Oggi parliamo degli alogenuri alchilici, composti che contengono un atomo... Mostra di più
Iscriviti per mostrare il contenutoÈ gratis!
Accesso a tutti i documenti
Migliora i tuoi voti
Unisciti a milioni di studenti
Knowunity AI
Materie
Triangle Congruence and Similarity Theorems
Triangle Properties and Classification
Linear Equations and Graphs
Geometric Angle Relationships
Trigonometric Functions and Identities
Equation Solving Techniques
Circle Geometry Fundamentals
Division Operations and Methods
Basic Differentiation Rules
Exponent and Logarithm Properties
Mostra tutti gli argomenti
Human Organ Systems
Reproductive Cell Cycles
Biological Sciences Subdisciplines
Cellular Energy Metabolism
Autotrophic Energy Processes
Inheritance Patterns and Principles
Biomolecular Structure and Organization
Cell Cycle and Division Mechanics
Cellular Organization and Development
Biological Structural Organization
Mostra tutti gli argomenti
Chemical Sciences and Applications
Atomic Structure and Composition
Molecular Electron Structure Representation
Atomic Electron Behavior
Matter Properties and Water
Mole Concept and Calculations
Gas Laws and Behavior
Periodic Table Organization
Chemical Thermodynamics Fundamentals
Chemical Bond Types and Properties
Mostra tutti gli argomenti
European Renaissance and Enlightenment
European Cultural Movements 800-1920
American Revolution Era 1763-1797
American Civil War 1861-1865
Global Imperial Systems
Mongol and Chinese Dynasties
U.S. Presidents and World Leaders
Historical Sources and Documentation
World Wars Era and Impact
World Religious Systems
Mostra tutti gli argomenti
Classic and Contemporary Novels
Literary Character Analysis
Rhetorical Theory and Practice
Classic Literary Narratives
Reading Analysis and Interpretation
Narrative Structure and Techniques
English Language Components
Influential English-Language Authors
Basic Sentence Structure
Narrative Voice and Perspective
Mostra tutti gli argomenti
868
•
Aggiornato Apr 15, 2026
•
<3
@juuuxlim
Oggi parliamo degli alogenuri alchilici, composti che contengono un atomo... Mostra di più










Gli alogenuri alchilici hanno una struttura semplice: un carbonio sp³ legato a un alogeno attraverso un legame polare. La forza del legame diminuisce andando dal fluoro allo iodio (F > Cl > Br > I), mentre la lunghezza aumenta.
Per nominarli con la nomenclatura IUPAC, consideri l'alogeno come un sostituente della catena carboniosa più lunga. Aggiungi il prefisso al nome dell'alcano, alchene o alchino corrispondente.
La numerazione parte dal carbonio più vicino al sostituente. Se hai più alogeni uguali, usa i prefissi di-, tri-, tetra-. Quando hai alogeni diversi nella stessa posizione, segui l'ordine alfabetico per decidere la precedenza.
Trucco per i test: Ricorda che la reattività degli alogeni segue l'ordine I > Br > Cl > F!

