Scopriamo insieme il mondo di logaritmi, esponenziali e geometria... Mostra di più
Iscriviti per mostrare il contenutoÈ gratis!
Accesso a tutti i documenti
Migliora i tuoi voti
Unisciti a milioni di studenti
Knowunity AI
Materie
Triangle Congruence and Similarity Theorems
Triangle Properties and Classification
Linear Equations and Graphs
Geometric Angle Relationships
Trigonometric Functions and Identities
Equation Solving Techniques
Circle Geometry Fundamentals
Division Operations and Methods
Basic Differentiation Rules
Exponent and Logarithm Properties
Mostra tutti gli argomenti
Human Organ Systems
Reproductive Cell Cycles
Biological Sciences Subdisciplines
Cellular Energy Metabolism
Autotrophic Energy Processes
Inheritance Patterns and Principles
Biomolecular Structure and Organization
Cell Cycle and Division Mechanics
Cellular Organization and Development
Biological Structural Organization
Mostra tutti gli argomenti
Chemical Sciences and Applications
Atomic Structure and Composition
Molecular Electron Structure Representation
Atomic Electron Behavior
Matter Properties and Water
Mole Concept and Calculations
Gas Laws and Behavior
Periodic Table Organization
Chemical Thermodynamics Fundamentals
Chemical Bond Types and Properties
Mostra tutti gli argomenti
European Renaissance and Enlightenment
European Cultural Movements 800-1920
American Revolution Era 1763-1797
American Civil War 1861-1865
Global Imperial Systems
Mongol and Chinese Dynasties
U.S. Presidents and World Leaders
Historical Sources and Documentation
World Wars Era and Impact
World Religious Systems
Mostra tutti gli argomenti
Classic and Contemporary Novels
Literary Character Analysis
Rhetorical Theory and Practice
Classic Literary Narratives
Reading Analysis and Interpretation
Narrative Structure and Techniques
English Language Components
Influential English-Language Authors
Basic Sentence Structure
Narrative Voice and Perspective
Mostra tutti gli argomenti
1,334
•
Aggiornato Apr 18, 2026
•
Laura
@_laurab
Scopriamo insieme il mondo di logaritmi, esponenziali e geometria... Mostra di più











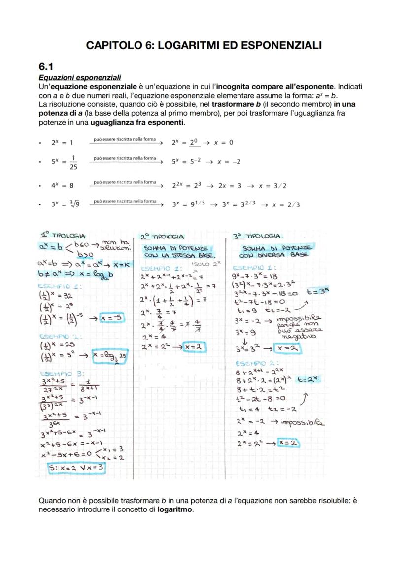
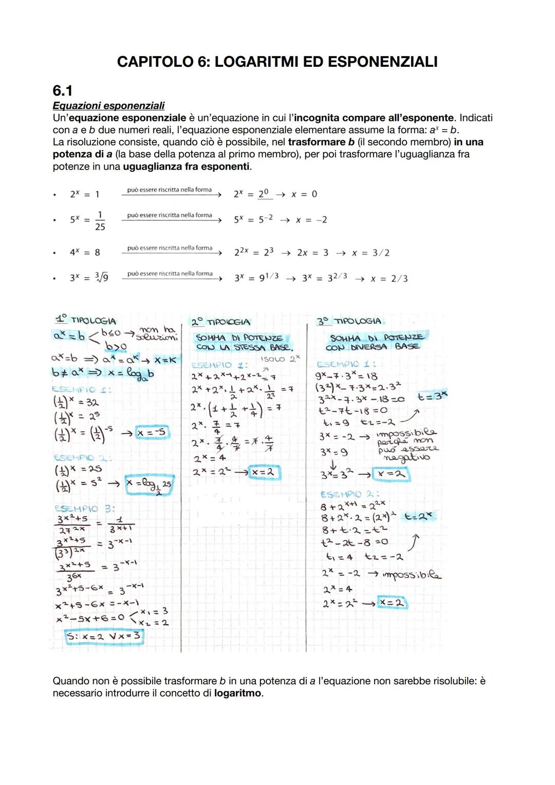
Quando l'incognita si nasconde nell'esponente, hai a che fare con un'equazione esponenziale. La strategia vincente? Trasformare tutto in potenze con la stessa base per confrontare direttamente gli esponenti.
Per esempio, $2^x = 82^x = 2^3x = 3$. Semplice, no? Il trucco è riconoscere quando il numero a destra si può scrivere come potenza della base a sinistra.
Quando questa trasformazione non è possibile, dovrai usare i logaritmi - che scoprirai nella prossima sezione. Le equazioni più complesse spesso richiedono la sostituzione con una variabile ausiliaria per semplificare i calcoli.
💡 Ricorda: Se ottieni , l'equazione non ha soluzioni reali!

