ = (P₂V₂)/T₂. Il gas refrigerante viene compresso e la temperatura finale scende drasticamente a -82°C.
Nota come la compressione (volume che diminuisce) e l'aumento di pressione portano a un raffreddamento estremo - è così che funzionano i frigoriferi!

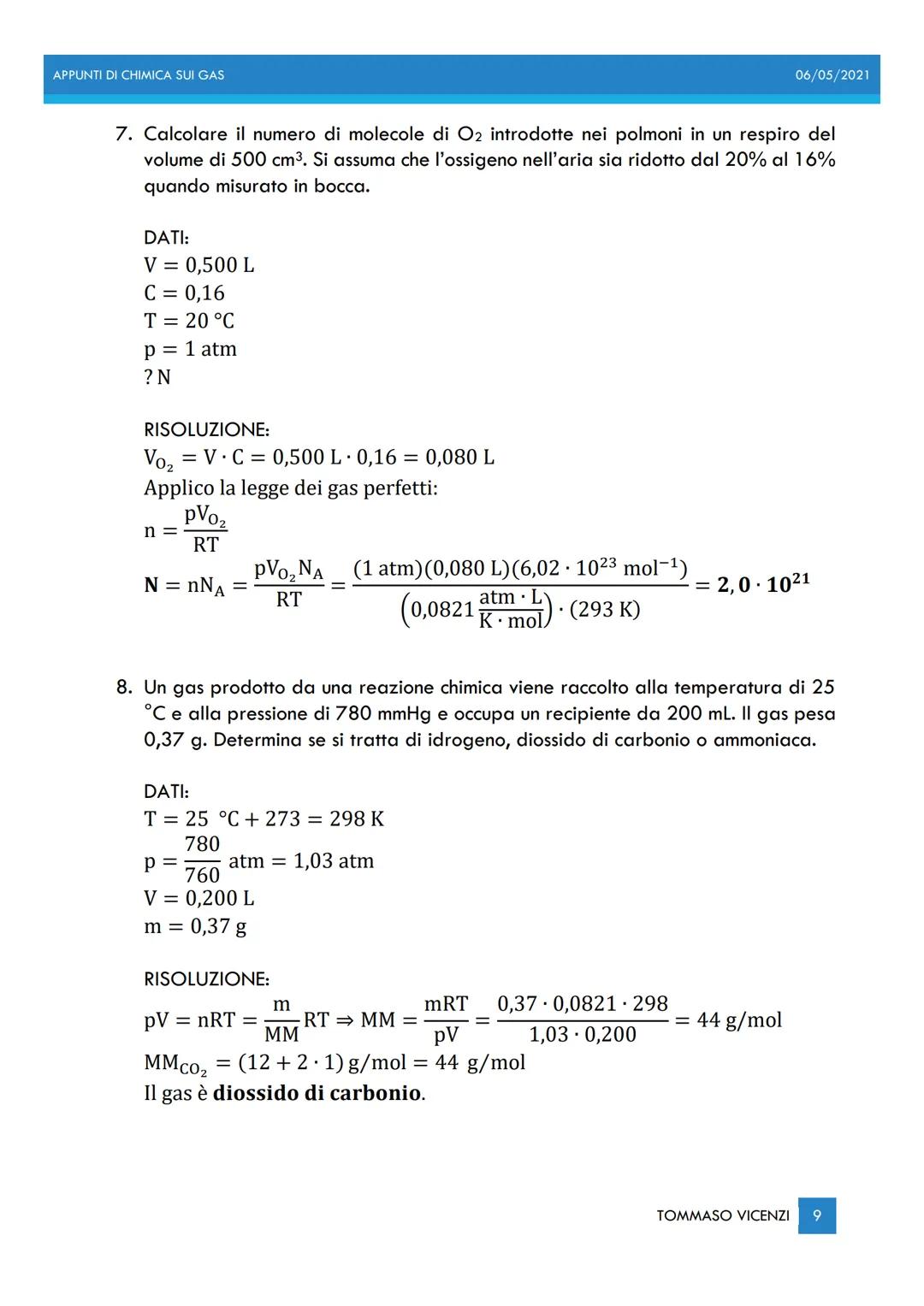
L'esercizio sulla respirazione è affascinante: calcola quante molecole di O₂ entrano nei polmoni! L'ossigeno passa dal 20% al 16%, quindi assorbiamo 0,080 L di O₂ puro.