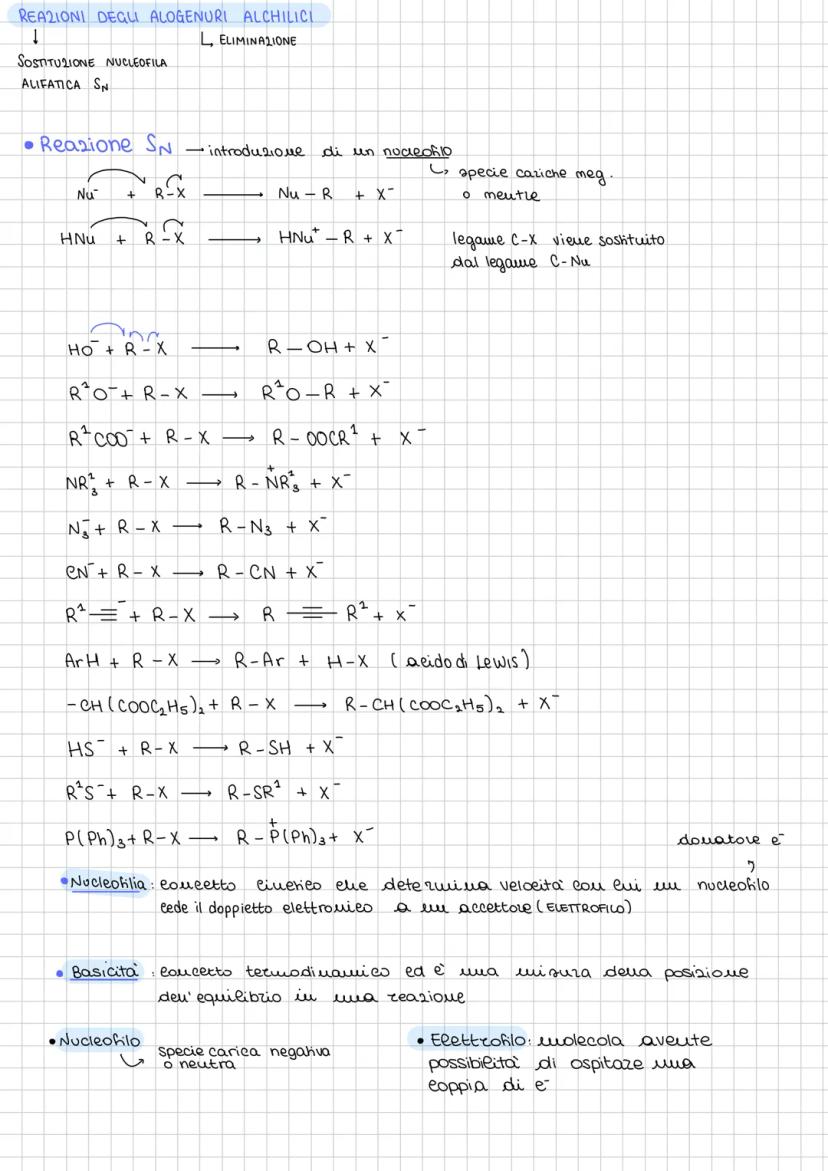
Le reazioni di sostituzione nucleofila (SN) sono il cuore della chimica degli alogenuri alchilici. Un nucleofilo (specie ricca di elettroni) attacca il carbonio legato all'alogeno, sostituendo completamente il gruppo uscente.
Puoi ottenere alcoli usando OH⁻, eteri con alcossidi (RO⁻), esteri con carbossilati (RCOO⁻), e molti altri composti. Il trucco sta nel capire che il legame C-X viene completamente sostituito dal nuovo legame C-Nu.
La nucleofilia è un concetto cinetico che determina la velocità della reazione, mentre la basicità è termodinamica. Un buon nucleofilo dona facilmente il suo doppietto elettronico all'elettrofilo (il carbonio dell'alogenuro).
Nota importante: Il nucleofilo può essere carico negativamente o neutro, ma deve sempre avere una coppia di elettroni disponibile!

Il meccanismo SN1 è unimolecolare: la velocità dipende solo dalla concentrazione dell'alogenuro alchilico . È un processo a due stadi con formazione di un carbocatione intermedio.
Nel primo stadio (lento), il gruppo uscente se ne va formando un carbocatione. Nel secondo stadio (veloce), il nucleofilo attacca il carbocatione da entrambe le parti, dato che è planare.
La stereochimica SN1 è cruciale: se parti da un centro chirale, ottieni una miscela racemica (50% di ciascun enantiomero) perché l'attacco può avvenire da sopra o da sotto il piano del carbocatione.
Attenzione agli esami: La SN1 funziona meglio con carbocazioni stabili (terziari > secondari > primari)!

La stabilità del carbocatione è il fattore decisivo per la SN1. Alogenuri terziari reagiscono velocemente, quelli primari praticamente non seguono questo meccanismo.
Il gruppo uscente deve essere una base debole: iodio è il migliore, fluoro il peggiore (I > Br > Cl > F). Il nucleofilo non influenza la velocità perché non partecipa allo stadio lento.
Il solvente deve stabilizzare il carbocatione attraverso la solvatazione. Solventi polari protici come acqua e alcoli sono ideali perché stabilizzano sia il carbocatione che l'anione.
Durante la SN1 possono verificarsi trasposizioni di carbocationi: se si può formare un carbocatione più stabile, la molecola si riorganizza spontaneamente.
Regola d'oro: Se hai un alogenuro terziario in solvente polare protico, pensa sempre alla SN1!

