La trigonometria e i numeri complessi sono due argomenti fondamentali... Mostra di più
Iscriviti per mostrare il contenutoÈ gratis!
Accesso a tutti i documenti
Migliora i tuoi voti
Unisciti a milioni di studenti
Knowunity AI
Materie
Triangle Congruence and Similarity Theorems
Triangle Properties and Classification
Linear Equations and Graphs
Geometric Angle Relationships
Trigonometric Functions and Identities
Equation Solving Techniques
Circle Geometry Fundamentals
Division Operations and Methods
Basic Differentiation Rules
Exponent and Logarithm Properties
Mostra tutti gli argomenti
Human Organ Systems
Reproductive Cell Cycles
Biological Sciences Subdisciplines
Cellular Energy Metabolism
Autotrophic Energy Processes
Inheritance Patterns and Principles
Biomolecular Structure and Organization
Cell Cycle and Division Mechanics
Cellular Organization and Development
Biological Structural Organization
Mostra tutti gli argomenti
Chemical Sciences and Applications
Atomic Structure and Composition
Molecular Electron Structure Representation
Atomic Electron Behavior
Matter Properties and Water
Mole Concept and Calculations
Gas Laws and Behavior
Periodic Table Organization
Chemical Thermodynamics Fundamentals
Chemical Bond Types and Properties
Mostra tutti gli argomenti
European Renaissance and Enlightenment
European Cultural Movements 800-1920
American Revolution Era 1763-1797
American Civil War 1861-1865
Global Imperial Systems
Mongol and Chinese Dynasties
U.S. Presidents and World Leaders
Historical Sources and Documentation
World Wars Era and Impact
World Religious Systems
Mostra tutti gli argomenti
Classic and Contemporary Novels
Literary Character Analysis
Rhetorical Theory and Practice
Classic Literary Narratives
Reading Analysis and Interpretation
Narrative Structure and Techniques
English Language Components
Influential English-Language Authors
Basic Sentence Structure
Narrative Voice and Perspective
Mostra tutti gli argomenti
1,109
•
Aggiornato Mar 22, 2026
•
sara
@saratanz_
La trigonometria e i numeri complessi sono due argomenti fondamentali... Mostra di più











I triangoli rettangoli hanno delle proprietà speciali che li rendono più facili da studiare rispetto ad altri triangoli. Il primo teorema ti dice che un cateto è uguale all'ipotenusa moltiplicata per il seno dell'angolo opposto o il coseno dell'angolo adiacente.
In formule: a = c × sen α = c × cos β e b = c × sen β = c × cos α. Questo significa che se conosci l'ipotenusa e un angolo, puoi trovare qualsiasi cateto facilmente.
Il secondo teorema stabilisce che un cateto è uguale all'altro cateto moltiplicato per la tangente dell'angolo opposto: a = b × tg α = b × cotg β. Questo è super utile quando conosci un cateto e un angolo.
💡 Tip importante: Memorizza queste formule perché le userai costantemente per risolvere problemi pratici di geometria e fisica!

Risolvere un triangolo significa trovare tutti i lati e gli angoli mancanti. Negli esempi pratici vedrai tre situazioni tipiche che incontrerai negli esercizi.
Caso 1: Conosci due cateti . Usi Pitagora per trovare l'ipotenusa: c = √. Poi trovi gli angoli con le funzioni inverse: α = arcsen.
Caso 2: Hai un cateto e l'ipotenusa . Trovi l'altro cateto sempre con Pitagora, poi gli angoli usando arctg.
Caso 3: Conosci un cateto e un angolo . Trovi l'ipotenusa con c = a/sen α, e il secondo cateto con le funzioni trigonometriche.
💡 Strategia vincente: Parti sempre da quello che conosci e procedi step by step. Non cercare di fare tutto in una volta!

L'area di un triangolo si può calcolare usando la trigonometria: A = (b × c × sen α)/2. Questa formula è più potente di quella classica base per altezza perché funziona anche quando non conosci direttamente l'altezza.
Il teorema della corda collega geometria e trigonometria in modo elegante. In una circonferenza, una corda è uguale al diametro moltiplicato per il seno dell'angolo alla circonferenza: AB = 2r × sen α.
Questo teorema è fondamentale perché introduce il teorema dei seni, uno strumento potentissimo per triangoli qualsiasi. La formula a/sen α = b/sen β = c/sen γ ti permette di risolvere triangoli anche quando non sono rettangoli.
💡 Applicazione pratica: Il teorema dei seni è perfetto quando conosci due angoli e un lato, o due lati e un angolo opposto!