Il logaritmo è semplicemente la risposta alla domanda: "A che potenza devo elevare la base per ottenere questo numero?" Se $2^3 = 8\log_2 8 = 3$.
Esistono tre condizioni fondamentali: base positiva e diversa da 1, argomento positivo. Il logaritmo di un numero negativo non esiste.
Le proprietà dei logaritmi sono tue alleate:
Per le equazioni logaritmiche, ricorda sempre di verificare le condizioni di esistenza: gli argomenti devono essere positivi!
💡 Trucco utile: sempre, è come se logaritmo ed esponenziale si "annullassero"!

Le disequazioni logaritmiche hanno una caratteristica speciale: il comportamento cambia a seconda della base! Con base maggiore di 1, il segno rimane invariato. Con base tra 0 e 1, il segno si inverte.
Per devi sempre verificare che entrambi gli argomenti siano positivi. Poi, se , avrai . Se $0 < a < 1A(x) < B(x)$.
È come confrontare due persone attraverso la loro altezza: se usi un metro normale (base > 1), il più alto rimane il più alto. Se usi un "metro al contrario" (base < 1), il più alto diventa il più basso!
Ricorda sempre di fare il sistema con tutte le condizioni: positività degli argomenti e disuguaglianza principale.
⚠️ Attenzione: Non dimenticare mai le condizioni di esistenza - sono spesso decisive per la soluzione!

Il piano cartesiano è il tuo spazio di lavoro dove ogni punto ha una "carta d'identità" formata da due coordinate: . Gli assi dividono il piano in quattro quadranti numerati in senso antiorario.
La distanza tra due punti si calcola con la formula . È come il teorema di Pitagora applicato alle coordinate! Se i punti sono allineati orizzontalmente o verticalmente, la formula si semplifica.
Il punto medio di un segmento ha coordinate che sono la media aritmetica delle coordinate degli estremi: .
Questi strumenti ti permettono di "misurare" e "localizzare" tutto sul piano, trasformando la geometria in calcoli algebraici.
🎯 Consiglio pratico: Disegna sempre i punti sul piano per visualizzare meglio il problema!

Ogni retta nel piano ha un'equazione del tipo (forma implicita) o (forma esplicita). Il coefficiente è il coefficiente angolare che indica quanto è inclinata la retta.
Le rette orizzontali hanno equazione , quelle verticali . Se l'equazione passa per l'origine, il termine noto è zero.
Due rette sono parallele se hanno lo stesso coefficiente angolare $m_1 = m_2$. Sono perpendicolari se il prodotto dei loro coefficienti angolari è $m_1 \cdot m_2 = -1$.
Per trovare l'equazione di una retta che passa per un punto, usa . Per due punti, usa la formula dei rapporti uguali.
La distanza punto-retta è .
📐 Ricorda: Il coefficiente angolare è positivo se la retta "sale", negativo se "scende"!

Le coniche sono curve speciali ottenute tagliando un cono con un piano. Ogni conica ha la sua personalità matematica!
La circonferenza è il luogo dei punti equidistanti da un centro. La sua equazione è . Per trovare centro e raggio: , , .
L'ellisse è più sofisticata: è il luogo dei punti per cui la somma delle distanze da due fuochi è costante. La sua equazione canonica è , dove è il semiasse maggiore e quello minore.
L'eccentricità dell'ellisse $e = c/a$ misura quanto è "schiacciata": più è vicina a zero, più assomiglia a una circonferenza.
✨ Curiosità: I pianeti seguono orbite ellittiche con il Sole in uno dei due fuochi!