Il meccanismo SN2 è bimolecolare: la velocità dipende da entrambe le concentrazioni . È un processo concertato dove formazione e rottura dei legami avvengono simultaneamente.
L'ingombro sterico è fondamentale: il nucleofilo deve avvicinarsi al carbonio dal lato opposto al gruppo uscente. Per questo la reattività segue l'ordine CH₃-X > primario > secondario >> terziario.
Come per la SN1, i migliori gruppi uscenti sono I > Br > Cl > F. Però ora il nucleofilo è cruciale per la velocità, e i solventi aprotici funzionano meglio perché non "intrappolano" il nucleofilo.
La SN2 porta a inversione di configurazione: se parti da un centro chirale, ottieni l'enantiomero opposto.
Trucco mnemonico: SN2 = ingombro sterico conta, alogenuri primari vanno forte!

Le reazioni di eliminazione rimuovono HX dalla molecola formando un doppio legame. L'eliminazione E1 segue un meccanismo simile alla SN1: prima se ne va il gruppo uscente, poi una base rimuove un protone dal carbocatione.
La velocità segue la legge v = k[RX], identica alla SN1. Il meccanismo prevede la formazione dello stesso carbocatione intermedio, che poi perde un protone per formare l'alchene.
La regola di Saytzeff governa la regioisomeria: si forma preferenzialmente l'alchene più sostituito (più stabile). Questo perché la stabilità dell'alchene guida la direzione dell'eliminazione.
L'E1 compete sempre con la SN1 perché condividono lo stesso intermedio carbocationico. La temperatura e la natura della base influenzano quale reazione prevale.
Da ricordare: Alta temperatura favorisce l'eliminazione rispetto alla sostituzione!

L'eliminazione E2 è bimolecolare e concertata: base, idrogeno, carbonio e gruppo uscente interagiscono tutti nello stesso stato di transizione. La rottura del legame C-H e la formazione del doppio legame C-C avvengono mentre il gruppo uscente se ne va.
Il meccanismo richiede una geometria specifica: l'idrogeno da rimuovere e il gruppo uscente devono essere in posizione anti (opposta) per permettere la formazione del doppio legame.
La velocità segue v = k[RX][Base], dipendendo da entrambi i reagenti. Basi forti come l'etossido sono ideali per promuovere questa reazione.
Anche l'E2 segue la regola di Saytzeff quando possibile, formando l'alchene più sostituito. La reazione è stereospecifica a causa dei requisiti geometrici.
Punto chiave: L'E2 richiede geometria anti - ricordatelo per gli esercizi di stereochimica!

La competizione SN1 vs E1 dipende principalmente dalla temperatura e dal nucleofilo. Entrambe condividono lo stesso stadio lento (formazione del carbocatione), ma temperature elevate favoriscono l'eliminazione.
La competizione SN2 vs E2 è più complessa e dipende da diversi fattori: struttura dell'alogenuro, natura del nucleofilo/base, solvente e temperatura. Il rapporto SN2/E2 = Kₛₒₛₜ/Kₑₗᵢₘ ti dice quale reazione prevale.
Alogenuri primari favoriscono SN2, terziari favoriscono E1, mentre i secondari possono seguire tutti i meccanismi a seconda delle condizioni. Nucleofili ingombranti e basi forti spingono verso l'eliminazione.
La temperatura è decisiva: condizioni blande favoriscono la sostituzione, mentre il calore promuove l'eliminazione. Il solvente influenza sia la velocità che la selettività.
Strategia per gli esami: Analizza sempre struttura del substrato + condizioni di reazione per predire il meccanismo!