Usi la legge dei gas ideali per trovare le moli, poi moltiplichi per il numero di Avogadro: N = /(RT) = 2,0 × 10²¹ molecole. Incredibile quante particelle in un solo respiro!
L'esercizio successivo ti fa da detective chimico. Hai un gas misterioso: calcoli la massa molare con pV = nRT, ottieni 44 g/mol, e scopri che è CO₂!
💡 Metodo investigativo: Massa molare + proprietà chimiche = identificazione certa del composto!
La formula è: MM = (mRT)/(pV). Confronti il risultato con le masse molari note: H₂ = 2 g/mol, NH₃ = 17 g/mol, CO₂ = 44 g/mol. Il tuo gas ha 44 g/mol, quindi è anidride carbonica!
Questi calcoli ti preparano per problemi più complessi dove chimica e fisica si uniscono perfettamente.

L'ultimo esercizio è un capolavoro di chimica analitica! Devi trovare la formula molecolare di un gas partendo dalla sua decomposizione.
Prima calcoli le percentuali: C = 86%, H = 14%. Poi usi la legge dei gas ideali per trovare la massa molare: MM = (mRT)/(pV) = 42,26 g/mol.
Il passo successivo è trovare la formula empirica. Calcoli le moli di ogni elemento: n_C = 0,12 mol, n_H = 0,23 mol. Il rapporto è 1:2, quindi la formula empirica è CH₂.
💡 Strategia completa: Composizione % → Formula empirica → Massa molare → Formula molecolare!
La massa molare di CH₂ è 14,03 g/mol, ma quella sperimentale è 42,26 g/mol. Il rapporto è 42,26/14,03 = 3, quindi devi moltiplicare per 3: C₃H₆.
Questo tipo di problema unisce analisi elementare, leggi dei gas e stechiometria. È complesso ma molto soddisfacente quando arrivi alla soluzione corretta! Con questo metodo puoi identificare qualsiasi composto gassoso.

Il nostro assistente AI è costruito specificamente per le esigenze degli studenti. Sulla base dei milioni di contenuti presenti sulla piattaforma, possiamo fornire agli studenti risposte davvero significative e pertinenti. Ma non si tratta solo di risposte, l'assistente è in grado di guidare gli studenti attraverso le loro sfide quotidiane di studio, con piani di studio personalizzati, quiz o contenuti nella chat e una personalizzazione al 100% basata sulle competenze e sugli sviluppi degli studenti.
È possibile scaricare l'applicazione dal Google Play Store e dall'Apple App Store.
Sì, hai accesso completamente gratuito a tutti i contenuti nell'app e puoi chattare o seguire i Creatori in qualsiasi momento. Sbloccherai nuove funzioni crescendo il tuo numero di follower. Inoltre, offriamo Knowunity Premium, che consente di studiare senza alcun limite!!
App Store
Google Play
L'applicazione è molto facile da usare e ben progettata. Finora ho trovato tutto quello che cercavo e ho potuto imparare molto dalle presentazioni! Utilizzerò sicuramente l'app per i compiti in classe! È molto utile anche come fonte di ispirazione.
Stefano S
utente iOS
Questa applicazione è davvero grande! Ci sono tantissimi appunti e aiuti con lo studio [...]. La mia materia problematica, per esempio, è il francese e l'app ha così tante opzioni per aiutarmi. Grazie a questa app ho migliorato il mio francese. La consiglio a tutti.
Samantha Klich
utente Android
Wow, sono davvero stupita. Ho appena provato l'app perché l'ho vista pubblicizzata molte volte e sono rimasta assolutamente sbalordita. Questa app è L'AIUTO che cercate per la scuola e soprattutto offre tantissime cose, come allenamenti e schede, che a me personalmente sono state MOLTO utili.
