Scopri come trasformare i polinomii complicati in moltiplicazioni più semplici!... Mostra di più
Iscriviti per mostrare il contenutoÈ gratis!
Accesso a tutti i documenti
Migliora i tuoi voti
Unisciti a milioni di studenti
Knowunity AI
Materie
Triangle Congruence and Similarity Theorems
Triangle Properties and Classification
Linear Equations and Graphs
Geometric Angle Relationships
Trigonometric Functions and Identities
Equation Solving Techniques
Circle Geometry Fundamentals
Division Operations and Methods
Basic Differentiation Rules
Exponent and Logarithm Properties
Mostra tutti gli argomenti
Human Organ Systems
Reproductive Cell Cycles
Biological Sciences Subdisciplines
Cellular Energy Metabolism
Autotrophic Energy Processes
Inheritance Patterns and Principles
Biomolecular Structure and Organization
Cell Cycle and Division Mechanics
Cellular Organization and Development
Biological Structural Organization
Mostra tutti gli argomenti
Chemical Sciences and Applications
Atomic Structure and Composition
Molecular Electron Structure Representation
Atomic Electron Behavior
Matter Properties and Water
Mole Concept and Calculations
Gas Laws and Behavior
Periodic Table Organization
Chemical Thermodynamics Fundamentals
Chemical Bond Types and Properties
Mostra tutti gli argomenti
European Renaissance and Enlightenment
European Cultural Movements 800-1920
American Revolution Era 1763-1797
American Civil War 1861-1865
Global Imperial Systems
Mongol and Chinese Dynasties
U.S. Presidents and World Leaders
Historical Sources and Documentation
World Wars Era and Impact
World Religious Systems
Mostra tutti gli argomenti
Classic and Contemporary Novels
Literary Character Analysis
Rhetorical Theory and Practice
Classic Literary Narratives
Reading Analysis and Interpretation
Narrative Structure and Techniques
English Language Components
Influential English-Language Authors
Basic Sentence Structure
Narrative Voice and Perspective
Mostra tutti gli argomenti
1,862
•
Aggiornato Mar 25, 2026
•
Sofia Minutillo
@sofiainutillo_osnpovd
Scopri come trasformare i polinomii complicati in moltiplicazioni più semplici!... Mostra di più