La parabola è il luogo dei punti equidistanti da un fuoco e da una retta (direttrice). L'equazione ti dice tutto: se la concavità è verso l'alto, se verso il basso.
Il vertice ha coordinate e l'asse di simmetria è . Questi sono i tuoi punti di riferimento per disegnare la parabola.
L'iperbole è il luogo dei punti per cui la differenza delle distanze da due fuochi è costante. Ha equazione e due asintoti: .
Per riconoscere una conica dall'equazione generale, calcola il discriminante : se è un'ellisse, se è una parabola, se è un'iperbole.
🎪 Nota divertente: L'iperbole ha due "bracci" separati che si avvicinano agli asintoti senza mai toccarli!

Una funzione è una macchina matematica che trasforma ogni input in un unico output . Il dominio è l'insieme di tutti i valori di che la funzione "accetta".
Per trovare il dominio, devi evitare le situazioni "pericolose":
Le funzioni possono essere razionali (con polinomi), irrazionali (con radici), esponenziali $y = a^x$, logaritmiche $y = \log_a x$ o goniometriche.
Una funzione può essere iniettiva (a $x$ diversi corrispondono $y$ diversi), suriettiva (ogni $y$ ha almeno una controimmagine) o biettiva (entrambe le proprietà).
🔧 Strategia vincente: Per il dominio, parti sempre dalle restrizioni più severe!

Il grafico di una funzione è l'insieme di tutti i punti sul piano cartesiano. È come una "foto" che mostra il comportamento della funzione.
Per trovare le intersezioni con gli assi:
Il segno della funzione si studia risolvendo . Le zone dove la funzione è positiva corrispondono ai punti del grafico sopra l'asse .
Per trovare i punti di intersezione tra due curve e , risolvi il sistema formato dalle due equazioni.
Le funzioni esponenziali passano sempre per e sono sempre positive. Le funzioni logaritmiche passano sempre per e esistono solo per .
📊 Visualizza sempre: Il grafico ti dice più di mille calcoli sul comportamento della funzione!

