Il calcolo letterale è uno degli argomenti più importanti della... Mostra di più
Iscriviti per mostrare il contenutoÈ gratis!
Accesso a tutti i documenti
Migliora i tuoi voti
Unisciti a milioni di studenti
Knowunity AI
Materie
Triangle Congruence and Similarity Theorems
Triangle Properties and Classification
Linear Equations and Graphs
Geometric Angle Relationships
Trigonometric Functions and Identities
Equation Solving Techniques
Circle Geometry Fundamentals
Division Operations and Methods
Basic Differentiation Rules
Exponent and Logarithm Properties
Mostra tutti gli argomenti
Human Organ Systems
Reproductive Cell Cycles
Biological Sciences Subdisciplines
Cellular Energy Metabolism
Autotrophic Energy Processes
Inheritance Patterns and Principles
Biomolecular Structure and Organization
Cell Cycle and Division Mechanics
Cellular Organization and Development
Biological Structural Organization
Mostra tutti gli argomenti
Chemical Sciences and Applications
Atomic Structure and Composition
Molecular Electron Structure Representation
Atomic Electron Behavior
Matter Properties and Water
Mole Concept and Calculations
Gas Laws and Behavior
Periodic Table Organization
Chemical Thermodynamics Fundamentals
Chemical Bond Types and Properties
Mostra tutti gli argomenti
European Renaissance and Enlightenment
European Cultural Movements 800-1920
American Revolution Era 1763-1797
American Civil War 1861-1865
Global Imperial Systems
Mongol and Chinese Dynasties
U.S. Presidents and World Leaders
Historical Sources and Documentation
World Wars Era and Impact
World Religious Systems
Mostra tutti gli argomenti
Classic and Contemporary Novels
Literary Character Analysis
Rhetorical Theory and Practice
Classic Literary Narratives
Reading Analysis and Interpretation
Narrative Structure and Techniques
English Language Components
Influential English-Language Authors
Basic Sentence Structure
Narrative Voice and Perspective
Mostra tutti gli argomenti
1,769
•
Aggiornato Mar 21, 2026
•
Patrizio
@jerry88
Il calcolo letterale è uno degli argomenti più importanti della... Mostra di più











I monomi sono espressioni matematiche dove trovi solo moltiplicazioni e potenze tra numeri e lettere. Pensa a -7ab³x²y: qui -7 è il coefficiente (la parte numerica) mentre ab³x²y è la parte letterale.
Il grado di un monomio si calcola sommando tutti gli esponenti delle lettere. Nel nostro esempio: 1+3+2+1 = 7, quindi il grado è 7. Un monomio ridotto ha ogni lettera che compare una sola volta, come 7a³b.
Due monomi sono simili se hanno la stessa parte letterale (3a²b e 7a²b). Sono uguali se hanno anche lo stesso coefficiente. Sono opposti se la parte letterale è uguale ma i coefficienti hanno segno contrario .
Trucco per ricordare: Il grado è come contare tutti gli "ingredienti" letterali del tuo monomio!

La somma algebrica funziona solo tra monomi simili: mantieni la parte letterale e sommi/sottrai i coefficienti. Esempio: 4xy² - 2xy² = 2xy².
Il prodotto tra monomi è più flessibile - non serve che siano simili! Moltiplichi i coefficienti tra loro e le parti letterali tra loro, sommando gli esponenti delle stesse lettere.
Per l'elevazione a potenza, elevi sia il coefficiente che ogni lettera della parte letterale alla potenza indicata. (5x²y³)³ diventa 125x⁶y⁹.
Gli esercizi mostrano come combinare queste operazioni: prima esegui moltiplicazioni e potenze, poi raggruppi i termini simili. È come seguire una ricetta!
Consiglio: Negli esercizi complessi, procedi passo dopo passo e controlla sempre i segni!

Un polinomio è semplicemente una somma algebrica di più monomi. Anche un singolo monomio conta come polinomio! La cosa importante è che sia ridotto: tutti i termini devono essere ridotti e non ci devono essere monomi simili.
Il grado del polinomio è il massimo tra i gradi dei suoi monomi. Un polinomio è omogeneo quando tutti i suoi monomi hanno lo stesso grado - come una squadra dove tutti hanno la stessa "forza"!
Un polinomio ordinato ha le potenze in ordine crescente o decrescente. È completo quando contiene tutte le potenze dalla massima fino al termine noto (grado 0).
Queste caratteristiche ti aiuteranno a riconoscere e classificare rapidamente qualsiasi polinomio che incontrerai negli esercizi.
Memorizza: Grado del polinomio = il grado più alto tra tutti i suoi termini!