Ti sei mai chiesto come rendere più semplice un'espressione algebrica apparentemente complicata? Le scomposizioni ti permettono di riscrivere un polinomio come prodotto di monomi e polinomi più semplici.
Pensa a x²-4: sembra complicato, ma in realtà è ! Alcuni polinomi sono irriducibili , altri sono riducibili e possono essere spezzettati.
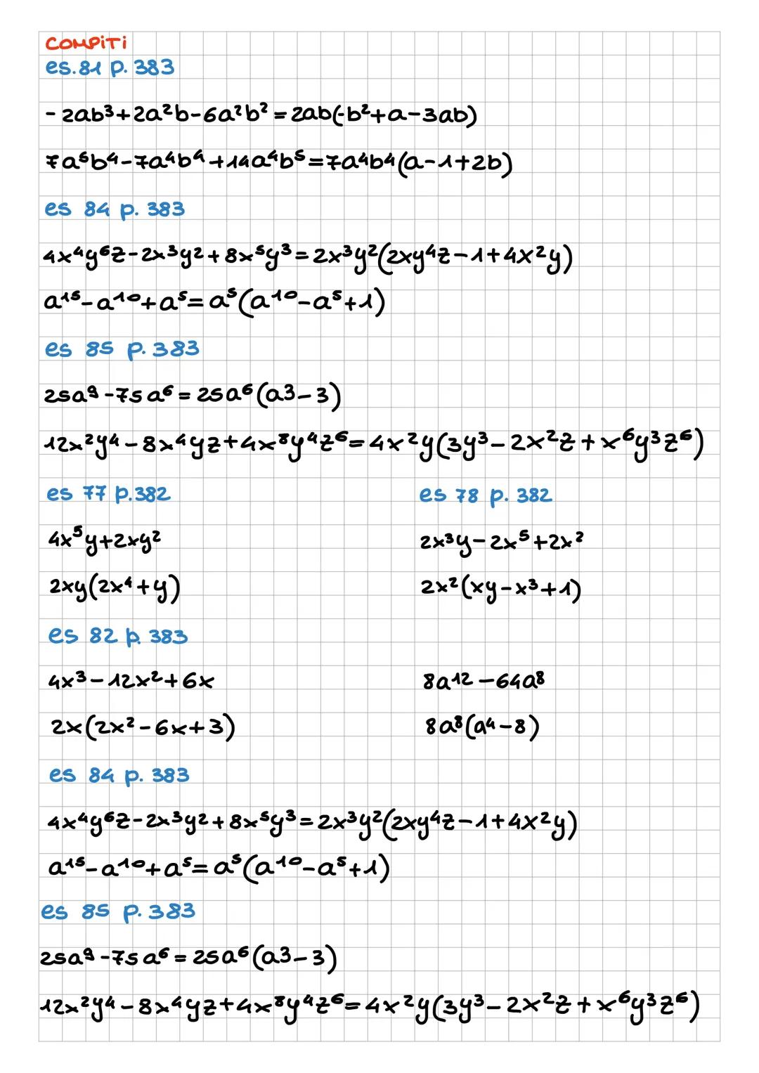
La prima tecnica è il raccoglimento totale. Funziona quando tutti i termini hanno qualcosa in comune - è come trovare il denominatore comune al contrario! Per esempio, 3xy + 6x² diventa 3x.
💡 Trucco: Prima di tutto, cerca sempre il fattore comune tra tutti i termini - ti semplificherà la vita!

Il raccoglimento totale è il tuo primo alleato nelle scomposizioni! Devi solo individuare cosa hanno in comune tutti i termini e "tirarlo fuori" davanti a una parentesi.
Guarda 4x³ - 12x² + 6x: tutti i termini hanno 2x in comune, quindi ottieni 2x. È come dividere ogni termine per il fattore comune!
Per espressioni come 2x³y - 2x⁵ + 2x², il fattore comune è 2x². Il risultato sarà 2x².
💡 Ricorda: Il fattore comune include sia i numeri che le lettere con l'esponente più piccolo!

Quando il raccoglimento totale non funziona, prova il raccoglimento parziale! Questa tecnica funziona solo con 4 o 6 termini e consiste nel raggruppare a coppie.
Prendi 2a + 2x - 3a² - 3ax: raggruppa i primi due e gli ultimi due termini. Ottieni 2 - 3a. Ora vedi che è comune!
Il risultato finale è . È come risolvere due mini-puzzle che poi si incastrano perfettamente!
Il segreto è raggruppare in modo da ottenere la stessa parentesi in entrambi i gruppi.
💡 Strategia: Se hai 4 termini e il raccoglimento totale non funziona, il raccoglimento parziale è la tua soluzione!

Il raccoglimento parziale diventa più facile con la pratica! Vediamo x⁵ - x³ + 2x² - 2: raggruppa x³ + 2.
Entrambi i gruppi hanno in comune, quindi il risultato è . Non è fantastico?
Per espressioni più complesse come ax + by + ay + bx + az + bz, raggruppa per lettere: x + y + z = .
A volte devi essere creativo nel raggruppamento - non esiste una regola fissa, ma con l'esperienza diventerai velocissimo!
💡 Pro tip: Se non funziona un raggruppamento, prova a cambiare l'ordine dei termini!