Anna
utente iOS
È bellissima questa app, la adoro. È utilissima per lo studio e mi aiuta molto, anzi moltissimo, ma soprattutto mi aiutano molto i quiz, per memorizzare anche quello che non sapevo
Anastasia
utente Android
Fantastica per qualsiasi materia avere gli appunti anche di altre persone è molto utile perchè posso confrontarmi e vedere come migliorarmi. con i quiz riesco ad apprendere al meglio.
Francesca
utente Android
moooolto utile,gli appunti sono belli e funzionanti,schoolGPT da dei consigli formidabili!!
Marianna
utente Android
L'applicazione è semplicemente fantastica! Tutto ciò che devo fare è inserire l'argomento nella barra di ricerca e ottengo la risposta molto velocemente. Non devo guardare 10 video di YouTube per capire qualcosa, quindi risparmio tempo. Consigliatissima!
Sudenaz Ocak
utente Android
A scuola andavo malissimo in matematica, ma grazie a questa applicazione ora vado meglio. Vi sono molto grato per aver creato questa app.
Greenlight Bonnie
utente Android
Knowunity è un applicazione fantastica,considerando che ha degli schemi veramente molto carini e sfiziosi e che ci sono dei quiz,oltre al fatto che questa cosa dell intelligenza artificiale "school gpt" è almeno per me molto utile, perché a differenza di Chatgpt ti da le spiegazioni, ti spiega ciò che non è chiaro! Posso studiare più velocemente tramite gli schemi e che posso pubblicare io stessa gli schemi è una funzione utilissima per gli altri studenti. Knowunity è PERFETTA
Aurora
utente Android
L’app funziona benissimo e puoi trovare qualsiasi tipo di informazione. Non ho l’abbonamento ma la parte gratuita è sufficiente per uno studio approfondito.
Martina
utente iOS
I quiz E LE flashcard SONO COSÌ UTILI E ADORO Knowunity IA. È ANCHE LETTERALMENTE COME CHATGPT MA PIÙ INTELLIGENTE!! MI HA AIUTATO ANCHE COI MIEI PROBLEMI DI MASCARA!! E ANCHE CON LE MIE VERE MATERIE! OVVIO 😍😁😲🤑💗✨🎀😮
Chiara
utente IOS
Questa app è una delle migliori, nient’altro da dire.
Andrea
utente iOS
L'applicazione è molto facile da usare e ben progettata. Finora ho trovato tutto quello che cercavo e ho potuto imparare molto dalle presentazioni! Utilizzerò sicuramente l'app per i compiti in classe! È molto utile anche come fonte di ispirazione.
Stefano S
utente iOS
Questa applicazione è davvero grande! Ci sono tantissimi appunti e aiuti con lo studio [...]. La mia materia problematica, per esempio, è il francese e l'app ha così tante opzioni per aiutarmi. Grazie a questa app ho migliorato il mio francese. La consiglio a tutti.
Samantha Klich
utente Android
Wow, sono davvero stupita. Ho appena provato l'app perché l'ho vista pubblicizzata molte volte e sono rimasta assolutamente sbalordita. Questa app è L'AIUTO che cercate per la scuola e soprattutto offre tantissime cose, come allenamenti e schede, che a me personalmente sono state MOLTO utili.
Anna
utente iOS
È bellissima questa app, la adoro. È utilissima per lo studio e mi aiuta molto, anzi moltissimo, ma soprattutto mi aiutano molto i quiz, per memorizzare anche quello che non sapevo
Anastasia
utente Android
Fantastica per qualsiasi materia avere gli appunti anche di altre persone è molto utile perchè posso confrontarmi e vedere come migliorarmi. con i quiz riesco ad apprendere al meglio.
Francesca
utente Android
moooolto utile,gli appunti sono belli e funzionanti,schoolGPT da dei consigli formidabili!!
Marianna
utente Android
L'applicazione è semplicemente fantastica! Tutto ciò che devo fare è inserire l'argomento nella barra di ricerca e ottengo la risposta molto velocemente. Non devo guardare 10 video di YouTube per capire qualcosa, quindi risparmio tempo. Consigliatissima!