La somma di polinomi è semplice: raggruppi e sommi i termini simili, lasciando invariati quelli diversi. Nel prodotto, ogni termine del primo polinomio va moltiplicato per ogni termine del secondo.
I prodotti notevoli sono formule che ti fanno risparmiare tempo prezioso:
Questi schemi si ripetono continuamente negli esercizi, quindi memorizzali bene! Una volta che li padroneggi, risolverai espressioni complesse in pochi passaggi invece di fare calcoli lunghissimi.
Strategia vincente: Riconosci subito i prodotti notevoli - ti faranno risparmiare minuti preziosi durante le verifiche!

Gli esercizi mostrano come applicare i prodotti notevoli in situazioni complesse. L'esercizio 2 dimostra come ³ si sviluppa e come i termini opposti si annullano per dare un risultato semplice: 24xy².
Nell'esercizio 3 vedi una strategia importante: riconoscere che = ² e = ². Questo ti permette di riscrivere l'espressione come prodotto di quadrati.
La divisione tra monomi richiede che il dividendo contenga tutte le lettere del divisore con esponente maggiore o uguale. Il risultato ha coefficiente dato dal rapporto dei coefficienti ed esponenti dati dalla differenza.
Un polinomio è divisibile per un monomio solo se ogni suo termine è divisibile per quel monomio.
Attenzione: Nella divisione, controlla sempre che gli esponenti del dividendo siano sufficientemente alti!

Il teorema della divisione stabilisce che dividendo p(x) per d(x) ottieni sempre un quoziente q(x) e un resto r(x), dove p(x) = d(x) · q(x) + r(x). Il resto ha grado minore del divisore o è nullo.
Quando il resto è zero, diciamo che p(x) è divisibile per d(x). Negli esempi vedi come verificare questa proprietà sostituendo i valori nell'equazione fondamentale.
La divisione si esegue come quella tra numeri: dividi il termine di grado massimo del dividendo per quello del divisore, moltiplichi il risultato per tutto il divisore, sottrai e ripeti fino alla fine.
Questo procedimento ti sarà utilissimo per semplificare frazioni algebriche e risolvere equazioni di grado superiore.
Trucco: Scrivi sempre tutti i termini mancanti con coefficiente zero per evitare errori negli incolonnamenti!

Il teorema del resto ti dice che per trovare il resto di p(x) ÷ , basta calcolare p(a). Nell'esempio, p(-3) = 31, quindi il resto della divisione per è 31.
Il teorema di Ruffini va oltre: p(x) è divisibile per se e solo se p(a) = 0. Questo significa che a è una radice del polinomio. È uno strumento potentissimo per trovare i fattori!
Negli esercizi pratici vedi come applicare la divisione step by step. Ricorda di scrivere tutti i termini mancanti con coefficiente zero e di procedere ordinatamente colonna per colonna.
Quando il resto non è zero, la divisione non è esatta ma puoi sempre scrivere la relazione fondamentale p(x) = d(x) · q(x) + r(x).
Super consiglio: Il teorema di Ruffini è la chiave per fattorizzare polinomi complessi - imparalo bene!

L'esercizio finale mostra una divisione con resto non nullo. Quando p(x) = -9x + 2x³ + 1 viene diviso per , ottieni quoziente 2x² + 6x + 9 e resto 28.
Nota come sia importante riordinare il polinomio per gradi decrescenti prima di iniziare: 2x³ + 0x² - 9x + 1. Questo evita errori di calcolo e rende il procedimento più chiaro.
La verifica è sempre fondamentale: = + 28. Controllare ti dà sicurezza nel risultato e ti aiuta a individuare eventuali sbagli.
Questi esercizi di divisione ti preparano perfettamente per la scomposizione in fattori, che è il prossimo grande argomento.
Metodo infallibile: Riordina sempre il polinomio prima di dividere e verifica sempre il risultato!

Scomporre un polinomio significa riscriverlo come prodotto di polinomi di grado inferiore. È come smontare un oggetto complesso nei suoi pezzi più semplici! Un polinomio riducibile può essere scomposto, uno irriducibile no.
Il raccoglimento a fattor comune totale è la prima tecnica da provare. Cerchi il fattore che si ripete in tutti i monomi e lo metti in evidenza. In 14a⁴ - 8a²b puoi raccogliere 2a², ottenendo 2a².
Il raccoglimento parziale coinvolge solo alcuni termini. In 2bx - 2b - x + 1, raccogli 2b dai primi due termini e -1 dagli ultimi due, ottenendo .
Queste tecniche sono la base di tutto: padroneggiale prima di passare ai metodi più avanzati!
Strategia: Inizia sempre dal raccoglimento - spesso risolve tutto o semplifica molto l'espressione!