Il teorema del coseno è la generalizzazione del teorema di Pitagora per triangoli qualsiasi. La formula a² = b² + c² - 2bc × cos α funziona sempre, non solo con triangoli rettangoli.
Quando l'angolo α è di 90°, cos α = 0 e ottieni esattamente Pitagora! Ma quando l'angolo è diverso da 90°, il termine "-2bc cos α" corregge il risultato.
La dimostrazione usa proiezioni e il teorema di Pitagora applicato intelligentemente. Quello che conta per te è saper usare questa formula quando hai tre lati e vuoi trovare un angolo, oppure due lati e l'angolo compreso.
Questa è la tua arma segreta per triangoli "difficili" dove seni e coseni non bastano. Memorizzala bene perché è una delle formule più utili di tutta la trigonometria.
💡 Quando usarlo: Perfetto quando hai tre lati o due lati e l'angolo compreso tra loro!

I numeri immaginari nascono da una domanda semplice: cosa succede se √(-1) esistesse? La risposta è i, definito come quel numero che al quadrato fa -1: i² = -1.
Le potenze di i seguono un pattern ciclico: i² = -1, i³ = -i, i⁴ = 1, i⁵ = i. Dopo i⁴ il ciclo si ripete ogni 4 potenze. Questo pattern ti salverà in molti calcoli!
Le operazioni base sono intuitive: 3 + i resta così (somma), 5 - i resta così (sottrazione), 6 × i = 6i (moltiplicazione). Per la divisione, come 8/i, moltiplichi numeratore e denominatore per i per eliminare i dal denominatore.
I numeri complessi hanno la forma a + bi, dove a è la parte reale e b quella immaginaria. Due numeri come 5 + 3i e 5 - 3i si chiamano coniugati.
💡 Trucco memorizzazione: Le potenze di i vanno a cicli di 4: i, -1, -i, 1, poi si ripete!

Nel piano di Gauss rappresenti i numeri complessi come punti: l'asse orizzontale per la parte reale, quello verticale per la parte immaginaria. Un numero z = a + bi diventa il punto (a,b).
Il modulo di un numero complesso è la sua distanza dall'origine: |z| = √. È come calcolare l'ipotenusa di un triangolo rettangolo!
Le coordinate polari (r, α) sono un modo alternativo di descrivere lo stesso numero. r è il modulo, α è l'angolo (argomento). Puoi convertire tra coordinate cartesiane e polari facilmente.
Da cartesiane a polari: r = √ e α = arctg. Da polari a cartesiane: a = r cos α e b = r sen α. La forma trigonometrica diventa z = r.
💡 Visualizza sempre: Disegna i numeri complessi nel piano di Gauss per capire meglio le operazioni!

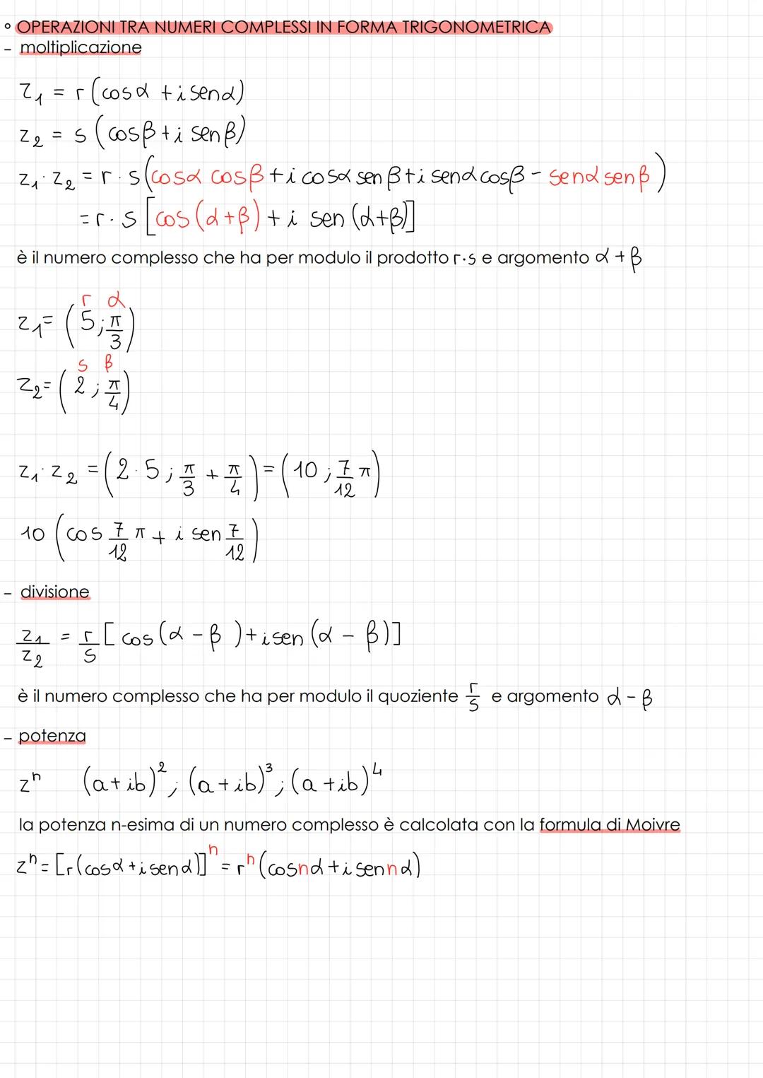
Le operazioni con numeri complessi in forma trigonometrica sono molto più semplici di quelle in forma algebrica. Per la moltiplicazione, moltiplichi i moduli e sommi gli argomenti.
Moltiplicazione: Se z₁ = r e z₂ = s, allora z₁ × z₂ = rs. Semplice no?
Divisione: z₁/z₂ = . Dividi i moduli e sottrai gli argomenti.
La formula di De Moivre per le potenze è spettacolare: zⁿ = rⁿ. Elevi il modulo alla n e moltiplichi l'argomento per n.
💡 Regola d'oro: In forma trigonometrica, moltiplicazione e divisione diventano addizione e sottrazione degli angoli!