Il nostro assistente AI è costruito specificamente per le esigenze degli studenti. Sulla base dei milioni di contenuti presenti sulla piattaforma, possiamo fornire agli studenti risposte davvero significative e pertinenti. Ma non si tratta solo di risposte, l'assistente è in grado di guidare gli studenti attraverso le loro sfide quotidiane di studio, con piani di studio personalizzati, quiz o contenuti nella chat e una personalizzazione al 100% basata sulle competenze e sugli sviluppi degli studenti.
È possibile scaricare l'applicazione dal Google Play Store e dall'Apple App Store.
Sì, hai accesso completamente gratuito a tutti i contenuti nell'app e puoi chattare o seguire i Creatori in qualsiasi momento. Sbloccherai nuove funzioni crescendo il tuo numero di follower. Inoltre, offriamo Knowunity Premium, che consente di studiare senza alcun limite!!
App Store
Google Play
L'applicazione è molto facile da usare e ben progettata. Finora ho trovato tutto quello che cercavo e ho potuto imparare molto dalle presentazioni! Utilizzerò sicuramente l'app per i compiti in classe! È molto utile anche come fonte di ispirazione.
Stefano S
utente iOS
Questa applicazione è davvero grande! Ci sono tantissimi appunti e aiuti con lo studio [...]. La mia materia problematica, per esempio, è il francese e l'app ha così tante opzioni per aiutarmi. Grazie a questa app ho migliorato il mio francese. La consiglio a tutti.
Samantha Klich
utente Android
Wow, sono davvero stupita. Ho appena provato l'app perché l'ho vista pubblicizzata molte volte e sono rimasta assolutamente sbalordita. Questa app è L'AIUTO che cercate per la scuola e soprattutto offre tantissime cose, come allenamenti e schede, che a me personalmente sono state MOLTO utili.
Anna
utente iOS
È bellissima questa app, la adoro. È utilissima per lo studio e mi aiuta molto, anzi moltissimo, ma soprattutto mi aiutano molto i quiz, per memorizzare anche quello che non sapevo
Anastasia
utente Android
Fantastica per qualsiasi materia avere gli appunti anche di altre persone è molto utile perchè posso confrontarmi e vedere come migliorarmi. con i quiz riesco ad apprendere al meglio.
Francesca
utente Android
moooolto utile,gli appunti sono belli e funzionanti,schoolGPT da dei consigli formidabili!!
Marianna
utente Android
L'applicazione è semplicemente fantastica! Tutto ciò che devo fare è inserire l'argomento nella barra di ricerca e ottengo la risposta molto velocemente. Non devo guardare 10 video di YouTube per capire qualcosa, quindi risparmio tempo. Consigliatissima!
Sudenaz Ocak
utente Android
A scuola andavo malissimo in matematica, ma grazie a questa applicazione ora vado meglio. Vi sono molto grato per aver creato questa app.
Greenlight Bonnie
utente Android
Knowunity è un applicazione fantastica,considerando che ha degli schemi veramente molto carini e sfiziosi e che ci sono dei quiz,oltre al fatto che questa cosa dell intelligenza artificiale "school gpt" è almeno per me molto utile, perché a differenza di Chatgpt ti da le spiegazioni, ti spiega ciò che non è chiaro! Posso studiare più velocemente tramite gli schemi e che posso pubblicare io stessa gli schemi è una funzione utilissima per gli altri studenti. Knowunity è PERFETTA
Aurora
utente Android
L’app funziona benissimo e puoi trovare qualsiasi tipo di informazione. Non ho l’abbonamento ma la parte gratuita è sufficiente per uno studio approfondito.
Martina
utente iOS
I quiz E LE flashcard SONO COSÌ UTILI E ADORO Knowunity IA. È ANCHE LETTERALMENTE COME CHATGPT MA PIÙ INTELLIGENTE!! MI HA AIUTATO ANCHE COI MIEI PROBLEMI DI MASCARA!! E ANCHE CON LE MIE VERE MATERIE! OVVIO 😍😁😲🤑💗✨🎀😮
Chiara
utente IOS
Questa app è una delle migliori, nient’altro da dire.
Andrea
utente iOS
L'applicazione è molto facile da usare e ben progettata. Finora ho trovato tutto quello che cercavo e ho potuto imparare molto dalle presentazioni! Utilizzerò sicuramente l'app per i compiti in classe! È molto utile anche come fonte di ispirazione.
Stefano S
utente iOS
Questa applicazione è davvero grande! Ci sono tantissimi appunti e aiuti con lo studio [...]. La mia materia problematica, per esempio, è il francese e l'app ha così tante opzioni per aiutarmi. Grazie a questa app ho migliorato il mio francese. La consiglio a tutti.
Samantha Klich
utente Android
Wow, sono davvero stupita. Ho appena provato l'app perché l'ho vista pubblicizzata molte volte e sono rimasta assolutamente sbalordita. Questa app è L'AIUTO che cercate per la scuola e soprattutto offre tantissime cose, come allenamenti e schede, che a me personalmente sono state MOLTO utili.
Anna
utente iOS
È bellissima questa app, la adoro. È utilissima per lo studio e mi aiuta molto, anzi moltissimo, ma soprattutto mi aiutano molto i quiz, per memorizzare anche quello che non sapevo
Anastasia
utente Android
Fantastica per qualsiasi materia avere gli appunti anche di altre persone è molto utile perchè posso confrontarmi e vedere come migliorarmi. con i quiz riesco ad apprendere al meglio.
Francesca
utente Android
moooolto utile,gli appunti sono belli e funzionanti,schoolGPT da dei consigli formidabili!!
Marianna
utente Android
L'applicazione è semplicemente fantastica! Tutto ciò che devo fare è inserire l'argomento nella barra di ricerca e ottengo la risposta molto velocemente. Non devo guardare 10 video di YouTube per capire qualcosa, quindi risparmio tempo. Consigliatissima!
Sudenaz Ocak
utente Android
A scuola andavo malissimo in matematica, ma grazie a questa applicazione ora vado meglio. Vi sono molto grato per aver creato questa app.
Greenlight Bonnie
utente Android
Knowunity è un applicazione fantastica,considerando che ha degli schemi veramente molto carini e sfiziosi e che ci sono dei quiz,oltre al fatto che questa cosa dell intelligenza artificiale "school gpt" è almeno per me molto utile, perché a differenza di Chatgpt ti da le spiegazioni, ti spiega ciò che non è chiaro! Posso studiare più velocemente tramite gli schemi e che posso pubblicare io stessa gli schemi è una funzione utilissima per gli altri studenti. Knowunity è PERFETTA
Aurora
utente Android
L’app funziona benissimo e puoi trovare qualsiasi tipo di informazione. Non ho l’abbonamento ma la parte gratuita è sufficiente per uno studio approfondito.
Martina
utente iOS
I quiz E LE flashcard SONO COSÌ UTILI E ADORO Knowunity IA. È ANCHE LETTERALMENTE COME CHATGPT MA PIÙ INTELLIGENTE!! MI HA AIUTATO ANCHE COI MIEI PROBLEMI DI MASCARA!! E ANCHE CON LE MIE VERE MATERIE! OVVIO 😍😁😲🤑💗✨🎀😮
Chiara
utente IOS
Questa app è una delle migliori, nient’altro da dire.
Andrea
utente iOS
<3
@juuuxlim
Oggi parliamo degli alogenuri alchilici, composti che contengono un atomo di carbonio legato a un alogeno (F, Cl, Br, I). Questi composti sono super importanti perché subiscono due tipi principali di reazioni: sostituzione nucleofila e eliminazione, che permettono di creare... Mostra di più