Le curve esponenziali hanno personalità diverse in base alla base: se sono crescenti, se $0 < a < 1(0,1)a^0 = 1$.
Queste funzioni sono sempre positive e non toccano mai l'asse - si avvicinano indefinitamente ma non lo raggiungono mai. Questo comportamento si chiama asintotico.
Le curve logaritmiche sono le "inverse" di quelle esponenziali. Esistono solo per e passano per e .
Anche qui il comportamento dipende dalla base: crescenti se , decrescenti se $0 < a < 1$. Il comportamento agli estremi è opposto a quello delle esponenziali.
Lo studio del segno di una funzione ti permette di capire dove il grafico sta sopra o sotto l'asse , informazione cruciale per disegnare correttamente la curva.
🔄 Connessione importante: Esponenziali e logaritmi sono funzioni inverse - i loro grafici sono simmetrici rispetto alla retta !
Il nostro assistente AI è costruito specificamente per le esigenze degli studenti. Sulla base dei milioni di contenuti presenti sulla piattaforma, possiamo fornire agli studenti risposte davvero significative e pertinenti. Ma non si tratta solo di risposte, l'assistente è in grado di guidare gli studenti attraverso le loro sfide quotidiane di studio, con piani di studio personalizzati, quiz o contenuti nella chat e una personalizzazione al 100% basata sulle competenze e sugli sviluppi degli studenti.
È possibile scaricare l'applicazione dal Google Play Store e dall'Apple App Store.
Sì, hai accesso completamente gratuito a tutti i contenuti nell'app e puoi chattare o seguire i Creatori in qualsiasi momento. Sbloccherai nuove funzioni crescendo il tuo numero di follower. Inoltre, offriamo Knowunity Premium, che consente di studiare senza alcun limite!!
App Store
Google Play
L'applicazione è molto facile da usare e ben progettata. Finora ho trovato tutto quello che cercavo e ho potuto imparare molto dalle presentazioni! Utilizzerò sicuramente l'app per i compiti in classe! È molto utile anche come fonte di ispirazione.
Stefano S
utente iOS
Questa applicazione è davvero grande! Ci sono tantissimi appunti e aiuti con lo studio [...]. La mia materia problematica, per esempio, è il francese e l'app ha così tante opzioni per aiutarmi. Grazie a questa app ho migliorato il mio francese. La consiglio a tutti.
Samantha Klich
utente Android
Wow, sono davvero stupita. Ho appena provato l'app perché l'ho vista pubblicizzata molte volte e sono rimasta assolutamente sbalordita. Questa app è L'AIUTO che cercate per la scuola e soprattutto offre tantissime cose, come allenamenti e schede, che a me personalmente sono state MOLTO utili.
Anna
utente iOS
È bellissima questa app, la adoro. È utilissima per lo studio e mi aiuta molto, anzi moltissimo, ma soprattutto mi aiutano molto i quiz, per memorizzare anche quello che non sapevo
Anastasia
utente Android
Fantastica per qualsiasi materia avere gli appunti anche di altre persone è molto utile perchè posso confrontarmi e vedere come migliorarmi. con i quiz riesco ad apprendere al meglio.
Francesca
utente Android
moooolto utile,gli appunti sono belli e funzionanti,schoolGPT da dei consigli formidabili!!
Marianna
utente Android
L'applicazione è semplicemente fantastica! Tutto ciò che devo fare è inserire l'argomento nella barra di ricerca e ottengo la risposta molto velocemente. Non devo guardare 10 video di YouTube per capire qualcosa, quindi risparmio tempo. Consigliatissima!
Sudenaz Ocak
utente Android
A scuola andavo malissimo in matematica, ma grazie a questa applicazione ora vado meglio. Vi sono molto grato per aver creato questa app.
Greenlight Bonnie
utente Android
Knowunity è un applicazione fantastica,considerando che ha degli schemi veramente molto carini e sfiziosi e che ci sono dei quiz,oltre al fatto che questa cosa dell intelligenza artificiale "school gpt" è almeno per me molto utile, perché a differenza di Chatgpt ti da le spiegazioni, ti spiega ciò che non è chiaro! Posso studiare più velocemente tramite gli schemi e che posso pubblicare io stessa gli schemi è una funzione utilissima per gli altri studenti. Knowunity è PERFETTA
Aurora
utente Android
L’app funziona benissimo e puoi trovare qualsiasi tipo di informazione. Non ho l’abbonamento ma la parte gratuita è sufficiente per uno studio approfondito.
Martina
utente iOS
I quiz E LE flashcard SONO COSÌ UTILI E ADORO Knowunity IA. È ANCHE LETTERALMENTE COME CHATGPT MA PIÙ INTELLIGENTE!! MI HA AIUTATO ANCHE COI MIEI PROBLEMI DI MASCARA!! E ANCHE CON LE MIE VERE MATERIE! OVVIO 😍😁😲🤑💗✨🎀😮
Chiara
utente IOS
Questa app è una delle migliori, nient’altro da dire.
Andrea
utente iOS
L'applicazione è molto facile da usare e ben progettata. Finora ho trovato tutto quello che cercavo e ho potuto imparare molto dalle presentazioni! Utilizzerò sicuramente l'app per i compiti in classe! È molto utile anche come fonte di ispirazione.
Stefano S
utente iOS
Questa applicazione è davvero grande! Ci sono tantissimi appunti e aiuti con lo studio [...]. La mia materia problematica, per esempio, è il francese e l'app ha così tante opzioni per aiutarmi. Grazie a questa app ho migliorato il mio francese. La consiglio a tutti.
Samantha Klich
utente Android
Wow, sono davvero stupita. Ho appena provato l'app perché l'ho vista pubblicizzata molte volte e sono rimasta assolutamente sbalordita. Questa app è L'AIUTO che cercate per la scuola e soprattutto offre tantissime cose, come allenamenti e schede, che a me personalmente sono state MOLTO utili.
Anna
utente iOS
È bellissima questa app, la adoro. È utilissima per lo studio e mi aiuta molto, anzi moltissimo, ma soprattutto mi aiutano molto i quiz, per memorizzare anche quello che non sapevo
Anastasia
utente Android
Fantastica per qualsiasi materia avere gli appunti anche di altre persone è molto utile perchè posso confrontarmi e vedere come migliorarmi. con i quiz riesco ad apprendere al meglio.
Francesca
utente Android
moooolto utile,gli appunti sono belli e funzionanti,schoolGPT da dei consigli formidabili!!
Marianna
utente Android
L'applicazione è semplicemente fantastica! Tutto ciò che devo fare è inserire l'argomento nella barra di ricerca e ottengo la risposta molto velocemente. Non devo guardare 10 video di YouTube per capire qualcosa, quindi risparmio tempo. Consigliatissima!
Sudenaz Ocak
utente Android
A scuola andavo malissimo in matematica, ma grazie a questa applicazione ora vado meglio. Vi sono molto grato per aver creato questa app.
Greenlight Bonnie
utente Android
Knowunity è un applicazione fantastica,considerando che ha degli schemi veramente molto carini e sfiziosi e che ci sono dei quiz,oltre al fatto che questa cosa dell intelligenza artificiale "school gpt" è almeno per me molto utile, perché a differenza di Chatgpt ti da le spiegazioni, ti spiega ciò che non è chiaro! Posso studiare più velocemente tramite gli schemi e che posso pubblicare io stessa gli schemi è una funzione utilissima per gli altri studenti. Knowunity è PERFETTA
Aurora
utente Android
L’app funziona benissimo e puoi trovare qualsiasi tipo di informazione. Non ho l’abbonamento ma la parte gratuita è sufficiente per uno studio approfondito.
Martina
utente iOS
I quiz E LE flashcard SONO COSÌ UTILI E ADORO Knowunity IA. È ANCHE LETTERALMENTE COME CHATGPT MA PIÙ INTELLIGENTE!! MI HA AIUTATO ANCHE COI MIEI PROBLEMI DI MASCARA!! E ANCHE CON LE MIE VERE MATERIE! OVVIO 😍😁😲🤑💗✨🎀😮
Chiara
utente IOS
Questa app è una delle migliori, nient’altro da dire.
Andrea
utente iOS
Laura
@_laurab
Scopriamo insieme il mondo di logaritmi, esponenziali e geometria analitica- strumenti matematici che ti permettono di risolvere problemi complessi in modo elegante. Dalla risoluzione di equazioni con incognite all'esponente fino alla descrizione precisa di curve e rette sul... Mostra di più