Le radici dell'unità sono le soluzioni di zⁿ = 1. Per trovarle, usi la forma trigonometrica e la formula di De Moivre al contrario.
Per z⁴ = 1, poni z = r e 1 = cos 0 + i sen 0. Ottieni r⁴ = 1 e 4α = 2kπ .
I valori di k vanno da 0 a n-1. Per z⁴ = 1: k = 0,1,2,3 ti danno α = 0, π/2, π, 3π/2. Le quattro radici formano un quadrato nel piano di Gauss!
Rappresentazione grafica: Le n radici dell'unità formano sempre un poligono regolare di n lati inscritto nella circonferenza unitaria, con un vertice in (1,0).
💡 Pattern visivo: Le radici dell'unità sono sempre distribuite uniformemente sulla circonferenza unitaria!

Per estrarre la radice n-esima di un numero complesso, usi lo stesso principio delle radici dell'unità, ma applicato a numeri diversi da 1.
Nell'esempio ∛, poni z³ = 8 e applichi De Moivre.
Ottieni r³ = 8 e 3α = 3π/2 + 2kπ . Con k = 0,1,2 hai tre radici distinte.
Le tre radici sono: z₀(2, π/2), z₁(2, 7π/6), z₂(2, 11π/6). Anche queste formano un triangolo equilatero nel piano, ma con raggio 2 invece di 1.
💡 Procedura standard: Trova sempre prima il modulo della radice, poi gli argomenti con la formula α₀ + 2kπ/n!