Accesso a tutti i documenti
Migliora i tuoi voti
Unisciti a milioni di studenti
Gli alogenuri alchilici hanno una struttura semplice: un carbonio sp³ legato a un alogeno attraverso un legame polare. La forza del legame diminuisce andando dal fluoro allo iodio (F > Cl > Br > I), mentre la lunghezza aumenta.
Per nominarli con la nomenclatura IUPAC, consideri l'alogeno come un sostituente della catena carboniosa più lunga. Aggiungi il prefisso al nome dell'alcano, alchene o alchino corrispondente.
La numerazione parte dal carbonio più vicino al sostituente. Se hai più alogeni uguali, usa i prefissi di-, tri-, tetra-. Quando hai alogeni diversi nella stessa posizione, segui l'ordine alfabetico per decidere la precedenza.
Trucco per i test: Ricorda che la reattività degli alogeni segue l'ordine I > Br > Cl > F!

Accesso a tutti i documenti
Migliora i tuoi voti
Unisciti a milioni di studenti
Le reazioni di sostituzione nucleofila (SN) sono il cuore della chimica degli alogenuri alchilici. Un nucleofilo (specie ricca di elettroni) attacca il carbonio legato all'alogeno, sostituendo completamente il gruppo uscente.
Puoi ottenere alcoli usando OH⁻, eteri con alcossidi (RO⁻), esteri con carbossilati (RCOO⁻), e molti altri composti. Il trucco sta nel capire che il legame C-X viene completamente sostituito dal nuovo legame C-Nu.
La nucleofilia è un concetto cinetico che determina la velocità della reazione, mentre la basicità è termodinamica. Un buon nucleofilo dona facilmente il suo doppietto elettronico all'elettrofilo (il carbonio dell'alogenuro).
Nota importante: Il nucleofilo può essere carico negativamente o neutro, ma deve sempre avere una coppia di elettroni disponibile!