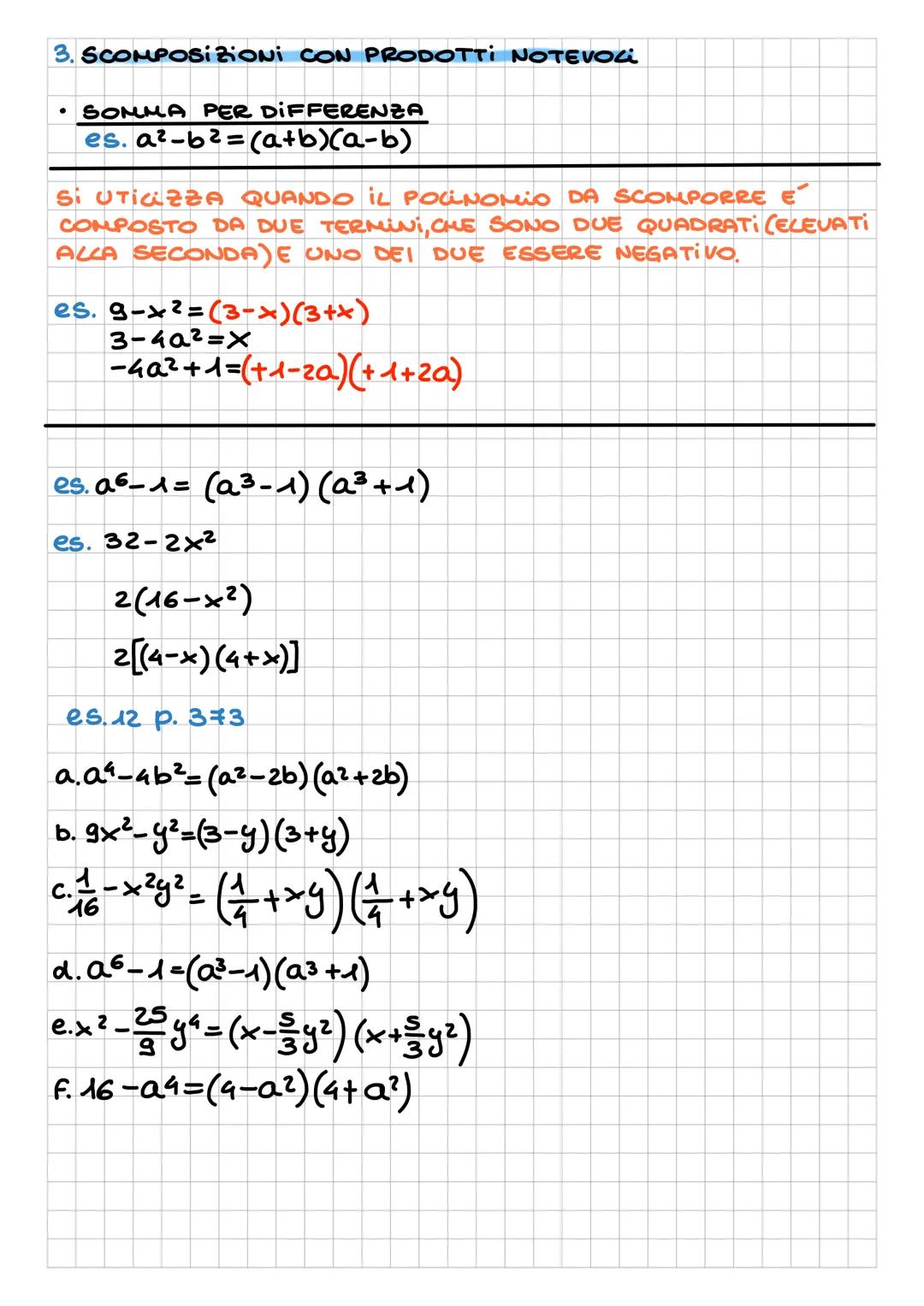
I prodotti notevoli sono i tuoi migliori amici per scomporre velocemente! La differenza di quadrati a² - b² = è super utile.
Riconosci il pattern: devi avere due termini, entrambi quadrati perfetti, con un segno meno tra loro. Per esempio, 9 - x² = .
Anche 32 - 2x² funziona: prima raccogli il 2, poi applichi la formula: 2 = 2.
La bellezza è che funziona anche con esponenti più alti: a⁶ - 1 = !
💡 Trucco veloce: Se vedi due quadrati con un meno in mezzo, è sempre una differenza di quadrati!