Accesso a tutti i documenti
Migliora i tuoi voti
Unisciti a milioni di studenti
Quando l'incognita si nasconde nell'esponente, hai a che fare con un'equazione esponenziale. La strategia vincente? Trasformare tutto in potenze con la stessa base per confrontare direttamente gli esponenti.
Per esempio, $2^x = 82^x = 2^3x = 3$. Semplice, no? Il trucco è riconoscere quando il numero a destra si può scrivere come potenza della base a sinistra.
Quando questa trasformazione non è possibile, dovrai usare i logaritmi - che scoprirai nella prossima sezione. Le equazioni più complesse spesso richiedono la sostituzione con una variabile ausiliaria per semplificare i calcoli.
💡 Ricorda: Se ottieni , l'equazione non ha soluzioni reali!

Accesso a tutti i documenti
Migliora i tuoi voti
Unisciti a milioni di studenti
Il logaritmo è semplicemente la risposta alla domanda: "A che potenza devo elevare la base per ottenere questo numero?" Se $2^3 = 8\log_2 8 = 3$.
Esistono tre condizioni fondamentali: base positiva e diversa da 1, argomento positivo. Il logaritmo di un numero negativo non esiste.
Le proprietà dei logaritmi sono tue alleate:
Per le equazioni logaritmiche, ricorda sempre di verificare le condizioni di esistenza: gli argomenti devono essere positivi!
💡 Trucco utile: sempre, è come se logaritmo ed esponenziale si "annullassero"!

Accesso a tutti i documenti
Migliora i tuoi voti
Unisciti a milioni di studenti
Le disequazioni logaritmiche hanno una caratteristica speciale: il comportamento cambia a seconda della base! Con base maggiore di 1, il segno rimane invariato. Con base tra 0 e 1, il segno si inverte.
Per devi sempre verificare che entrambi gli argomenti siano positivi. Poi, se , avrai . Se $0 < a < 1A(x) < B(x)$.
È come confrontare due persone attraverso la loro altezza: se usi un metro normale (base > 1), il più alto rimane il più alto. Se usi un "metro al contrario" (base < 1), il più alto diventa il più basso!
Ricorda sempre di fare il sistema con tutte le condizioni: positività degli argomenti e disuguaglianza principale.
⚠️ Attenzione: Non dimenticare mai le condizioni di esistenza - sono spesso decisive per la soluzione!