Sudenaz Ocak
utente Android
A scuola andavo malissimo in matematica, ma grazie a questa applicazione ora vado meglio. Vi sono molto grato per aver creato questa app.
Greenlight Bonnie
utente Android
Knowunity è un applicazione fantastica,considerando che ha degli schemi veramente molto carini e sfiziosi e che ci sono dei quiz,oltre al fatto che questa cosa dell intelligenza artificiale "school gpt" è almeno per me molto utile, perché a differenza di Chatgpt ti da le spiegazioni, ti spiega ciò che non è chiaro! Posso studiare più velocemente tramite gli schemi e che posso pubblicare io stessa gli schemi è una funzione utilissima per gli altri studenti. Knowunity è PERFETTA
Aurora
utente Android
L’app funziona benissimo e puoi trovare qualsiasi tipo di informazione. Non ho l’abbonamento ma la parte gratuita è sufficiente per uno studio approfondito.
Martina
utente iOS
I quiz E LE flashcard SONO COSÌ UTILI E ADORO Knowunity IA. È ANCHE LETTERALMENTE COME CHATGPT MA PIÙ INTELLIGENTE!! MI HA AIUTATO ANCHE COI MIEI PROBLEMI DI MASCARA!! E ANCHE CON LE MIE VERE MATERIE! OVVIO 😍😁😲🤑💗✨🎀😮
Chiara
utente IOS
Questa app è una delle migliori, nient’altro da dire.
Andrea
utente iOS
Tommaso Vicenzi
@tommy.vice
Immaginati di dover spiegare perché un palloncino scoppia quando fa troppo caldo o perché senti l'odore del cibo dalla cucina anche se sei in camera tua. Tutto questo ha a che fare con i gas e le loro proprietà! Studiare... Mostra di più

Accesso a tutti i documenti
Migliora i tuoi voti
Unisciti a milioni di studenti
Sapevi che ogni volta che respiri o apri una bottiglia di coca cola stai interagendo con i gas? La differenza principale è semplice: un vapore può diventare liquido solo con la pressione, mentre un gas ha bisogno anche di essere raffreddato sotto una certa temperatura critica.
Le particelle dei gas sono come palline impazzite che rimbalzano ovunque a velocità altissima. Quando queste particelle colpiscono le pareti del contenitore, creano la pressione . È proprio quello che succede quando l'aria spinge contro la tua pelle!
Per misurare la pressione usiamo diverse unità: 1 atm = 760 torr = 760 mmHg = 1,013 × 10⁵ Pa. Ricorda che 1 atmosfera è la pressione dell'aria al livello del mare.
💡 Trucco per ricordare: Pensa ai gas come a una discoteca piena di gente che balla freneticamente - più spazio hanno, meno si scontrano (meno pressione)!
Il comportamento di un gas dipende da tre variabili di stato: pressione, volume e temperatura. Cambia una di queste e vedrai il gas comportarsi diversamente. I gas ideali seguono perfettamente le leggi che studieremo, mentre i gas reali si avvicinano a questo comportamento quando hanno bassa pressione e alta temperatura.

Accesso a tutti i documenti
Migliora i tuoi voti
Unisciti a milioni di studenti
Ti è mai capitato di schiacciare una siringa senza ago e sentire resistenza? Quella è la Legge di Boyle in azione! A temperatura costante, se aumenti la pressione, il volume diminuisce: p · V = costante.
È una relazione inversamente proporzionale - come un'altalena dove quando uno sale, l'altro scende. Questa legge è detta isoterma perché la temperatura resta uguale.
La Legge di Charles funziona al contrario. Se riscaldi un gas a pressione costante, il suo volume aumenta proporzionalmente alla temperatura: V/T = costante. Ecco perché i palloncini si gonfiano al sole!
💡 Memoria visiva: Charles = Calore = Crescita del volume. Boyle = schiacciare una Bottiglia!
La Legge di Gay-Lussac completa il trio: a volume costante, più riscaldi un gas, più aumenta la pressione: p/T = costante. È detta isocora (volume costante).
Tutte queste leggi usano la temperatura in Kelvin , non in Celsius. I gas si comportano in modo più prevedibile quando usiamo la scala assoluta!