Il nostro assistente AI è costruito specificamente per le esigenze degli studenti. Sulla base dei milioni di contenuti presenti sulla piattaforma, possiamo fornire agli studenti risposte davvero significative e pertinenti. Ma non si tratta solo di risposte, l'assistente è in grado di guidare gli studenti attraverso le loro sfide quotidiane di studio, con piani di studio personalizzati, quiz o contenuti nella chat e una personalizzazione al 100% basata sulle competenze e sugli sviluppi degli studenti.
È possibile scaricare l'applicazione dal Google Play Store e dall'Apple App Store.
Sì, hai accesso completamente gratuito a tutti i contenuti nell'app e puoi chattare o seguire i Creatori in qualsiasi momento. Sbloccherai nuove funzioni crescendo il tuo numero di follower. Inoltre, offriamo Knowunity Premium, che consente di studiare senza alcun limite!!
App Store
Google Play
L'applicazione è molto facile da usare e ben progettata. Finora ho trovato tutto quello che cercavo e ho potuto imparare molto dalle presentazioni! Utilizzerò sicuramente l'app per i compiti in classe! È molto utile anche come fonte di ispirazione.
Stefano S
utente iOS
Questa applicazione è davvero grande! Ci sono tantissimi appunti e aiuti con lo studio [...]. La mia materia problematica, per esempio, è il francese e l'app ha così tante opzioni per aiutarmi. Grazie a questa app ho migliorato il mio francese. La consiglio a tutti.
Samantha Klich
utente Android
Wow, sono davvero stupita. Ho appena provato l'app perché l'ho vista pubblicizzata molte volte e sono rimasta assolutamente sbalordita. Questa app è L'AIUTO che cercate per la scuola e soprattutto offre tantissime cose, come allenamenti e schede, che a me personalmente sono state MOLTO utili.
Anna
utente iOS
È bellissima questa app, la adoro. È utilissima per lo studio e mi aiuta molto, anzi moltissimo, ma soprattutto mi aiutano molto i quiz, per memorizzare anche quello che non sapevo
Anastasia
utente Android
Fantastica per qualsiasi materia avere gli appunti anche di altre persone è molto utile perchè posso confrontarmi e vedere come migliorarmi. con i quiz riesco ad apprendere al meglio.
Francesca
utente Android
moooolto utile,gli appunti sono belli e funzionanti,schoolGPT da dei consigli formidabili!!
Marianna
utente Android
L'applicazione è semplicemente fantastica! Tutto ciò che devo fare è inserire l'argomento nella barra di ricerca e ottengo la risposta molto velocemente. Non devo guardare 10 video di YouTube per capire qualcosa, quindi risparmio tempo. Consigliatissima!
Sudenaz Ocak
utente Android
A scuola andavo malissimo in matematica, ma grazie a questa applicazione ora vado meglio. Vi sono molto grato per aver creato questa app.
Greenlight Bonnie
utente Android
Knowunity è un applicazione fantastica,considerando che ha degli schemi veramente molto carini e sfiziosi e che ci sono dei quiz,oltre al fatto che questa cosa dell intelligenza artificiale "school gpt" è almeno per me molto utile, perché a differenza di Chatgpt ti da le spiegazioni, ti spiega ciò che non è chiaro! Posso studiare più velocemente tramite gli schemi e che posso pubblicare io stessa gli schemi è una funzione utilissima per gli altri studenti. Knowunity è PERFETTA
Aurora
utente Android
L’app funziona benissimo e puoi trovare qualsiasi tipo di informazione. Non ho l’abbonamento ma la parte gratuita è sufficiente per uno studio approfondito.
Martina
utente iOS
I quiz E LE flashcard SONO COSÌ UTILI E ADORO Knowunity IA. È ANCHE LETTERALMENTE COME CHATGPT MA PIÙ INTELLIGENTE!! MI HA AIUTATO ANCHE COI MIEI PROBLEMI DI MASCARA!! E ANCHE CON LE MIE VERE MATERIE! OVVIO 😍😁😲🤑💗✨🎀😮
Chiara
utente IOS
Questa app è una delle migliori, nient’altro da dire.
Andrea
utente iOS
L'applicazione è molto facile da usare e ben progettata. Finora ho trovato tutto quello che cercavo e ho potuto imparare molto dalle presentazioni! Utilizzerò sicuramente l'app per i compiti in classe! È molto utile anche come fonte di ispirazione.
Stefano S
utente iOS
Questa applicazione è davvero grande! Ci sono tantissimi appunti e aiuti con lo studio [...]. La mia materia problematica, per esempio, è il francese e l'app ha così tante opzioni per aiutarmi. Grazie a questa app ho migliorato il mio francese. La consiglio a tutti.
Samantha Klich
utente Android
Wow, sono davvero stupita. Ho appena provato l'app perché l'ho vista pubblicizzata molte volte e sono rimasta assolutamente sbalordita. Questa app è L'AIUTO che cercate per la scuola e soprattutto offre tantissime cose, come allenamenti e schede, che a me personalmente sono state MOLTO utili.
Anna
utente iOS
È bellissima questa app, la adoro. È utilissima per lo studio e mi aiuta molto, anzi moltissimo, ma soprattutto mi aiutano molto i quiz, per memorizzare anche quello che non sapevo
Anastasia
utente Android
Fantastica per qualsiasi materia avere gli appunti anche di altre persone è molto utile perchè posso confrontarmi e vedere come migliorarmi. con i quiz riesco ad apprendere al meglio.
Francesca
utente Android
moooolto utile,gli appunti sono belli e funzionanti,schoolGPT da dei consigli formidabili!!
Marianna
utente Android
L'applicazione è semplicemente fantastica! Tutto ciò che devo fare è inserire l'argomento nella barra di ricerca e ottengo la risposta molto velocemente. Non devo guardare 10 video di YouTube per capire qualcosa, quindi risparmio tempo. Consigliatissima!
Sudenaz Ocak
utente Android
A scuola andavo malissimo in matematica, ma grazie a questa applicazione ora vado meglio. Vi sono molto grato per aver creato questa app.
Greenlight Bonnie
utente Android
Knowunity è un applicazione fantastica,considerando che ha degli schemi veramente molto carini e sfiziosi e che ci sono dei quiz,oltre al fatto che questa cosa dell intelligenza artificiale "school gpt" è almeno per me molto utile, perché a differenza di Chatgpt ti da le spiegazioni, ti spiega ciò che non è chiaro! Posso studiare più velocemente tramite gli schemi e che posso pubblicare io stessa gli schemi è una funzione utilissima per gli altri studenti. Knowunity è PERFETTA
Aurora
utente Android
L’app funziona benissimo e puoi trovare qualsiasi tipo di informazione. Non ho l’abbonamento ma la parte gratuita è sufficiente per uno studio approfondito.
Martina
utente iOS
I quiz E LE flashcard SONO COSÌ UTILI E ADORO Knowunity IA. È ANCHE LETTERALMENTE COME CHATGPT MA PIÙ INTELLIGENTE!! MI HA AIUTATO ANCHE COI MIEI PROBLEMI DI MASCARA!! E ANCHE CON LE MIE VERE MATERIE! OVVIO 😍😁😲🤑💗✨🎀😮
Chiara
utente IOS
Questa app è una delle migliori, nient’altro da dire.
Andrea
utente iOS
Patrizio
@jerry88
Il calcolo letterale è uno degli argomenti più importanti della matematica che incontrerai quest'anno! Si tratta di lavorare con espressioni che contengono sia numeri che lettere, partendo dai monomi (le espressioni più semplici) fino ai polinomi più complessi.