Accesso a tutti i documenti
Migliora i tuoi voti
Unisciti a milioni di studenti
Il piano cartesiano è il tuo spazio di lavoro dove ogni punto ha una "carta d'identità" formata da due coordinate: . Gli assi dividono il piano in quattro quadranti numerati in senso antiorario.
La distanza tra due punti si calcola con la formula . È come il teorema di Pitagora applicato alle coordinate! Se i punti sono allineati orizzontalmente o verticalmente, la formula si semplifica.
Il punto medio di un segmento ha coordinate che sono la media aritmetica delle coordinate degli estremi: .
Questi strumenti ti permettono di "misurare" e "localizzare" tutto sul piano, trasformando la geometria in calcoli algebraici.
🎯 Consiglio pratico: Disegna sempre i punti sul piano per visualizzare meglio il problema!

Accesso a tutti i documenti
Migliora i tuoi voti
Unisciti a milioni di studenti
Ogni retta nel piano ha un'equazione del tipo (forma implicita) o (forma esplicita). Il coefficiente è il coefficiente angolare che indica quanto è inclinata la retta.
Le rette orizzontali hanno equazione , quelle verticali . Se l'equazione passa per l'origine, il termine noto è zero.
Due rette sono parallele se hanno lo stesso coefficiente angolare $m_1 = m_2$. Sono perpendicolari se il prodotto dei loro coefficienti angolari è $m_1 \cdot m_2 = -1$.
Per trovare l'equazione di una retta che passa per un punto, usa . Per due punti, usa la formula dei rapporti uguali.
La distanza punto-retta è .
📐 Ricorda: Il coefficiente angolare è positivo se la retta "sale", negativo se "scende"!

Accesso a tutti i documenti
Migliora i tuoi voti
Unisciti a milioni di studenti
Le coniche sono curve speciali ottenute tagliando un cono con un piano. Ogni conica ha la sua personalità matematica!
La circonferenza è il luogo dei punti equidistanti da un centro. La sua equazione è . Per trovare centro e raggio: , , .
L'ellisse è più sofisticata: è il luogo dei punti per cui la somma delle distanze da due fuochi è costante. La sua equazione canonica è , dove è il semiasse maggiore e quello minore.
L'eccentricità dell'ellisse $e = c/a$ misura quanto è "schiacciata": più è vicina a zero, più assomiglia a una circonferenza.
✨ Curiosità: I pianeti seguono orbite ellittiche con il Sole in uno dei due fuochi!

Accesso a tutti i documenti
Migliora i tuoi voti
Unisciti a milioni di studenti
La parabola è il luogo dei punti equidistanti da un fuoco e da una retta (direttrice). L'equazione ti dice tutto: se la concavità è verso l'alto, se verso il basso.
Il vertice ha coordinate e l'asse di simmetria è . Questi sono i tuoi punti di riferimento per disegnare la parabola.
L'iperbole è il luogo dei punti per cui la differenza delle distanze da due fuochi è costante. Ha equazione e due asintoti: .
Per riconoscere una conica dall'equazione generale, calcola il discriminante : se è un'ellisse, se è una parabola, se è un'iperbole.
🎪 Nota divertente: L'iperbole ha due "bracci" separati che si avvicinano agli asintoti senza mai toccarli!

Accesso a tutti i documenti
Migliora i tuoi voti
Unisciti a milioni di studenti
Una funzione è una macchina matematica che trasforma ogni input in un unico output . Il dominio è l'insieme di tutti i valori di che la funzione "accetta".
Per trovare il dominio, devi evitare le situazioni "pericolose":
Le funzioni possono essere razionali (con polinomi), irrazionali (con radici), esponenziali $y = a^x$, logaritmiche $y = \log_a x$ o goniometriche.
Una funzione può essere iniettiva (a $x$ diversi corrispondono $y$ diversi), suriettiva (ogni $y$ ha almeno una controimmagine) o biettiva (entrambe le proprietà).
🔧 Strategia vincente: Per il dominio, parti sempre dalle restrizioni più severe!

Accesso a tutti i documenti
Migliora i tuoi voti
Unisciti a milioni di studenti
Il grafico di una funzione è l'insieme di tutti i punti sul piano cartesiano. È come una "foto" che mostra il comportamento della funzione.
Per trovare le intersezioni con gli assi:
Il segno della funzione si studia risolvendo . Le zone dove la funzione è positiva corrispondono ai punti del grafico sopra l'asse .
Per trovare i punti di intersezione tra due curve e , risolvi il sistema formato dalle due equazioni.
Le funzioni esponenziali passano sempre per e sono sempre positive. Le funzioni logaritmiche passano sempre per e esistono solo per .
📊 Visualizza sempre: Il grafico ti dice più di mille calcoli sul comportamento della funzione!