Accesso a tutti i documenti
Migliora i tuoi voti
Unisciti a milioni di studenti
Ecco un fatto incredibile: volumi uguali di gas diversi, nelle stesse condizioni, contengono lo stesso numero di particelle! Non importa se è idrogeno leggero o anidride carbonica pesante - una mole di qualsiasi gas occupa sempre 22,4 L a STP (0°C, 1 atm).
Il Principio di Avogadro ci dice che il volume è direttamente proporzionale al numero di moli: V ∝ n. Più gas aggiungi, più volume occupa - logico, no?
Quando hai una miscela di gas (come l'aria che respiri), ogni gas contribuisce alla pressione totale. La Legge di Dalton è semplice: P_totale = P_gas1 + P_gas2 + ... + P_gasN.
💡 Analogia della festa: Immagina una stanza piena di persone di altezze diverse - anche se sono diverse, occupano comunque la stessa quantità di "spazio sociale"!
La pressione parziale di ogni gas dipende dalla sua frazione molare: P_gas = × P_totale. È come dividere una pizza in base a quanta fame ha ognuno!

Accesso a tutti i documenti
Migliora i tuoi voti
Unisciti a milioni di studenti
Ora mettiamo tutto insieme! La legge combinata dei gas unisce Boyle, Charles e Gay-Lussac in una formula potentissima: pV/T = costante. Questo vale quando la quantità di gas non cambia.
Ma quando consideri anche le moli, ottieni la legge dei gas ideali: pV = nRT. Qui R è la costante universale dei gas - memorizzala bene perché la userai tantissimo!
La Legge di Graham ci spiega perché senti prima l'odore del profumo che quello del deodorante. I gas più leggeri si muovono più velocemente: v ∝ 1/√MM.
💡 Regola pratica: Gas leggero = veloce come una bicicletta; gas pesante = lento come un camion!
Il rapporto tra le velocità di due gas è: v_A/v_B = √. Questo vale sia per la diffusione (mescolamento spontaneo) che per l'effusione (passaggio attraverso un forellino).
Queste leggi sono i tuoi strumenti per risolvere qualsiasi problema sui gas. Una volta capite, i calcoli diventeranno automatici!

Accesso a tutti i documenti
Migliora i tuoi voti
Unisciti a milioni di studenti
Vuoi capire davvero cosa succede dentro un gas? La teoria cinetica ce lo spiega con quattro postulati semplici ma geniali.
I gas ideali sono fatti di particelle piccolissime che si muovono continuamente. Il loro volume è trascurabile rispetto al contenitore, non si attraggono tra loro e i loro urti sono perfettamente elastici (come palle da biliardo perfette).
Questa teoria spiega brillantemente tutte le leggi che hai studiato! Legge di Boyle: meno spazio = più urti = più pressione. Gay-Lussac: più calore = particelle più veloci = più urti = più pressione.
💡 Visualizza: Immagina migliaia di palline da ping-pong che rimbalzano furiosamente in una scatola - ecco com'è fatto un gas!
Per la Legge di Charles, temperature più alte significano particelle più veloci, quindi il gas deve espandersi per mantenere la stessa pressione. La Legge di Graham funziona perché alla stessa temperatura, l'energia cinetica è uguale , ma le particelle leggere devono muoversi più velocemente!
Questa teoria trasforma i gas da sostanze misteriose a sistemi perfettamente comprensibili. Ogni comportamento ha una spiegazione logica a livello molecolare!

Accesso a tutti i documenti
Migliora i tuoi voti
Unisciti a milioni di studenti
Ecco dove la teoria diventa pratica! Nel primo esercizio hai una miscela di H₂S e H₂ - devi trovare le pressioni parziali usando la legge di Dalton.
Prima calcoli le moli di ogni gas: n_H₂S = 40g/34,09g/mol = 1,17 mol; n_H₂ = 12g/2,02g/mol = 5,94 mol. Poi usi le frazioni molari: P_H₂S = (1,17/7,11) × 5,0 atm = 0,82 atm.