Il nostro assistente AI è costruito specificamente per le esigenze degli studenti. Sulla base dei milioni di contenuti presenti sulla piattaforma, possiamo fornire agli studenti risposte davvero significative e pertinenti. Ma non si tratta solo di risposte, l'assistente è in grado di guidare gli studenti attraverso le loro sfide quotidiane di studio, con piani di studio personalizzati, quiz o contenuti nella chat e una personalizzazione al 100% basata sulle competenze e sugli sviluppi degli studenti.
È possibile scaricare l'applicazione dal Google Play Store e dall'Apple App Store.
Sì, hai accesso completamente gratuito a tutti i contenuti nell'app e puoi chattare o seguire i Creatori in qualsiasi momento. Sbloccherai nuove funzioni crescendo il tuo numero di follower. Inoltre, offriamo Knowunity Premium, che consente di studiare senza alcun limite!!
LE PARABOLE: concavità, vertice, intersezione con asse x e y, altri punti, fuoco, direttrice. EQUAZIONE DELLA PARABOLA DANTI 3 PUNTI, RETTE E PARABOLE: rette secanti, tangenti ed esterne.
Appunti di goniometria e trigonometria
App Store
Google Play
L'applicazione è molto facile da usare e ben progettata. Finora ho trovato tutto quello che cercavo e ho potuto imparare molto dalle presentazioni! Utilizzerò sicuramente l'app per i compiti in classe! È molto utile anche come fonte di ispirazione.
Stefano S
utente iOS
Questa applicazione è davvero grande! Ci sono tantissimi appunti e aiuti con lo studio [...]. La mia materia problematica, per esempio, è il francese e l'app ha così tante opzioni per aiutarmi. Grazie a questa app ho migliorato il mio francese. La consiglio a tutti.
Samantha Klich
utente Android
Wow, sono davvero stupita. Ho appena provato l'app perché l'ho vista pubblicizzata molte volte e sono rimasta assolutamente sbalordita. Questa app è L'AIUTO che cercate per la scuola e soprattutto offre tantissime cose, come allenamenti e schede, che a me personalmente sono state MOLTO utili.
Anna
utente iOS
È bellissima questa app, la adoro. È utilissima per lo studio e mi aiuta molto, anzi moltissimo, ma soprattutto mi aiutano molto i quiz, per memorizzare anche quello che non sapevo
Anastasia
utente Android
Fantastica per qualsiasi materia avere gli appunti anche di altre persone è molto utile perchè posso confrontarmi e vedere come migliorarmi. con i quiz riesco ad apprendere al meglio.
Francesca
utente Android
moooolto utile,gli appunti sono belli e funzionanti,schoolGPT da dei consigli formidabili!!
Marianna
utente Android
L'applicazione è semplicemente fantastica! Tutto ciò che devo fare è inserire l'argomento nella barra di ricerca e ottengo la risposta molto velocemente. Non devo guardare 10 video di YouTube per capire qualcosa, quindi risparmio tempo. Consigliatissima!
Sudenaz Ocak
utente Android
A scuola andavo malissimo in matematica, ma grazie a questa applicazione ora vado meglio. Vi sono molto grato per aver creato questa app.
Greenlight Bonnie
utente Android
Knowunity è un applicazione fantastica,considerando che ha degli schemi veramente molto carini e sfiziosi e che ci sono dei quiz,oltre al fatto che questa cosa dell intelligenza artificiale "school gpt" è almeno per me molto utile, perché a differenza di Chatgpt ti da le spiegazioni, ti spiega ciò che non è chiaro! Posso studiare più velocemente tramite gli schemi e che posso pubblicare io stessa gli schemi è una funzione utilissima per gli altri studenti. Knowunity è PERFETTA
Aurora
utente Android
L’app funziona benissimo e puoi trovare qualsiasi tipo di informazione. Non ho l’abbonamento ma la parte gratuita è sufficiente per uno studio approfondito.
Martina
utente iOS
I quiz E LE flashcard SONO COSÌ UTILI E ADORO Knowunity IA. È ANCHE LETTERALMENTE COME CHATGPT MA PIÙ INTELLIGENTE!! MI HA AIUTATO ANCHE COI MIEI PROBLEMI DI MASCARA!! E ANCHE CON LE MIE VERE MATERIE! OVVIO 😍😁😲🤑💗✨🎀😮
Chiara
utente IOS
Questa app è una delle migliori, nient’altro da dire.
Andrea
utente iOS
L'applicazione è molto facile da usare e ben progettata. Finora ho trovato tutto quello che cercavo e ho potuto imparare molto dalle presentazioni! Utilizzerò sicuramente l'app per i compiti in classe! È molto utile anche come fonte di ispirazione.
Stefano S
utente iOS
Questa applicazione è davvero grande! Ci sono tantissimi appunti e aiuti con lo studio [...]. La mia materia problematica, per esempio, è il francese e l'app ha così tante opzioni per aiutarmi. Grazie a questa app ho migliorato il mio francese. La consiglio a tutti.
Samantha Klich
utente Android
Wow, sono davvero stupita. Ho appena provato l'app perché l'ho vista pubblicizzata molte volte e sono rimasta assolutamente sbalordita. Questa app è L'AIUTO che cercate per la scuola e soprattutto offre tantissime cose, come allenamenti e schede, che a me personalmente sono state MOLTO utili.
Anna
utente iOS
È bellissima questa app, la adoro. È utilissima per lo studio e mi aiuta molto, anzi moltissimo, ma soprattutto mi aiutano molto i quiz, per memorizzare anche quello che non sapevo
Anastasia
utente Android
Fantastica per qualsiasi materia avere gli appunti anche di altre persone è molto utile perchè posso confrontarmi e vedere come migliorarmi. con i quiz riesco ad apprendere al meglio.
Francesca
utente Android
moooolto utile,gli appunti sono belli e funzionanti,schoolGPT da dei consigli formidabili!!
Marianna
utente Android
L'applicazione è semplicemente fantastica! Tutto ciò che devo fare è inserire l'argomento nella barra di ricerca e ottengo la risposta molto velocemente. Non devo guardare 10 video di YouTube per capire qualcosa, quindi risparmio tempo. Consigliatissima!
Sudenaz Ocak
utente Android
A scuola andavo malissimo in matematica, ma grazie a questa applicazione ora vado meglio. Vi sono molto grato per aver creato questa app.
Greenlight Bonnie
utente Android
Knowunity è un applicazione fantastica,considerando che ha degli schemi veramente molto carini e sfiziosi e che ci sono dei quiz,oltre al fatto che questa cosa dell intelligenza artificiale "school gpt" è almeno per me molto utile, perché a differenza di Chatgpt ti da le spiegazioni, ti spiega ciò che non è chiaro! Posso studiare più velocemente tramite gli schemi e che posso pubblicare io stessa gli schemi è una funzione utilissima per gli altri studenti. Knowunity è PERFETTA
Aurora
utente Android
L’app funziona benissimo e puoi trovare qualsiasi tipo di informazione. Non ho l’abbonamento ma la parte gratuita è sufficiente per uno studio approfondito.
Martina
utente iOS
I quiz E LE flashcard SONO COSÌ UTILI E ADORO Knowunity IA. È ANCHE LETTERALMENTE COME CHATGPT MA PIÙ INTELLIGENTE!! MI HA AIUTATO ANCHE COI MIEI PROBLEMI DI MASCARA!! E ANCHE CON LE MIE VERE MATERIE! OVVIO 😍😁😲🤑💗✨🎀😮
Chiara
utente IOS
Questa app è una delle migliori, nient’altro da dire.
Andrea
utente iOS
sara
@saratanz_
La trigonometria e i numeri complessi sono due argomenti fondamentali della matematica che ti serviranno non solo per l'esame di maturità, ma anche per gli studi universitari. Qui scoprirai come risolvere triangoli rettangoli, applicare teoremi fondamentali e lavorare con i... Mostra di più