Accesso a tutti i documenti
Migliora i tuoi voti
Unisciti a milioni di studenti
Le curve esponenziali hanno personalità diverse in base alla base: se sono crescenti, se $0 < a < 1(0,1)a^0 = 1$.
Queste funzioni sono sempre positive e non toccano mai l'asse - si avvicinano indefinitamente ma non lo raggiungono mai. Questo comportamento si chiama asintotico.
Le curve logaritmiche sono le "inverse" di quelle esponenziali. Esistono solo per e passano per e .
Anche qui il comportamento dipende dalla base: crescenti se , decrescenti se $0 < a < 1$. Il comportamento agli estremi è opposto a quello delle esponenziali.
Lo studio del segno di una funzione ti permette di capire dove il grafico sta sopra o sotto l'asse , informazione cruciale per disegnare correttamente la curva.
🔄 Connessione importante: Esponenziali e logaritmi sono funzioni inverse - i loro grafici sono simmetrici rispetto alla retta !
Il nostro assistente AI è costruito specificamente per le esigenze degli studenti. Sulla base dei milioni di contenuti presenti sulla piattaforma, possiamo fornire agli studenti risposte davvero significative e pertinenti. Ma non si tratta solo di risposte, l'assistente è in grado di guidare gli studenti attraverso le loro sfide quotidiane di studio, con piani di studio personalizzati, quiz o contenuti nella chat e una personalizzazione al 100% basata sulle competenze e sugli sviluppi degli studenti.
È possibile scaricare l'applicazione dal Google Play Store e dall'Apple App Store.
Sì, hai accesso completamente gratuito a tutti i contenuti nell'app e puoi chattare o seguire i Creatori in qualsiasi momento. Sbloccherai nuove funzioni crescendo il tuo numero di follower. Inoltre, offriamo Knowunity Premium, che consente di studiare senza alcun limite!!
51
Strumenti Intelligenti NUOVO
Trasforma questi appunti in: ✓ 50+ Domande di Pratica ✓ Flashcard Interattive ✓ Simulazione d'esame completa ✓ Schemi per Saggi
App Store
Google Play
L'applicazione è molto facile da usare e ben progettata. Finora ho trovato tutto quello che cercavo e ho potuto imparare molto dalle presentazioni! Utilizzerò sicuramente l'app per i compiti in classe! È molto utile anche come fonte di ispirazione.
Stefano S
utente iOS
Questa applicazione è davvero grande! Ci sono tantissimi appunti e aiuti con lo studio [...]. La mia materia problematica, per esempio, è il francese e l'app ha così tante opzioni per aiutarmi. Grazie a questa app ho migliorato il mio francese. La consiglio a tutti.
Samantha Klich
utente Android
Wow, sono davvero stupita. Ho appena provato l'app perché l'ho vista pubblicizzata molte volte e sono rimasta assolutamente sbalordita. Questa app è L'AIUTO che cercate per la scuola e soprattutto offre tantissime cose, come allenamenti e schede, che a me personalmente sono state MOLTO utili.
Anna
utente iOS
È bellissima questa app, la adoro. È utilissima per lo studio e mi aiuta molto, anzi moltissimo, ma soprattutto mi aiutano molto i quiz, per memorizzare anche quello che non sapevo
Anastasia
utente Android
Fantastica per qualsiasi materia avere gli appunti anche di altre persone è molto utile perchè posso confrontarmi e vedere come migliorarmi. con i quiz riesco ad apprendere al meglio.
Francesca
utente Android
moooolto utile,gli appunti sono belli e funzionanti,schoolGPT da dei consigli formidabili!!
Marianna
utente Android
L'applicazione è semplicemente fantastica! Tutto ciò che devo fare è inserire l'argomento nella barra di ricerca e ottengo la risposta molto velocemente. Non devo guardare 10 video di YouTube per capire qualcosa, quindi risparmio tempo. Consigliatissima!
Sudenaz Ocak
utente Android
A scuola andavo malissimo in matematica, ma grazie a questa applicazione ora vado meglio. Vi sono molto grato per aver creato questa app.
Greenlight Bonnie
utente Android