Il secondo esercizio confronta le velocità di elio e radon con la legge di Graham: v_He/v_Rn = √(222/4,00) = 7,45. L'elio è quasi 7,5 volte più veloce!
💡 Strategia vincente: Prima identifica quale legge usare, poi controlla sempre che le unità di misura siano coerenti!
Nel terzo esercizio usi i tempi di effusione per trovare la massa molare. Ricorda: tempo e velocità sono inversamente proporzionali, quindi t_Ar/t = √.
La chiave è organizzare sempre i dati, identificare la legge giusta e procedere step by step. Con un po' di pratica diventerai velocissimo!

Accesso a tutti i documenti
Migliora i tuoi voti
Unisciti a milioni di studenti
Questi esercizi ti mostrano come usare le leggi dei gas in situazioni reali. L'esercizio del gas anestetico usa la legge di Charles perché la pressione è costante.
Devi sempre convertire le temperature in Kelvin! 20°C diventa 293 K, 37°C diventa 310 K. Poi applichi V₁/T₁ = V₂/T₂ per trovare che il volume aumenta da 1,60 L a 1,69 L.
L'esercizio successivo usa la legge di Gay-Lussac a volume costante. Il gas si raffredda da 20°C a -10°C, quindi la pressione diminuisce da 0,7 kPa a 630 Pa.
💡 Attenzione alle temperature: Mai dimenticare la conversione in Kelvin! È l'errore più comune.
L'ultimo esercizio combina tutte e tre le variabili usando la legge combinata: (P₁V₁)/T₁ = (P₂V₂)/T₂. Il gas refrigerante viene compresso e la temperatura finale scende drasticamente a -82°C.
Nota come la compressione (volume che diminuisce) e l'aumento di pressione portano a un raffreddamento estremo - è così che funzionano i frigoriferi!

Accesso a tutti i documenti
Migliora i tuoi voti
Unisciti a milioni di studenti
L'esercizio sulla respirazione è affascinante: calcola quante molecole di O₂ entrano nei polmoni! L'ossigeno passa dal 20% al 16%, quindi assorbiamo 0,080 L di O₂ puro.
Usi la legge dei gas ideali per trovare le moli, poi moltiplichi per il numero di Avogadro: N = /(RT) = 2,0 × 10²¹ molecole. Incredibile quante particelle in un solo respiro!
L'esercizio successivo ti fa da detective chimico. Hai un gas misterioso: calcoli la massa molare con pV = nRT, ottieni 44 g/mol, e scopri che è CO₂!
💡 Metodo investigativo: Massa molare + proprietà chimiche = identificazione certa del composto!
La formula è: MM = (mRT)/(pV). Confronti il risultato con le masse molari note: H₂ = 2 g/mol, NH₃ = 17 g/mol, CO₂ = 44 g/mol. Il tuo gas ha 44 g/mol, quindi è anidride carbonica!
Questi calcoli ti preparano per problemi più complessi dove chimica e fisica si uniscono perfettamente.

Accesso a tutti i documenti
Migliora i tuoi voti
Unisciti a milioni di studenti
L'ultimo esercizio è un capolavoro di chimica analitica! Devi trovare la formula molecolare di un gas partendo dalla sua decomposizione.
Prima calcoli le percentuali: C = 86%, H = 14%. Poi usi la legge dei gas ideali per trovare la massa molare: MM = (mRT)/(pV) = 42,26 g/mol.
Il passo successivo è trovare la formula empirica. Calcoli le moli di ogni elemento: n_C = 0,12 mol, n_H = 0,23 mol. Il rapporto è 1:2, quindi la formula empirica è CH₂.
💡 Strategia completa: Composizione % → Formula empirica → Massa molare → Formula molecolare!
La massa molare di CH₂ è 14,03 g/mol, ma quella sperimentale è 42,26 g/mol. Il rapporto è 42,26/14,03 = 3, quindi devi moltiplicare per 3: C₃H₆.
Questo tipo di problema unisce analisi elementare, leggi dei gas e stechiometria. È complesso ma molto soddisfacente quando arrivi alla soluzione corretta! Con questo metodo puoi identificare qualsiasi composto gassoso.