Accesso a tutti i documenti
Migliora i tuoi voti
Unisciti a milioni di studenti
I triangoli rettangoli hanno delle proprietà speciali che li rendono più facili da studiare rispetto ad altri triangoli. Il primo teorema ti dice che un cateto è uguale all'ipotenusa moltiplicata per il seno dell'angolo opposto o il coseno dell'angolo adiacente.
In formule: a = c × sen α = c × cos β e b = c × sen β = c × cos α. Questo significa che se conosci l'ipotenusa e un angolo, puoi trovare qualsiasi cateto facilmente.
Il secondo teorema stabilisce che un cateto è uguale all'altro cateto moltiplicato per la tangente dell'angolo opposto: a = b × tg α = b × cotg β. Questo è super utile quando conosci un cateto e un angolo.
💡 Tip importante: Memorizza queste formule perché le userai costantemente per risolvere problemi pratici di geometria e fisica!

Accesso a tutti i documenti
Migliora i tuoi voti
Unisciti a milioni di studenti
Risolvere un triangolo significa trovare tutti i lati e gli angoli mancanti. Negli esempi pratici vedrai tre situazioni tipiche che incontrerai negli esercizi.
Caso 1: Conosci due cateti . Usi Pitagora per trovare l'ipotenusa: c = √. Poi trovi gli angoli con le funzioni inverse: α = arcsen.
Caso 2: Hai un cateto e l'ipotenusa . Trovi l'altro cateto sempre con Pitagora, poi gli angoli usando arctg.
Caso 3: Conosci un cateto e un angolo . Trovi l'ipotenusa con c = a/sen α, e il secondo cateto con le funzioni trigonometriche.
💡 Strategia vincente: Parti sempre da quello che conosci e procedi step by step. Non cercare di fare tutto in una volta!

Accesso a tutti i documenti
Migliora i tuoi voti
Unisciti a milioni di studenti
L'area di un triangolo si può calcolare usando la trigonometria: A = (b × c × sen α)/2. Questa formula è più potente di quella classica base per altezza perché funziona anche quando non conosci direttamente l'altezza.
Il teorema della corda collega geometria e trigonometria in modo elegante. In una circonferenza, una corda è uguale al diametro moltiplicato per il seno dell'angolo alla circonferenza: AB = 2r × sen α.
Questo teorema è fondamentale perché introduce il teorema dei seni, uno strumento potentissimo per triangoli qualsiasi. La formula a/sen α = b/sen β = c/sen γ ti permette di risolvere triangoli anche quando non sono rettangoli.
💡 Applicazione pratica: Il teorema dei seni è perfetto quando conosci due angoli e un lato, o due lati e un angolo opposto!