Knowunity è un applicazione fantastica,considerando che ha degli schemi veramente molto carini e sfiziosi e che ci sono dei quiz,oltre al fatto che questa cosa dell intelligenza artificiale "school gpt" è almeno per me molto utile, perché a differenza di Chatgpt ti da le spiegazioni, ti spiega ciò che non è chiaro! Posso studiare più velocemente tramite gli schemi e che posso pubblicare io stessa gli schemi è una funzione utilissima per gli altri studenti. Knowunity è PERFETTA
Aurora
utente Android
L’app funziona benissimo e puoi trovare qualsiasi tipo di informazione. Non ho l’abbonamento ma la parte gratuita è sufficiente per uno studio approfondito.
Martina
utente iOS
I quiz E LE flashcard SONO COSÌ UTILI E ADORO Knowunity IA. È ANCHE LETTERALMENTE COME CHATGPT MA PIÙ INTELLIGENTE!! MI HA AIUTATO ANCHE COI MIEI PROBLEMI DI MASCARA!! E ANCHE CON LE MIE VERE MATERIE! OVVIO 😍😁😲🤑💗✨🎀😮
Chiara
utente IOS
Questa app è una delle migliori, nient’altro da dire.
Andrea
utente iOS
L'applicazione è molto facile da usare e ben progettata. Finora ho trovato tutto quello che cercavo e ho potuto imparare molto dalle presentazioni! Utilizzerò sicuramente l'app per i compiti in classe! È molto utile anche come fonte di ispirazione.
Stefano S
utente iOS
Questa applicazione è davvero grande! Ci sono tantissimi appunti e aiuti con lo studio [...]. La mia materia problematica, per esempio, è il francese e l'app ha così tante opzioni per aiutarmi. Grazie a questa app ho migliorato il mio francese. La consiglio a tutti.
Samantha Klich
utente Android
Wow, sono davvero stupita. Ho appena provato l'app perché l'ho vista pubblicizzata molte volte e sono rimasta assolutamente sbalordita. Questa app è L'AIUTO che cercate per la scuola e soprattutto offre tantissime cose, come allenamenti e schede, che a me personalmente sono state MOLTO utili.
Anna
utente iOS
È bellissima questa app, la adoro. È utilissima per lo studio e mi aiuta molto, anzi moltissimo, ma soprattutto mi aiutano molto i quiz, per memorizzare anche quello che non sapevo
Anastasia
utente Android
Fantastica per qualsiasi materia avere gli appunti anche di altre persone è molto utile perchè posso confrontarmi e vedere come migliorarmi. con i quiz riesco ad apprendere al meglio.
Francesca
utente Android
moooolto utile,gli appunti sono belli e funzionanti,schoolGPT da dei consigli formidabili!!
Marianna
utente Android
L'applicazione è semplicemente fantastica! Tutto ciò che devo fare è inserire l'argomento nella barra di ricerca e ottengo la risposta molto velocemente. Non devo guardare 10 video di YouTube per capire qualcosa, quindi risparmio tempo. Consigliatissima!
Sudenaz Ocak
utente Android
A scuola andavo malissimo in matematica, ma grazie a questa applicazione ora vado meglio. Vi sono molto grato per aver creato questa app.
Greenlight Bonnie
utente Android
Knowunity è un applicazione fantastica,considerando che ha degli schemi veramente molto carini e sfiziosi e che ci sono dei quiz,oltre al fatto che questa cosa dell intelligenza artificiale "school gpt" è almeno per me molto utile, perché a differenza di Chatgpt ti da le spiegazioni, ti spiega ciò che non è chiaro! Posso studiare più velocemente tramite gli schemi e che posso pubblicare io stessa gli schemi è una funzione utilissima per gli altri studenti. Knowunity è PERFETTA
Aurora
utente Android
L’app funziona benissimo e puoi trovare qualsiasi tipo di informazione. Non ho l’abbonamento ma la parte gratuita è sufficiente per uno studio approfondito.
Martina
utente iOS
I quiz E LE flashcard SONO COSÌ UTILI E ADORO Knowunity IA. È ANCHE LETTERALMENTE COME CHATGPT MA PIÙ INTELLIGENTE!! MI HA AIUTATO ANCHE COI MIEI PROBLEMI DI MASCARA!! E ANCHE CON LE MIE VERE MATERIE! OVVIO 😍😁😲🤑💗✨🎀😮
Chiara
utente IOS
Questa app è una delle migliori, nient’altro da dire.
Andrea
utente iOS