Accesso a tutti i documenti
Migliora i tuoi voti
Unisciti a milioni di studenti
Il nostro assistente AI è costruito specificamente per le esigenze degli studenti. Sulla base dei milioni di contenuti presenti sulla piattaforma, possiamo fornire agli studenti risposte davvero significative e pertinenti. Ma non si tratta solo di risposte, l'assistente è in grado di guidare gli studenti attraverso le loro sfide quotidiane di studio, con piani di studio personalizzati, quiz o contenuti nella chat e una personalizzazione al 100% basata sulle competenze e sugli sviluppi degli studenti.
È possibile scaricare l'applicazione dal Google Play Store e dall'Apple App Store.
Sì, hai accesso completamente gratuito a tutti i contenuti nell'app e puoi chattare o seguire i Creatori in qualsiasi momento. Sbloccherai nuove funzioni crescendo il tuo numero di follower. Inoltre, offriamo Knowunity Premium, che consente di studiare senza alcun limite!!
19
Strumenti Intelligenti NUOVO
Trasforma questi appunti in: ✓ 50+ Domande di Pratica ✓ Flashcard Interattive ✓ Simulazione d'esame completa ✓ Schemi per Saggi
Argomenti principali e inizio del percorso di chimica accompagnato da mappe e tabelle, inziando da Scienze della Terra.
Gli stati della materia e le tecniche di separazione
gli argomenti trattati sono: massa atomica relativa, massa atomica media, massa molecolare, la mole, massa molare, costante di Avogadro, calcoli con le moli e con la costante di Avogadro, composizione percentuale e calcolare la formula minima
nomenclatura tradizionale, IUPAC e di Stock
appunti sulle basi della chimica
schema di sintesi sulla chimica e le grandezze
App Store
Google Play
L'applicazione è molto facile da usare e ben progettata. Finora ho trovato tutto quello che cercavo e ho potuto imparare molto dalle presentazioni! Utilizzerò sicuramente l'app per i compiti in classe! È molto utile anche come fonte di ispirazione.
Stefano S
utente iOS
Questa applicazione è davvero grande! Ci sono tantissimi appunti e aiuti con lo studio [...]. La mia materia problematica, per esempio, è il francese e l'app ha così tante opzioni per aiutarmi. Grazie a questa app ho migliorato il mio francese. La consiglio a tutti.
Samantha Klich
utente Android
Wow, sono davvero stupita. Ho appena provato l'app perché l'ho vista pubblicizzata molte volte e sono rimasta assolutamente sbalordita. Questa app è L'AIUTO che cercate per la scuola e soprattutto offre tantissime cose, come allenamenti e schede, che a me personalmente sono state MOLTO utili.
Anna
utente iOS
È bellissima questa app, la adoro. È utilissima per lo studio e mi aiuta molto, anzi moltissimo, ma soprattutto mi aiutano molto i quiz, per memorizzare anche quello che non sapevo
Anastasia
utente Android
Fantastica per qualsiasi materia avere gli appunti anche di altre persone è molto utile perchè posso confrontarmi e vedere come migliorarmi. con i quiz riesco ad apprendere al meglio.
Francesca
utente Android
moooolto utile,gli appunti sono belli e funzionanti,schoolGPT da dei consigli formidabili!!
Marianna
utente Android
L'applicazione è semplicemente fantastica! Tutto ciò che devo fare è inserire l'argomento nella barra di ricerca e ottengo la risposta molto velocemente. Non devo guardare 10 video di YouTube per capire qualcosa, quindi risparmio tempo. Consigliatissima!
Sudenaz Ocak
utente Android
A scuola andavo malissimo in matematica, ma grazie a questa applicazione ora vado meglio. Vi sono molto grato per aver creato questa app.
Greenlight Bonnie
utente Android
Knowunity è un applicazione fantastica,considerando che ha degli schemi veramente molto carini e sfiziosi e che ci sono dei quiz,oltre al fatto che questa cosa dell intelligenza artificiale "school gpt" è almeno per me molto utile, perché a differenza di Chatgpt ti da le spiegazioni, ti spiega ciò che non è chiaro! Posso studiare più velocemente tramite gli schemi e che posso pubblicare io stessa gli schemi è una funzione utilissima per gli altri studenti. Knowunity è PERFETTA
Aurora
utente Android
L’app funziona benissimo e puoi trovare qualsiasi tipo di informazione. Non ho l’abbonamento ma la parte gratuita è sufficiente per uno studio approfondito.