Il quadrato di binomio a² + b² + 2ab = ² richiede 3 termini: due quadrati e il loro doppio prodotto. È come ricostruire un puzzle!
Per x² + 9 + 6x, controlla: x² e 9 sono quadrati di x e 3, e 6x = 2·x·3. Perfetto! Risultato: ².
Il quadrato di trinomio è più complesso: servono 6 termini . Per esempio, a² + b² + c² + 2ab + 2ac + 2bc = ².
Quando hai 9x² - 12xy + 4y² + 1 + 6x - 4y, riconosci i quadrati (9x², 4y², 1) e verifica i doppi prodotti per ottenere ².
💡 Check importante: Controlla sempre che i doppi prodotti corrispondano - è la chiave per riconoscere questi pattern!

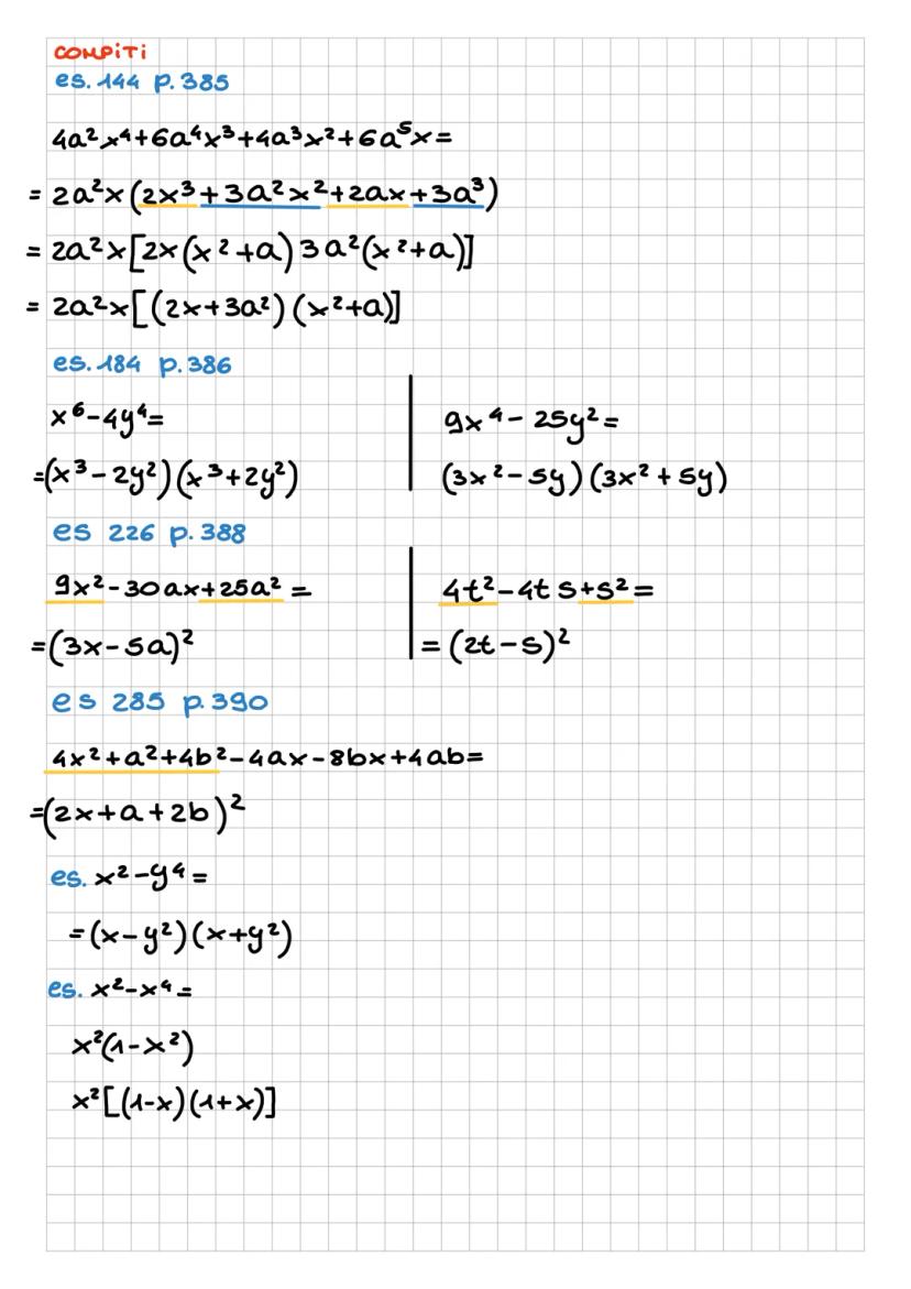
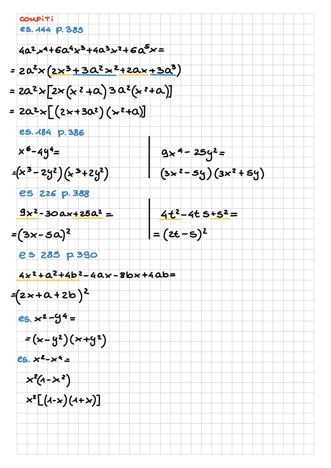
Mettiamo in pratica tutto! Per x⁶ - 4y⁴, riconosci che è (x³)² - (2y²)² = . Semplice quando capisci il pattern!
Il quadrato 9x² - 30ax + 25a² ha tutti gli elementi: (3x)², (5a)², e il doppio prodotto -30ax = -2·3x·5a. Risultato: ².
Per espressioni più complesse come 4x² + a² + 4b² - 4ax - 8bx + 4ab, cerca i tre quadrati nascosti: (2x)², a², (2b)². Il risultato è ².
Ricorda che x² - x⁴ = x² = x² - a volte devi combinare più tecniche!
💡 Strategia vincente: Prima raccogli tutto quello che puoi, poi cerca i prodotti notevoli!

Il cubo di binomio a³ + b³ + 3a²b + 3ab² = ³ richiede 4 termini: due cubi e due tripli prodotti. È il più complesso ma segue sempre lo stesso schema!
Per x³ - 9x² + 27x - 27, verifica: x³, (-3)³ = -27, e i tripli prodotti 3x²(-3) = -9x² e 3x(-3)² = 27x. Risultato: ³.
Strategia generale per le scomposizioni:
💡 Metodo infallibile: Se una tecnica non funziona, prova con un'altra - spesso si combinano più metodi!

Ora sei pronto per le sfide più difficili! Per 4x³ - 3x²y - 16xy² + 12y³, usa il raccoglimento parziale: 4x - 3y = .
Espressioni come x⁸ - x⁴ = x⁴ richiedono più passaggi - prima raccogli, poi applica altri metodi.
La strategia vincente:
Per a² - 2ab + b² + 4ac - 4bc + 4c² = ², riconosci il quadrato di trinomio!
💡 Segreto del successo: Con la pratica riconoscerai i pattern automaticamente - è solo questione di allenamento!

Eccellente! Ora padroneggi tutte le tecniche di scomposizione. Vediamo alcuni esempi finali per consolidare tutto.
Per 8x⁵ - 50x³y², prima raccogli 2x³: ottieni 2x³. Poi riconosci la differenza di quadrati: 2x³.
L'espressione a²x - 3a²y - bx + 3by si risolve con il raccoglimento parziale: a² - b = .
Ricorda che 12a³ - 12a² + 3a = 3a = 3a - combina raccoglimento totale e quadrato di binomio!
💡 Congratulazioni: Hai imparato tutte le tecniche principali - ora sei pronto per qualsiasi scomposizione di polinomi!
Il nostro assistente AI è costruito specificamente per le esigenze degli studenti. Sulla base dei milioni di contenuti presenti sulla piattaforma, possiamo fornire agli studenti risposte davvero significative e pertinenti. Ma non si tratta solo di risposte, l'assistente è in grado di guidare gli studenti attraverso le loro sfide quotidiane di studio, con piani di studio personalizzati, quiz o contenuti nella chat e una personalizzazione al 100% basata sulle competenze e sugli sviluppi degli studenti.