Accesso a tutti i documenti
Migliora i tuoi voti
Unisciti a milioni di studenti
Il meccanismo SN1 è unimolecolare: la velocità dipende solo dalla concentrazione dell'alogenuro alchilico . È un processo a due stadi con formazione di un carbocatione intermedio.
Nel primo stadio (lento), il gruppo uscente se ne va formando un carbocatione. Nel secondo stadio (veloce), il nucleofilo attacca il carbocatione da entrambe le parti, dato che è planare.
La stereochimica SN1 è cruciale: se parti da un centro chirale, ottieni una miscela racemica (50% di ciascun enantiomero) perché l'attacco può avvenire da sopra o da sotto il piano del carbocatione.
Attenzione agli esami: La SN1 funziona meglio con carbocazioni stabili (terziari > secondari > primari)!

Accesso a tutti i documenti
Migliora i tuoi voti
Unisciti a milioni di studenti
La stabilità del carbocatione è il fattore decisivo per la SN1. Alogenuri terziari reagiscono velocemente, quelli primari praticamente non seguono questo meccanismo.
Il gruppo uscente deve essere una base debole: iodio è il migliore, fluoro il peggiore (I > Br > Cl > F). Il nucleofilo non influenza la velocità perché non partecipa allo stadio lento.
Il solvente deve stabilizzare il carbocatione attraverso la solvatazione. Solventi polari protici come acqua e alcoli sono ideali perché stabilizzano sia il carbocatione che l'anione.
Durante la SN1 possono verificarsi trasposizioni di carbocationi: se si può formare un carbocatione più stabile, la molecola si riorganizza spontaneamente.
Regola d'oro: Se hai un alogenuro terziario in solvente polare protico, pensa sempre alla SN1!

Accesso a tutti i documenti
Migliora i tuoi voti
Unisciti a milioni di studenti
Il meccanismo SN2 è bimolecolare: la velocità dipende da entrambe le concentrazioni . È un processo concertato dove formazione e rottura dei legami avvengono simultaneamente.
L'ingombro sterico è fondamentale: il nucleofilo deve avvicinarsi al carbonio dal lato opposto al gruppo uscente. Per questo la reattività segue l'ordine CH₃-X > primario > secondario >> terziario.
Come per la SN1, i migliori gruppi uscenti sono I > Br > Cl > F. Però ora il nucleofilo è cruciale per la velocità, e i solventi aprotici funzionano meglio perché non "intrappolano" il nucleofilo.
La SN2 porta a inversione di configurazione: se parti da un centro chirale, ottieni l'enantiomero opposto.
Trucco mnemonico: SN2 = ingombro sterico conta, alogenuri primari vanno forte!

Accesso a tutti i documenti
Migliora i tuoi voti
Unisciti a milioni di studenti
Le reazioni di eliminazione rimuovono HX dalla molecola formando un doppio legame. L'eliminazione E1 segue un meccanismo simile alla SN1: prima se ne va il gruppo uscente, poi una base rimuove un protone dal carbocatione.
La velocità segue la legge v = k[RX], identica alla SN1. Il meccanismo prevede la formazione dello stesso carbocatione intermedio, che poi perde un protone per formare l'alchene.
La regola di Saytzeff governa la regioisomeria: si forma preferenzialmente l'alchene più sostituito (più stabile). Questo perché la stabilità dell'alchene guida la direzione dell'eliminazione.
L'E1 compete sempre con la SN1 perché condividono lo stesso intermedio carbocationico. La temperatura e la natura della base influenzano quale reazione prevale.
Da ricordare: Alta temperatura favorisce l'eliminazione rispetto alla sostituzione!

Accesso a tutti i documenti
Migliora i tuoi voti
Unisciti a milioni di studenti
L'eliminazione E2 è bimolecolare e concertata: base, idrogeno, carbonio e gruppo uscente interagiscono tutti nello stesso stato di transizione. La rottura del legame C-H e la formazione del doppio legame C-C avvengono mentre il gruppo uscente se ne va.
Il meccanismo richiede una geometria specifica: l'idrogeno da rimuovere e il gruppo uscente devono essere in posizione anti (opposta) per permettere la formazione del doppio legame.
La velocità segue v = k[RX][Base], dipendendo da entrambi i reagenti. Basi forti come l'etossido sono ideali per promuovere questa reazione.
Anche l'E2 segue la regola di Saytzeff quando possibile, formando l'alchene più sostituito. La reazione è stereospecifica a causa dei requisiti geometrici.
Punto chiave: L'E2 richiede geometria anti - ricordatelo per gli esercizi di stereochimica!