Accesso a tutti i documenti
Migliora i tuoi voti
Unisciti a milioni di studenti
Il teorema del coseno è la generalizzazione del teorema di Pitagora per triangoli qualsiasi. La formula a² = b² + c² - 2bc × cos α funziona sempre, non solo con triangoli rettangoli.
Quando l'angolo α è di 90°, cos α = 0 e ottieni esattamente Pitagora! Ma quando l'angolo è diverso da 90°, il termine "-2bc cos α" corregge il risultato.
La dimostrazione usa proiezioni e il teorema di Pitagora applicato intelligentemente. Quello che conta per te è saper usare questa formula quando hai tre lati e vuoi trovare un angolo, oppure due lati e l'angolo compreso.
Questa è la tua arma segreta per triangoli "difficili" dove seni e coseni non bastano. Memorizzala bene perché è una delle formule più utili di tutta la trigonometria.
💡 Quando usarlo: Perfetto quando hai tre lati o due lati e l'angolo compreso tra loro!

Accesso a tutti i documenti
Migliora i tuoi voti
Unisciti a milioni di studenti
I numeri immaginari nascono da una domanda semplice: cosa succede se √(-1) esistesse? La risposta è i, definito come quel numero che al quadrato fa -1: i² = -1.
Le potenze di i seguono un pattern ciclico: i² = -1, i³ = -i, i⁴ = 1, i⁵ = i. Dopo i⁴ il ciclo si ripete ogni 4 potenze. Questo pattern ti salverà in molti calcoli!
Le operazioni base sono intuitive: 3 + i resta così (somma), 5 - i resta così (sottrazione), 6 × i = 6i (moltiplicazione). Per la divisione, come 8/i, moltiplichi numeratore e denominatore per i per eliminare i dal denominatore.
I numeri complessi hanno la forma a + bi, dove a è la parte reale e b quella immaginaria. Due numeri come 5 + 3i e 5 - 3i si chiamano coniugati.
💡 Trucco memorizzazione: Le potenze di i vanno a cicli di 4: i, -1, -i, 1, poi si ripete!

Accesso a tutti i documenti
Migliora i tuoi voti
Unisciti a milioni di studenti
Nel piano di Gauss rappresenti i numeri complessi come punti: l'asse orizzontale per la parte reale, quello verticale per la parte immaginaria. Un numero z = a + bi diventa il punto (a,b).
Il modulo di un numero complesso è la sua distanza dall'origine: |z| = √. È come calcolare l'ipotenusa di un triangolo rettangolo!
Le coordinate polari (r, α) sono un modo alternativo di descrivere lo stesso numero. r è il modulo, α è l'angolo (argomento). Puoi convertire tra coordinate cartesiane e polari facilmente.
Da cartesiane a polari: r = √ e α = arctg. Da polari a cartesiane: a = r cos α e b = r sen α. La forma trigonometrica diventa z = r.
💡 Visualizza sempre: Disegna i numeri complessi nel piano di Gauss per capire meglio le operazioni!

Accesso a tutti i documenti
Migliora i tuoi voti
Unisciti a milioni di studenti
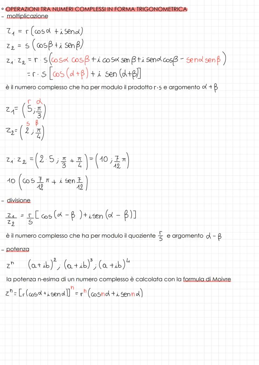
Le operazioni con numeri complessi in forma trigonometrica sono molto più semplici di quelle in forma algebrica. Per la moltiplicazione, moltiplichi i moduli e sommi gli argomenti.
Moltiplicazione: Se z₁ = r e z₂ = s, allora z₁ × z₂ = rs. Semplice no?
Divisione: z₁/z₂ = . Dividi i moduli e sottrai gli argomenti.
La formula di De Moivre per le potenze è spettacolare: zⁿ = rⁿ. Elevi il modulo alla n e moltiplichi l'argomento per n.
💡 Regola d'oro: In forma trigonometrica, moltiplicazione e divisione diventano addizione e sottrazione degli angoli!

Accesso a tutti i documenti
Migliora i tuoi voti
Unisciti a milioni di studenti
Le radici dell'unità sono le soluzioni di zⁿ = 1. Per trovarle, usi la forma trigonometrica e la formula di De Moivre al contrario.
Per z⁴ = 1, poni z = r e 1 = cos 0 + i sen 0. Ottieni r⁴ = 1 e 4α = 2kπ .
I valori di k vanno da 0 a n-1. Per z⁴ = 1: k = 0,1,2,3 ti danno α = 0, π/2, π, 3π/2. Le quattro radici formano un quadrato nel piano di Gauss!
Rappresentazione grafica: Le n radici dell'unità formano sempre un poligono regolare di n lati inscritto nella circonferenza unitaria, con un vertice in (1,0).
💡 Pattern visivo: Le radici dell'unità sono sempre distribuite uniformemente sulla circonferenza unitaria!