Accesso a tutti i documenti
Migliora i tuoi voti
Unisciti a milioni di studenti
I monomi sono espressioni matematiche dove trovi solo moltiplicazioni e potenze tra numeri e lettere. Pensa a -7ab³x²y: qui -7 è il coefficiente (la parte numerica) mentre ab³x²y è la parte letterale.
Il grado di un monomio si calcola sommando tutti gli esponenti delle lettere. Nel nostro esempio: 1+3+2+1 = 7, quindi il grado è 7. Un monomio ridotto ha ogni lettera che compare una sola volta, come 7a³b.
Due monomi sono simili se hanno la stessa parte letterale (3a²b e 7a²b). Sono uguali se hanno anche lo stesso coefficiente. Sono opposti se la parte letterale è uguale ma i coefficienti hanno segno contrario .
Trucco per ricordare: Il grado è come contare tutti gli "ingredienti" letterali del tuo monomio!

Accesso a tutti i documenti
Migliora i tuoi voti
Unisciti a milioni di studenti
La somma algebrica funziona solo tra monomi simili: mantieni la parte letterale e sommi/sottrai i coefficienti. Esempio: 4xy² - 2xy² = 2xy².
Il prodotto tra monomi è più flessibile - non serve che siano simili! Moltiplichi i coefficienti tra loro e le parti letterali tra loro, sommando gli esponenti delle stesse lettere.
Per l'elevazione a potenza, elevi sia il coefficiente che ogni lettera della parte letterale alla potenza indicata. (5x²y³)³ diventa 125x⁶y⁹.
Gli esercizi mostrano come combinare queste operazioni: prima esegui moltiplicazioni e potenze, poi raggruppi i termini simili. È come seguire una ricetta!
Consiglio: Negli esercizi complessi, procedi passo dopo passo e controlla sempre i segni!