Accesso a tutti i documenti
Migliora i tuoi voti
Unisciti a milioni di studenti
La competizione SN1 vs E1 dipende principalmente dalla temperatura e dal nucleofilo. Entrambe condividono lo stesso stadio lento (formazione del carbocatione), ma temperature elevate favoriscono l'eliminazione.
La competizione SN2 vs E2 è più complessa e dipende da diversi fattori: struttura dell'alogenuro, natura del nucleofilo/base, solvente e temperatura. Il rapporto SN2/E2 = Kₛₒₛₜ/Kₑₗᵢₘ ti dice quale reazione prevale.
Alogenuri primari favoriscono SN2, terziari favoriscono E1, mentre i secondari possono seguire tutti i meccanismi a seconda delle condizioni. Nucleofili ingombranti e basi forti spingono verso l'eliminazione.
La temperatura è decisiva: condizioni blande favoriscono la sostituzione, mentre il calore promuove l'eliminazione. Il solvente influenza sia la velocità che la selettività.
Strategia per gli esami: Analizza sempre struttura del substrato + condizioni di reazione per predire il meccanismo!

Accesso a tutti i documenti
Migliora i tuoi voti
Unisciti a milioni di studenti
Il nostro assistente AI è costruito specificamente per le esigenze degli studenti. Sulla base dei milioni di contenuti presenti sulla piattaforma, possiamo fornire agli studenti risposte davvero significative e pertinenti. Ma non si tratta solo di risposte, l'assistente è in grado di guidare gli studenti attraverso le loro sfide quotidiane di studio, con piani di studio personalizzati, quiz o contenuti nella chat e una personalizzazione al 100% basata sulle competenze e sugli sviluppi degli studenti.
È possibile scaricare l'applicazione dal Google Play Store e dall'Apple App Store.
Sì, hai accesso completamente gratuito a tutti i contenuti nell'app e puoi chattare o seguire i Creatori in qualsiasi momento. Sbloccherai nuove funzioni crescendo il tuo numero di follower. Inoltre, offriamo Knowunity Premium, che consente di studiare senza alcun limite!!
9
Strumenti Intelligenti NUOVO
Trasforma questi appunti in: ✓ 50+ Domande di Pratica ✓ Flashcard Interattive ✓ Simulazione d'esame completa ✓ Schemi per Saggi
App Store
Google Play
L'applicazione è molto facile da usare e ben progettata. Finora ho trovato tutto quello che cercavo e ho potuto imparare molto dalle presentazioni! Utilizzerò sicuramente l'app per i compiti in classe! È molto utile anche come fonte di ispirazione.
Stefano S
utente iOS
Questa applicazione è davvero grande! Ci sono tantissimi appunti e aiuti con lo studio [...]. La mia materia problematica, per esempio, è il francese e l'app ha così tante opzioni per aiutarmi. Grazie a questa app ho migliorato il mio francese. La consiglio a tutti.
Samantha Klich
utente Android
Wow, sono davvero stupita. Ho appena provato l'app perché l'ho vista pubblicizzata molte volte e sono rimasta assolutamente sbalordita. Questa app è L'AIUTO che cercate per la scuola e soprattutto offre tantissime cose, come allenamenti e schede, che a me personalmente sono state MOLTO utili.
Anna
utente iOS
È bellissima questa app, la adoro. È utilissima per lo studio e mi aiuta molto, anzi moltissimo, ma soprattutto mi aiutano molto i quiz, per memorizzare anche quello che non sapevo
Anastasia
utente Android
Fantastica per qualsiasi materia avere gli appunti anche di altre persone è molto utile perchè posso confrontarmi e vedere come migliorarmi. con i quiz riesco ad apprendere al meglio.
Francesca
utente Android
moooolto utile,gli appunti sono belli e funzionanti,schoolGPT da dei consigli formidabili!!
Marianna
utente Android
L'applicazione è semplicemente fantastica! Tutto ciò che devo fare è inserire l'argomento nella barra di ricerca e ottengo la risposta molto velocemente. Non devo guardare 10 video di YouTube per capire qualcosa, quindi risparmio tempo. Consigliatissima!
Sudenaz Ocak
utente Android
A scuola andavo malissimo in matematica, ma grazie a questa applicazione ora vado meglio. Vi sono molto grato per aver creato questa app.