Accesso a tutti i documenti
Migliora i tuoi voti
Unisciti a milioni di studenti
Per estrarre la radice n-esima di un numero complesso, usi lo stesso principio delle radici dell'unità, ma applicato a numeri diversi da 1.
Nell'esempio ∛, poni z³ = 8 e applichi De Moivre.
Ottieni r³ = 8 e 3α = 3π/2 + 2kπ . Con k = 0,1,2 hai tre radici distinte.
Le tre radici sono: z₀(2, π/2), z₁(2, 7π/6), z₂(2, 11π/6). Anche queste formano un triangolo equilatero nel piano, ma con raggio 2 invece di 1.
💡 Procedura standard: Trova sempre prima il modulo della radice, poi gli argomenti con la formula α₀ + 2kπ/n!

Accesso a tutti i documenti
Migliora i tuoi voti
Unisciti a milioni di studenti
Il nostro assistente AI è costruito specificamente per le esigenze degli studenti. Sulla base dei milioni di contenuti presenti sulla piattaforma, possiamo fornire agli studenti risposte davvero significative e pertinenti. Ma non si tratta solo di risposte, l'assistente è in grado di guidare gli studenti attraverso le loro sfide quotidiane di studio, con piani di studio personalizzati, quiz o contenuti nella chat e una personalizzazione al 100% basata sulle competenze e sugli sviluppi degli studenti.
È possibile scaricare l'applicazione dal Google Play Store e dall'Apple App Store.
Sì, hai accesso completamente gratuito a tutti i contenuti nell'app e puoi chattare o seguire i Creatori in qualsiasi momento. Sbloccherai nuove funzioni crescendo il tuo numero di follower. Inoltre, offriamo Knowunity Premium, che consente di studiare senza alcun limite!!
24
Strumenti Intelligenti NUOVO
Trasforma questi appunti in: ✓ 50+ Domande di Pratica ✓ Flashcard Interattive ✓ Simulazione d'esame completa ✓ Schemi per Saggi
LE PARABOLE: concavità, vertice, intersezione con asse x e y, altri punti, fuoco, direttrice. EQUAZIONE DELLA PARABOLA DANTI 3 PUNTI, RETTE E PARABOLE: rette secanti, tangenti ed esterne.
Appunti di goniometria e trigonometria
App Store
Google Play
L'applicazione è molto facile da usare e ben progettata. Finora ho trovato tutto quello che cercavo e ho potuto imparare molto dalle presentazioni! Utilizzerò sicuramente l'app per i compiti in classe! È molto utile anche come fonte di ispirazione.
Stefano S
utente iOS
Questa applicazione è davvero grande! Ci sono tantissimi appunti e aiuti con lo studio [...]. La mia materia problematica, per esempio, è il francese e l'app ha così tante opzioni per aiutarmi. Grazie a questa app ho migliorato il mio francese. La consiglio a tutti.
Samantha Klich
utente Android
Wow, sono davvero stupita. Ho appena provato l'app perché l'ho vista pubblicizzata molte volte e sono rimasta assolutamente sbalordita. Questa app è L'AIUTO che cercate per la scuola e soprattutto offre tantissime cose, come allenamenti e schede, che a me personalmente sono state MOLTO utili.
Anna
utente iOS
È bellissima questa app, la adoro. È utilissima per lo studio e mi aiuta molto, anzi moltissimo, ma soprattutto mi aiutano molto i quiz, per memorizzare anche quello che non sapevo
Anastasia
utente Android
Fantastica per qualsiasi materia avere gli appunti anche di altre persone è molto utile perchè posso confrontarmi e vedere come migliorarmi. con i quiz riesco ad apprendere al meglio.
Francesca
utente Android
moooolto utile,gli appunti sono belli e funzionanti,schoolGPT da dei consigli formidabili!!
Marianna
utente Android
L'applicazione è semplicemente fantastica! Tutto ciò che devo fare è inserire l'argomento nella barra di ricerca e ottengo la risposta molto velocemente. Non devo guardare 10 video di YouTube per capire qualcosa, quindi risparmio tempo. Consigliatissima!
Sudenaz Ocak
utente Android
A scuola andavo malissimo in matematica, ma grazie a questa applicazione ora vado meglio. Vi sono molto grato per aver creato questa app.
Greenlight Bonnie
utente Android