Accesso a tutti i documenti
Migliora i tuoi voti
Unisciti a milioni di studenti
Un polinomio è semplicemente una somma algebrica di più monomi. Anche un singolo monomio conta come polinomio! La cosa importante è che sia ridotto: tutti i termini devono essere ridotti e non ci devono essere monomi simili.
Il grado del polinomio è il massimo tra i gradi dei suoi monomi. Un polinomio è omogeneo quando tutti i suoi monomi hanno lo stesso grado - come una squadra dove tutti hanno la stessa "forza"!
Un polinomio ordinato ha le potenze in ordine crescente o decrescente. È completo quando contiene tutte le potenze dalla massima fino al termine noto (grado 0).
Queste caratteristiche ti aiuteranno a riconoscere e classificare rapidamente qualsiasi polinomio che incontrerai negli esercizi.
Memorizza: Grado del polinomio = il grado più alto tra tutti i suoi termini!

Accesso a tutti i documenti
Migliora i tuoi voti
Unisciti a milioni di studenti
La somma di polinomi è semplice: raggruppi e sommi i termini simili, lasciando invariati quelli diversi. Nel prodotto, ogni termine del primo polinomio va moltiplicato per ogni termine del secondo.
I prodotti notevoli sono formule che ti fanno risparmiare tempo prezioso:
Questi schemi si ripetono continuamente negli esercizi, quindi memorizzali bene! Una volta che li padroneggi, risolverai espressioni complesse in pochi passaggi invece di fare calcoli lunghissimi.
Strategia vincente: Riconosci subito i prodotti notevoli - ti faranno risparmiare minuti preziosi durante le verifiche!

Accesso a tutti i documenti
Migliora i tuoi voti
Unisciti a milioni di studenti
Gli esercizi mostrano come applicare i prodotti notevoli in situazioni complesse. L'esercizio 2 dimostra come ³ si sviluppa e come i termini opposti si annullano per dare un risultato semplice: 24xy².
Nell'esercizio 3 vedi una strategia importante: riconoscere che = ² e = ². Questo ti permette di riscrivere l'espressione come prodotto di quadrati.
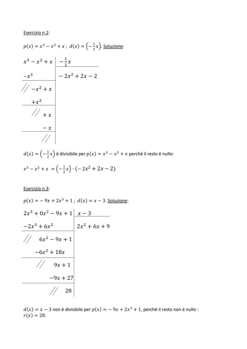
La divisione tra monomi richiede che il dividendo contenga tutte le lettere del divisore con esponente maggiore o uguale. Il risultato ha coefficiente dato dal rapporto dei coefficienti ed esponenti dati dalla differenza.
Un polinomio è divisibile per un monomio solo se ogni suo termine è divisibile per quel monomio.
Attenzione: Nella divisione, controlla sempre che gli esponenti del dividendo siano sufficientemente alti!

Accesso a tutti i documenti
Migliora i tuoi voti
Unisciti a milioni di studenti
Il teorema della divisione stabilisce che dividendo p(x) per d(x) ottieni sempre un quoziente q(x) e un resto r(x), dove p(x) = d(x) · q(x) + r(x). Il resto ha grado minore del divisore o è nullo.
Quando il resto è zero, diciamo che p(x) è divisibile per d(x). Negli esempi vedi come verificare questa proprietà sostituendo i valori nell'equazione fondamentale.
La divisione si esegue come quella tra numeri: dividi il termine di grado massimo del dividendo per quello del divisore, moltiplichi il risultato per tutto il divisore, sottrai e ripeti fino alla fine.
Questo procedimento ti sarà utilissimo per semplificare frazioni algebriche e risolvere equazioni di grado superiore.
Trucco: Scrivi sempre tutti i termini mancanti con coefficiente zero per evitare errori negli incolonnamenti!