È possibile scaricare l'applicazione dal Google Play Store e dall'Apple App Store.
Sì, hai accesso completamente gratuito a tutti i contenuti nell'app e puoi chattare o seguire i Creatori in qualsiasi momento. Sbloccherai nuove funzioni crescendo il tuo numero di follower. Inoltre, offriamo Knowunity Premium, che consente di studiare senza alcun limite!!
Prodotti notevoli
LE PARABOLE: concavità, vertice, intersezione con asse x e y, altri punti, fuoco, direttrice. EQUAZIONE DELLA PARABOLA DANTI 3 PUNTI, RETTE E PARABOLE: rette secanti, tangenti ed esterne.
Appunti di goniometria e trigonometria
App Store
Google Play
L'applicazione è molto facile da usare e ben progettata. Finora ho trovato tutto quello che cercavo e ho potuto imparare molto dalle presentazioni! Utilizzerò sicuramente l'app per i compiti in classe! È molto utile anche come fonte di ispirazione.
Stefano S
utente iOS
Questa applicazione è davvero grande! Ci sono tantissimi appunti e aiuti con lo studio [...]. La mia materia problematica, per esempio, è il francese e l'app ha così tante opzioni per aiutarmi. Grazie a questa app ho migliorato il mio francese. La consiglio a tutti.
Samantha Klich
utente Android
Wow, sono davvero stupita. Ho appena provato l'app perché l'ho vista pubblicizzata molte volte e sono rimasta assolutamente sbalordita. Questa app è L'AIUTO che cercate per la scuola e soprattutto offre tantissime cose, come allenamenti e schede, che a me personalmente sono state MOLTO utili.
Anna
utente iOS
È bellissima questa app, la adoro. È utilissima per lo studio e mi aiuta molto, anzi moltissimo, ma soprattutto mi aiutano molto i quiz, per memorizzare anche quello che non sapevo
Anastasia
utente Android
Fantastica per qualsiasi materia avere gli appunti anche di altre persone è molto utile perchè posso confrontarmi e vedere come migliorarmi. con i quiz riesco ad apprendere al meglio.
Francesca
utente Android
moooolto utile,gli appunti sono belli e funzionanti,schoolGPT da dei consigli formidabili!!
Marianna
utente Android
L'applicazione è semplicemente fantastica! Tutto ciò che devo fare è inserire l'argomento nella barra di ricerca e ottengo la risposta molto velocemente. Non devo guardare 10 video di YouTube per capire qualcosa, quindi risparmio tempo. Consigliatissima!
Sudenaz Ocak
utente Android
A scuola andavo malissimo in matematica, ma grazie a questa applicazione ora vado meglio. Vi sono molto grato per aver creato questa app.
Greenlight Bonnie
utente Android
Knowunity è un applicazione fantastica,considerando che ha degli schemi veramente molto carini e sfiziosi e che ci sono dei quiz,oltre al fatto che questa cosa dell intelligenza artificiale "school gpt" è almeno per me molto utile, perché a differenza di Chatgpt ti da le spiegazioni, ti spiega ciò che non è chiaro! Posso studiare più velocemente tramite gli schemi e che posso pubblicare io stessa gli schemi è una funzione utilissima per gli altri studenti. Knowunity è PERFETTA
Aurora
utente Android
L’app funziona benissimo e puoi trovare qualsiasi tipo di informazione. Non ho l’abbonamento ma la parte gratuita è sufficiente per uno studio approfondito.
Martina
utente iOS
I quiz E LE flashcard SONO COSÌ UTILI E ADORO Knowunity IA. È ANCHE LETTERALMENTE COME CHATGPT MA PIÙ INTELLIGENTE!! MI HA AIUTATO ANCHE COI MIEI PROBLEMI DI MASCARA!! E ANCHE CON LE MIE VERE MATERIE! OVVIO 😍😁😲🤑💗✨🎀😮
Chiara
utente IOS
Questa app è una delle migliori, nient’altro da dire.