Knowunity è un applicazione fantastica,considerando che ha degli schemi veramente molto carini e sfiziosi e che ci sono dei quiz,oltre al fatto che questa cosa dell intelligenza artificiale "school gpt" è almeno per me molto utile, perché a differenza di Chatgpt ti da le spiegazioni, ti spiega ciò che non è chiaro! Posso studiare più velocemente tramite gli schemi e che posso pubblicare io stessa gli schemi è una funzione utilissima per gli altri studenti. Knowunity è PERFETTA
Aurora
utente Android
L’app funziona benissimo e puoi trovare qualsiasi tipo di informazione. Non ho l’abbonamento ma la parte gratuita è sufficiente per uno studio approfondito.
Martina
utente iOS
I quiz E LE flashcard SONO COSÌ UTILI E ADORO Knowunity IA. È ANCHE LETTERALMENTE COME CHATGPT MA PIÙ INTELLIGENTE!! MI HA AIUTATO ANCHE COI MIEI PROBLEMI DI MASCARA!! E ANCHE CON LE MIE VERE MATERIE! OVVIO 😍😁😲🤑💗✨🎀😮
Chiara
utente IOS
Questa app è una delle migliori, nient’altro da dire.
Andrea
utente iOS
L'applicazione è molto facile da usare e ben progettata. Finora ho trovato tutto quello che cercavo e ho potuto imparare molto dalle presentazioni! Utilizzerò sicuramente l'app per i compiti in classe! È molto utile anche come fonte di ispirazione.
Stefano S
utente iOS
Questa applicazione è davvero grande! Ci sono tantissimi appunti e aiuti con lo studio [...]. La mia materia problematica, per esempio, è il francese e l'app ha così tante opzioni per aiutarmi. Grazie a questa app ho migliorato il mio francese. La consiglio a tutti.
Samantha Klich
utente Android
Wow, sono davvero stupita. Ho appena provato l'app perché l'ho vista pubblicizzata molte volte e sono rimasta assolutamente sbalordita. Questa app è L'AIUTO che cercate per la scuola e soprattutto offre tantissime cose, come allenamenti e schede, che a me personalmente sono state MOLTO utili.
Anna
utente iOS
È bellissima questa app, la adoro. È utilissima per lo studio e mi aiuta molto, anzi moltissimo, ma soprattutto mi aiutano molto i quiz, per memorizzare anche quello che non sapevo
Anastasia
utente Android
Fantastica per qualsiasi materia avere gli appunti anche di altre persone è molto utile perchè posso confrontarmi e vedere come migliorarmi. con i quiz riesco ad apprendere al meglio.
Francesca
utente Android
moooolto utile,gli appunti sono belli e funzionanti,schoolGPT da dei consigli formidabili!!
Marianna
utente Android
L'applicazione è semplicemente fantastica! Tutto ciò che devo fare è inserire l'argomento nella barra di ricerca e ottengo la risposta molto velocemente. Non devo guardare 10 video di YouTube per capire qualcosa, quindi risparmio tempo. Consigliatissima!
Sudenaz Ocak
utente Android
A scuola andavo malissimo in matematica, ma grazie a questa applicazione ora vado meglio. Vi sono molto grato per aver creato questa app.
Greenlight Bonnie
utente Android
Knowunity è un applicazione fantastica,considerando che ha degli schemi veramente molto carini e sfiziosi e che ci sono dei quiz,oltre al fatto che questa cosa dell intelligenza artificiale "school gpt" è almeno per me molto utile, perché a differenza di Chatgpt ti da le spiegazioni, ti spiega ciò che non è chiaro! Posso studiare più velocemente tramite gli schemi e che posso pubblicare io stessa gli schemi è una funzione utilissima per gli altri studenti. Knowunity è PERFETTA
Aurora
utente Android
L’app funziona benissimo e puoi trovare qualsiasi tipo di informazione. Non ho l’abbonamento ma la parte gratuita è sufficiente per uno studio approfondito.
Martina
utente iOS
I quiz E LE flashcard SONO COSÌ UTILI E ADORO Knowunity IA. È ANCHE LETTERALMENTE COME CHATGPT MA PIÙ INTELLIGENTE!! MI HA AIUTATO ANCHE COI MIEI PROBLEMI DI MASCARA!! E ANCHE CON LE MIE VERE MATERIE! OVVIO 😍😁😲🤑💗✨🎀😮
Chiara
utente IOS
Questa app è una delle migliori, nient’altro da dire.
Andrea
utente iOS