Accesso a tutti i documenti
Migliora i tuoi voti
Unisciti a milioni di studenti
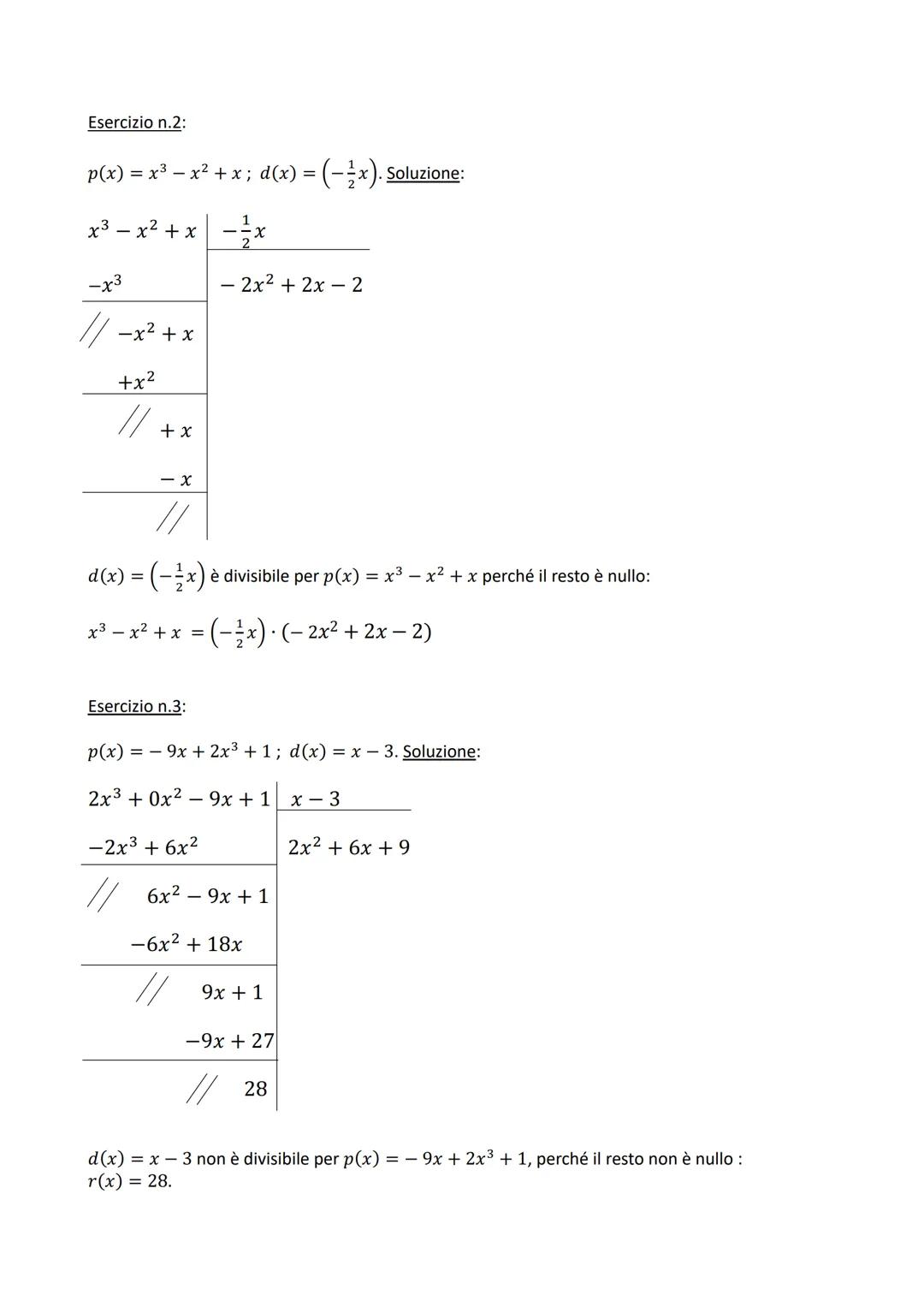
Il teorema del resto ti dice che per trovare il resto di p(x) ÷ , basta calcolare p(a). Nell'esempio, p(-3) = 31, quindi il resto della divisione per è 31.
Il teorema di Ruffini va oltre: p(x) è divisibile per se e solo se p(a) = 0. Questo significa che a è una radice del polinomio. È uno strumento potentissimo per trovare i fattori!
Negli esercizi pratici vedi come applicare la divisione step by step. Ricorda di scrivere tutti i termini mancanti con coefficiente zero e di procedere ordinatamente colonna per colonna.
Quando il resto non è zero, la divisione non è esatta ma puoi sempre scrivere la relazione fondamentale p(x) = d(x) · q(x) + r(x).
Super consiglio: Il teorema di Ruffini è la chiave per fattorizzare polinomi complessi - imparalo bene!

