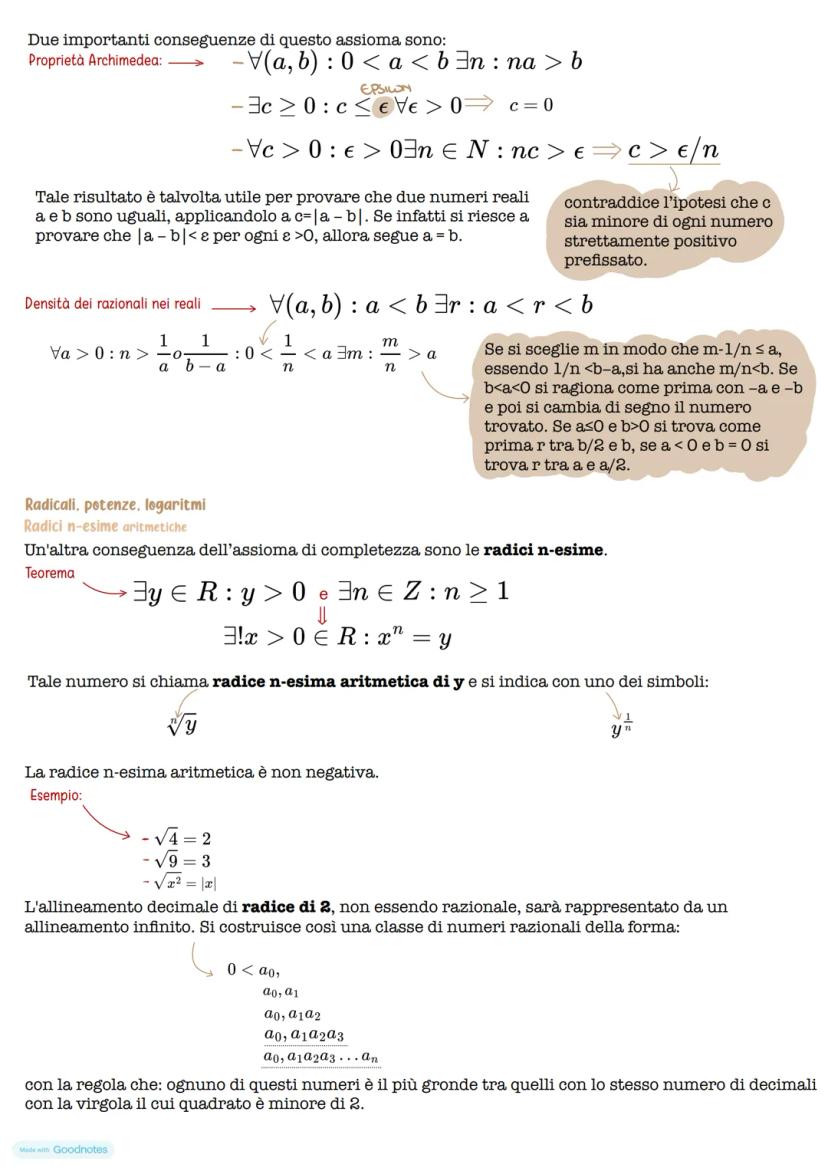
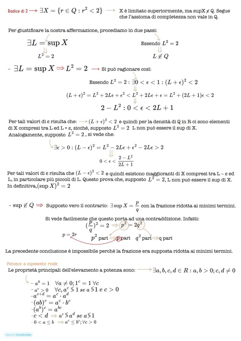
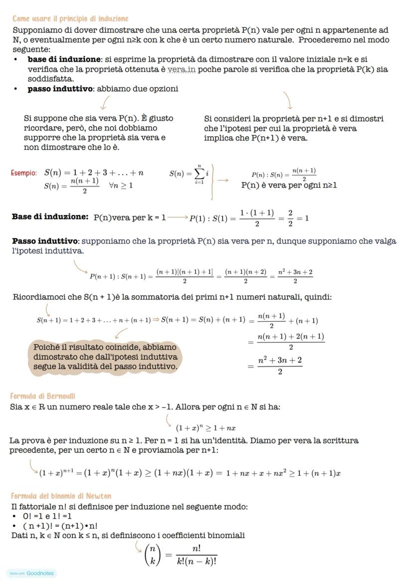
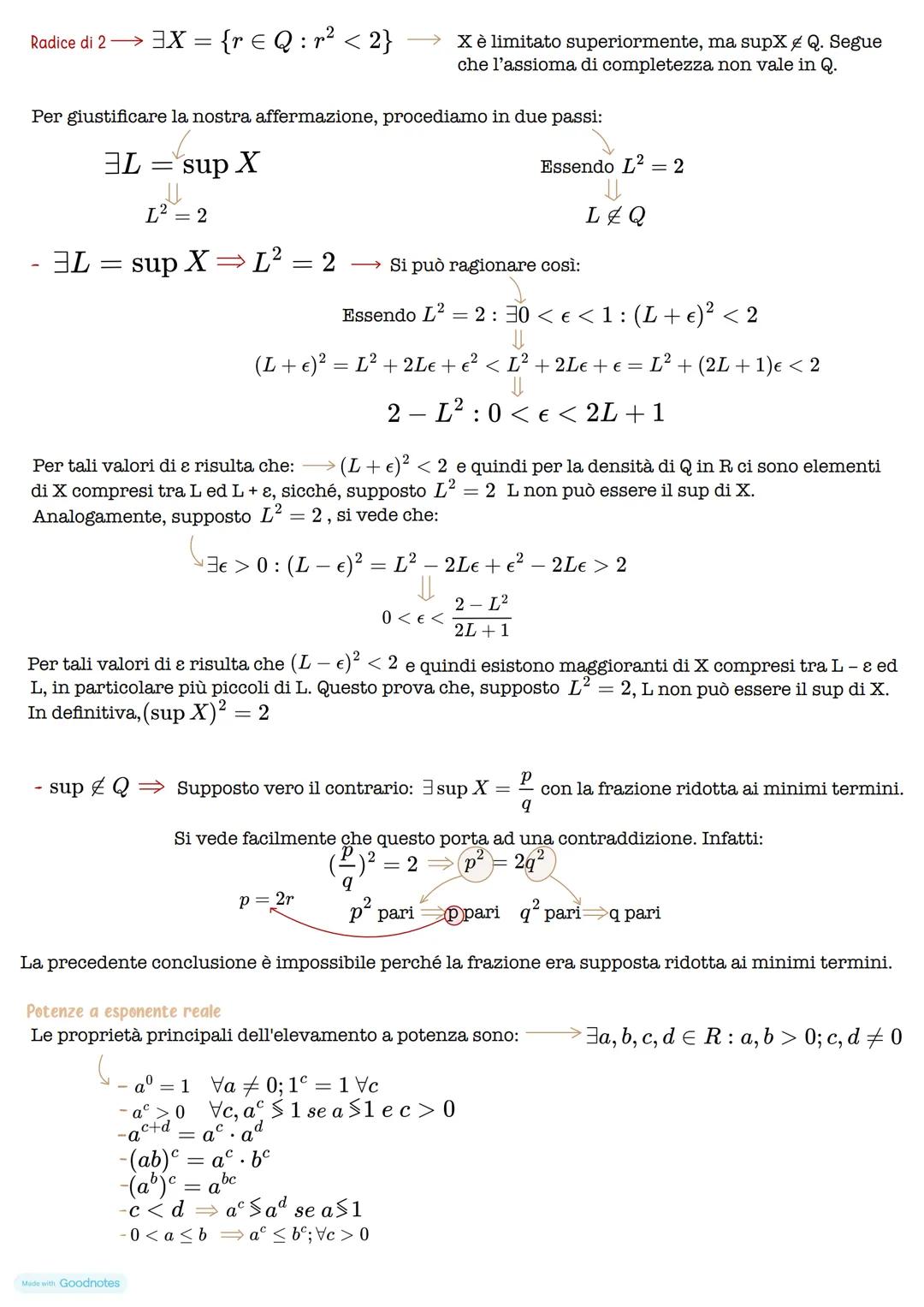
Appunti sul primo capitolo di analisi 1: introduzione alla teoria degli insiemi; sommatorie e coefficienti binomiali; numeri reali; radicali, potenze, logaritmi; insiemi infiniti; principio di induzione; numeri complessi
Iscriviti per mostrare il contenutoÈ gratis!
Accesso a tutti i documenti
Migliora i tuoi voti
Unisciti a milioni di studenti
Iscrivendosi si accettano i Termini di servizio e la Informativa sulla privacy.




