Greenlight Bonnie
utente Android
Knowunity è un applicazione fantastica,considerando che ha degli schemi veramente molto carini e sfiziosi e che ci sono dei quiz,oltre al fatto che questa cosa dell intelligenza artificiale "school gpt" è almeno per me molto utile, perché a differenza di Chatgpt ti da le spiegazioni, ti spiega ciò che non è chiaro! Posso studiare più velocemente tramite gli schemi e che posso pubblicare io stessa gli schemi è una funzione utilissima per gli altri studenti. Knowunity è PERFETTA
Aurora
utente Android
L’app funziona benissimo e puoi trovare qualsiasi tipo di informazione. Non ho l’abbonamento ma la parte gratuita è sufficiente per uno studio approfondito.
Martina
utente iOS
I quiz E LE flashcard SONO COSÌ UTILI E ADORO Knowunity IA. È ANCHE LETTERALMENTE COME CHATGPT MA PIÙ INTELLIGENTE!! MI HA AIUTATO ANCHE COI MIEI PROBLEMI DI MASCARA!! E ANCHE CON LE MIE VERE MATERIE! OVVIO 😍😁😲🤑💗✨🎀😮
Chiara
utente IOS
Questa app è una delle migliori, nient’altro da dire.
Andrea
utente iOS
L'applicazione è molto facile da usare e ben progettata. Finora ho trovato tutto quello che cercavo e ho potuto imparare molto dalle presentazioni! Utilizzerò sicuramente l'app per i compiti in classe! È molto utile anche come fonte di ispirazione.
Stefano S
utente iOS
Questa applicazione è davvero grande! Ci sono tantissimi appunti e aiuti con lo studio [...]. La mia materia problematica, per esempio, è il francese e l'app ha così tante opzioni per aiutarmi. Grazie a questa app ho migliorato il mio francese. La consiglio a tutti.
Samantha Klich
utente Android
Wow, sono davvero stupita. Ho appena provato l'app perché l'ho vista pubblicizzata molte volte e sono rimasta assolutamente sbalordita. Questa app è L'AIUTO che cercate per la scuola e soprattutto offre tantissime cose, come allenamenti e schede, che a me personalmente sono state MOLTO utili.
Anna
utente iOS
È bellissima questa app, la adoro. È utilissima per lo studio e mi aiuta molto, anzi moltissimo, ma soprattutto mi aiutano molto i quiz, per memorizzare anche quello che non sapevo
Anastasia
utente Android
Fantastica per qualsiasi materia avere gli appunti anche di altre persone è molto utile perchè posso confrontarmi e vedere come migliorarmi. con i quiz riesco ad apprendere al meglio.
Francesca
utente Android
moooolto utile,gli appunti sono belli e funzionanti,schoolGPT da dei consigli formidabili!!
Marianna
utente Android
L'applicazione è semplicemente fantastica! Tutto ciò che devo fare è inserire l'argomento nella barra di ricerca e ottengo la risposta molto velocemente. Non devo guardare 10 video di YouTube per capire qualcosa, quindi risparmio tempo. Consigliatissima!
Sudenaz Ocak
utente Android
A scuola andavo malissimo in matematica, ma grazie a questa applicazione ora vado meglio. Vi sono molto grato per aver creato questa app.
Greenlight Bonnie
utente Android
Knowunity è un applicazione fantastica,considerando che ha degli schemi veramente molto carini e sfiziosi e che ci sono dei quiz,oltre al fatto che questa cosa dell intelligenza artificiale "school gpt" è almeno per me molto utile, perché a differenza di Chatgpt ti da le spiegazioni, ti spiega ciò che non è chiaro! Posso studiare più velocemente tramite gli schemi e che posso pubblicare io stessa gli schemi è una funzione utilissima per gli altri studenti. Knowunity è PERFETTA
Aurora
utente Android
L’app funziona benissimo e puoi trovare qualsiasi tipo di informazione. Non ho l’abbonamento ma la parte gratuita è sufficiente per uno studio approfondito.
Martina
utente iOS
I quiz E LE flashcard SONO COSÌ UTILI E ADORO Knowunity IA. È ANCHE LETTERALMENTE COME CHATGPT MA PIÙ INTELLIGENTE!! MI HA AIUTATO ANCHE COI MIEI PROBLEMI DI MASCARA!! E ANCHE CON LE MIE VERE MATERIE! OVVIO 😍😁😲🤑💗✨🎀😮
Chiara
utente IOS
Questa app è una delle migliori, nient’altro da dire.
Andrea
utente iOS