Accesso a tutti i documenti
Migliora i tuoi voti
Unisciti a milioni di studenti
L'esercizio finale mostra una divisione con resto non nullo. Quando p(x) = -9x + 2x³ + 1 viene diviso per , ottieni quoziente 2x² + 6x + 9 e resto 28.
Nota come sia importante riordinare il polinomio per gradi decrescenti prima di iniziare: 2x³ + 0x² - 9x + 1. Questo evita errori di calcolo e rende il procedimento più chiaro.
La verifica è sempre fondamentale: = + 28. Controllare ti dà sicurezza nel risultato e ti aiuta a individuare eventuali sbagli.
Questi esercizi di divisione ti preparano perfettamente per la scomposizione in fattori, che è il prossimo grande argomento.
Metodo infallibile: Riordina sempre il polinomio prima di dividere e verifica sempre il risultato!

Accesso a tutti i documenti
Migliora i tuoi voti
Unisciti a milioni di studenti
Scomporre un polinomio significa riscriverlo come prodotto di polinomi di grado inferiore. È come smontare un oggetto complesso nei suoi pezzi più semplici! Un polinomio riducibile può essere scomposto, uno irriducibile no.
Il raccoglimento a fattor comune totale è la prima tecnica da provare. Cerchi il fattore che si ripete in tutti i monomi e lo metti in evidenza. In 14a⁴ - 8a²b puoi raccogliere 2a², ottenendo 2a².
Il raccoglimento parziale coinvolge solo alcuni termini. In 2bx - 2b - x + 1, raccogli 2b dai primi due termini e -1 dagli ultimi due, ottenendo .
Queste tecniche sono la base di tutto: padroneggiale prima di passare ai metodi più avanzati!
Strategia: Inizia sempre dal raccoglimento - spesso risolve tutto o semplifica molto l'espressione!