Martina
utente iOS
I quiz E LE flashcard SONO COSÌ UTILI E ADORO Knowunity IA. È ANCHE LETTERALMENTE COME CHATGPT MA PIÙ INTELLIGENTE!! MI HA AIUTATO ANCHE COI MIEI PROBLEMI DI MASCARA!! E ANCHE CON LE MIE VERE MATERIE! OVVIO 😍😁😲🤑💗✨🎀😮
Chiara
utente IOS
Questa app è una delle migliori, nient’altro da dire.
Andrea
utente iOS
L'applicazione è molto facile da usare e ben progettata. Finora ho trovato tutto quello che cercavo e ho potuto imparare molto dalle presentazioni! Utilizzerò sicuramente l'app per i compiti in classe! È molto utile anche come fonte di ispirazione.
Stefano S
utente iOS
Questa applicazione è davvero grande! Ci sono tantissimi appunti e aiuti con lo studio [...]. La mia materia problematica, per esempio, è il francese e l'app ha così tante opzioni per aiutarmi. Grazie a questa app ho migliorato il mio francese. La consiglio a tutti.
Samantha Klich
utente Android
Wow, sono davvero stupita. Ho appena provato l'app perché l'ho vista pubblicizzata molte volte e sono rimasta assolutamente sbalordita. Questa app è L'AIUTO che cercate per la scuola e soprattutto offre tantissime cose, come allenamenti e schede, che a me personalmente sono state MOLTO utili.
Anna
utente iOS
È bellissima questa app, la adoro. È utilissima per lo studio e mi aiuta molto, anzi moltissimo, ma soprattutto mi aiutano molto i quiz, per memorizzare anche quello che non sapevo
Anastasia
utente Android
Fantastica per qualsiasi materia avere gli appunti anche di altre persone è molto utile perchè posso confrontarmi e vedere come migliorarmi. con i quiz riesco ad apprendere al meglio.
Francesca
utente Android
moooolto utile,gli appunti sono belli e funzionanti,schoolGPT da dei consigli formidabili!!
Marianna
utente Android
L'applicazione è semplicemente fantastica! Tutto ciò che devo fare è inserire l'argomento nella barra di ricerca e ottengo la risposta molto velocemente. Non devo guardare 10 video di YouTube per capire qualcosa, quindi risparmio tempo. Consigliatissima!
Sudenaz Ocak
utente Android
A scuola andavo malissimo in matematica, ma grazie a questa applicazione ora vado meglio. Vi sono molto grato per aver creato questa app.
Greenlight Bonnie
utente Android
Knowunity è un applicazione fantastica,considerando che ha degli schemi veramente molto carini e sfiziosi e che ci sono dei quiz,oltre al fatto che questa cosa dell intelligenza artificiale "school gpt" è almeno per me molto utile, perché a differenza di Chatgpt ti da le spiegazioni, ti spiega ciò che non è chiaro! Posso studiare più velocemente tramite gli schemi e che posso pubblicare io stessa gli schemi è una funzione utilissima per gli altri studenti. Knowunity è PERFETTA
Aurora
utente Android
L’app funziona benissimo e puoi trovare qualsiasi tipo di informazione. Non ho l’abbonamento ma la parte gratuita è sufficiente per uno studio approfondito.
Martina
utente iOS
I quiz E LE flashcard SONO COSÌ UTILI E ADORO Knowunity IA. È ANCHE LETTERALMENTE COME CHATGPT MA PIÙ INTELLIGENTE!! MI HA AIUTATO ANCHE COI MIEI PROBLEMI DI MASCARA!! E ANCHE CON LE MIE VERE MATERIE! OVVIO 😍😁😲🤑💗✨🎀😮
Chiara
utente IOS
Questa app è una delle migliori, nient’altro da dire.
Andrea
utente iOS