Accesso a tutti i documenti
Migliora i tuoi voti
Unisciti a milioni di studenti
Il nostro assistente AI è costruito specificamente per le esigenze degli studenti. Sulla base dei milioni di contenuti presenti sulla piattaforma, possiamo fornire agli studenti risposte davvero significative e pertinenti. Ma non si tratta solo di risposte, l'assistente è in grado di guidare gli studenti attraverso le loro sfide quotidiane di studio, con piani di studio personalizzati, quiz o contenuti nella chat e una personalizzazione al 100% basata sulle competenze e sugli sviluppi degli studenti.
È possibile scaricare l'applicazione dal Google Play Store e dall'Apple App Store.
Sì, hai accesso completamente gratuito a tutti i contenuti nell'app e puoi chattare o seguire i Creatori in qualsiasi momento. Sbloccherai nuove funzioni crescendo il tuo numero di follower. Inoltre, offriamo Knowunity Premium, che consente di studiare senza alcun limite!!
13
Strumenti Intelligenti NUOVO
Trasforma questi appunti in: ✓ 50+ Domande di Pratica ✓ Flashcard Interattive ✓ Simulazione d'esame completa ✓ Schemi per Saggi
App Store
Google Play
L'applicazione è molto facile da usare e ben progettata. Finora ho trovato tutto quello che cercavo e ho potuto imparare molto dalle presentazioni! Utilizzerò sicuramente l'app per i compiti in classe! È molto utile anche come fonte di ispirazione.
Stefano S
utente iOS
Questa applicazione è davvero grande! Ci sono tantissimi appunti e aiuti con lo studio [...]. La mia materia problematica, per esempio, è il francese e l'app ha così tante opzioni per aiutarmi. Grazie a questa app ho migliorato il mio francese. La consiglio a tutti.
Samantha Klich
utente Android
Wow, sono davvero stupita. Ho appena provato l'app perché l'ho vista pubblicizzata molte volte e sono rimasta assolutamente sbalordita. Questa app è L'AIUTO che cercate per la scuola e soprattutto offre tantissime cose, come allenamenti e schede, che a me personalmente sono state MOLTO utili.
Anna
utente iOS
È bellissima questa app, la adoro. È utilissima per lo studio e mi aiuta molto, anzi moltissimo, ma soprattutto mi aiutano molto i quiz, per memorizzare anche quello che non sapevo
Anastasia
utente Android
Fantastica per qualsiasi materia avere gli appunti anche di altre persone è molto utile perchè posso confrontarmi e vedere come migliorarmi. con i quiz riesco ad apprendere al meglio.
Francesca
utente Android
moooolto utile,gli appunti sono belli e funzionanti,schoolGPT da dei consigli formidabili!!
Marianna
utente Android
L'applicazione è semplicemente fantastica! Tutto ciò che devo fare è inserire l'argomento nella barra di ricerca e ottengo la risposta molto velocemente. Non devo guardare 10 video di YouTube per capire qualcosa, quindi risparmio tempo. Consigliatissima!
Sudenaz Ocak
utente Android
A scuola andavo malissimo in matematica, ma grazie a questa applicazione ora vado meglio. Vi sono molto grato per aver creato questa app.
Greenlight Bonnie
utente Android
Knowunity è un applicazione fantastica,considerando che ha degli schemi veramente molto carini e sfiziosi e che ci sono dei quiz,oltre al fatto che questa cosa dell intelligenza artificiale "school gpt" è almeno per me molto utile, perché a differenza di Chatgpt ti da le spiegazioni, ti spiega ciò che non è chiaro! Posso studiare più velocemente tramite gli schemi e che posso pubblicare io stessa gli schemi è una funzione utilissima per gli altri studenti. Knowunity è PERFETTA
Aurora
utente Android
L’app funziona benissimo e puoi trovare qualsiasi tipo di informazione. Non ho l’abbonamento ma la parte gratuita è sufficiente per uno studio approfondito.
Martina
utente iOS
I quiz E LE flashcard SONO COSÌ UTILI E ADORO Knowunity IA. È ANCHE LETTERALMENTE COME CHATGPT MA PIÙ INTELLIGENTE!! MI HA AIUTATO ANCHE COI MIEI PROBLEMI DI MASCARA!! E ANCHE CON LE MIE VERE MATERIE! OVVIO 😍😁😲🤑💗✨🎀😮
Chiara
utente IOS
Questa app è una delle migliori, nient’altro da dire.
Andrea
utente iOS
L'applicazione è molto facile da usare e ben progettata. Finora ho trovato tutto quello che cercavo e ho potuto imparare molto dalle presentazioni! Utilizzerò sicuramente l'app per i compiti in classe! È molto utile anche come fonte di ispirazione.
Stefano S
utente iOS
Questa applicazione è davvero grande! Ci sono tantissimi appunti e aiuti con lo studio [...]. La mia materia problematica, per esempio, è il francese e l'app ha così tante opzioni per aiutarmi. Grazie a questa app ho migliorato il mio francese. La consiglio a tutti.
Samantha Klich
utente Android
Wow, sono davvero stupita. Ho appena provato l'app perché l'ho vista pubblicizzata molte volte e sono rimasta assolutamente sbalordita. Questa app è L'AIUTO che cercate per la scuola e soprattutto offre tantissime cose, come allenamenti e schede, che a me personalmente sono state MOLTO utili.
Anna
utente iOS
È bellissima questa app, la adoro. È utilissima per lo studio e mi aiuta molto, anzi moltissimo, ma soprattutto mi aiutano molto i quiz, per memorizzare anche quello che non sapevo
Anastasia
utente Android
Fantastica per qualsiasi materia avere gli appunti anche di altre persone è molto utile perchè posso confrontarmi e vedere come migliorarmi. con i quiz riesco ad apprendere al meglio.
Francesca
utente Android
moooolto utile,gli appunti sono belli e funzionanti,schoolGPT da dei consigli formidabili!!
Marianna
utente Android
L'applicazione è semplicemente fantastica! Tutto ciò che devo fare è inserire l'argomento nella barra di ricerca e ottengo la risposta molto velocemente. Non devo guardare 10 video di YouTube per capire qualcosa, quindi risparmio tempo. Consigliatissima!
Sudenaz Ocak
utente Android
A scuola andavo malissimo in matematica, ma grazie a questa applicazione ora vado meglio. Vi sono molto grato per aver creato questa app.
Greenlight Bonnie
utente Android
Knowunity è un applicazione fantastica,considerando che ha degli schemi veramente molto carini e sfiziosi e che ci sono dei quiz,oltre al fatto che questa cosa dell intelligenza artificiale "school gpt" è almeno per me molto utile, perché a differenza di Chatgpt ti da le spiegazioni, ti spiega ciò che non è chiaro! Posso studiare più velocemente tramite gli schemi e che posso pubblicare io stessa gli schemi è una funzione utilissima per gli altri studenti. Knowunity è PERFETTA
Aurora
utente Android
L’app funziona benissimo e puoi trovare qualsiasi tipo di informazione. Non ho l’abbonamento ma la parte gratuita è sufficiente per uno studio approfondito.
Martina
utente iOS
I quiz E LE flashcard SONO COSÌ UTILI E ADORO Knowunity IA. È ANCHE LETTERALMENTE COME CHATGPT MA PIÙ INTELLIGENTE!! MI HA AIUTATO ANCHE COI MIEI PROBLEMI DI MASCARA!! E ANCHE CON LE MIE VERE MATERIE! OVVIO 😍😁😲🤑💗✨🎀😮
Chiara
utente IOS
Questa app è una delle migliori, nient’altro da dire.
Andrea
utente iOS