Andrea
utente iOS
L'applicazione è molto facile da usare e ben progettata. Finora ho trovato tutto quello che cercavo e ho potuto imparare molto dalle presentazioni! Utilizzerò sicuramente l'app per i compiti in classe! È molto utile anche come fonte di ispirazione.
Stefano S
utente iOS
Questa applicazione è davvero grande! Ci sono tantissimi appunti e aiuti con lo studio [...]. La mia materia problematica, per esempio, è il francese e l'app ha così tante opzioni per aiutarmi. Grazie a questa app ho migliorato il mio francese. La consiglio a tutti.
Samantha Klich
utente Android
Wow, sono davvero stupita. Ho appena provato l'app perché l'ho vista pubblicizzata molte volte e sono rimasta assolutamente sbalordita. Questa app è L'AIUTO che cercate per la scuola e soprattutto offre tantissime cose, come allenamenti e schede, che a me personalmente sono state MOLTO utili.
Anna
utente iOS
È bellissima questa app, la adoro. È utilissima per lo studio e mi aiuta molto, anzi moltissimo, ma soprattutto mi aiutano molto i quiz, per memorizzare anche quello che non sapevo
Anastasia
utente Android
Fantastica per qualsiasi materia avere gli appunti anche di altre persone è molto utile perchè posso confrontarmi e vedere come migliorarmi. con i quiz riesco ad apprendere al meglio.
Francesca
utente Android
moooolto utile,gli appunti sono belli e funzionanti,schoolGPT da dei consigli formidabili!!
Marianna
utente Android
L'applicazione è semplicemente fantastica! Tutto ciò che devo fare è inserire l'argomento nella barra di ricerca e ottengo la risposta molto velocemente. Non devo guardare 10 video di YouTube per capire qualcosa, quindi risparmio tempo. Consigliatissima!
Sudenaz Ocak
utente Android
A scuola andavo malissimo in matematica, ma grazie a questa applicazione ora vado meglio. Vi sono molto grato per aver creato questa app.
Greenlight Bonnie
utente Android
Knowunity è un applicazione fantastica,considerando che ha degli schemi veramente molto carini e sfiziosi e che ci sono dei quiz,oltre al fatto che questa cosa dell intelligenza artificiale "school gpt" è almeno per me molto utile, perché a differenza di Chatgpt ti da le spiegazioni, ti spiega ciò che non è chiaro! Posso studiare più velocemente tramite gli schemi e che posso pubblicare io stessa gli schemi è una funzione utilissima per gli altri studenti. Knowunity è PERFETTA
Aurora
utente Android
L’app funziona benissimo e puoi trovare qualsiasi tipo di informazione. Non ho l’abbonamento ma la parte gratuita è sufficiente per uno studio approfondito.
Martina
utente iOS
I quiz E LE flashcard SONO COSÌ UTILI E ADORO Knowunity IA. È ANCHE LETTERALMENTE COME CHATGPT MA PIÙ INTELLIGENTE!! MI HA AIUTATO ANCHE COI MIEI PROBLEMI DI MASCARA!! E ANCHE CON LE MIE VERE MATERIE! OVVIO 😍😁😲🤑💗✨🎀😮
Chiara
utente IOS
Questa app è una delle migliori, nient’altro da dire.
Andrea
utente iOS
Sofia Minutillo
@sofiainutillo_osnpovd
Scopri come trasformare i polinomii complicati in moltiplicazioni più semplici! Le scomposizioni sono come dei "trucchi matematici" che ti permettono di spezzare espressioni complesse in fattori più gestibili.

Accesso a tutti i documenti
Migliora i tuoi voti
Unisciti a milioni di studenti
Ti sei mai chiesto come rendere più semplice un'espressione algebrica apparentemente complicata? Le scomposizioni ti permettono di riscrivere un polinomio come prodotto di monomi e polinomi più semplici.
Pensa a x²-4: sembra complicato, ma in realtà è ! Alcuni polinomi sono irriducibili , altri sono riducibili e possono essere spezzettati.
La prima tecnica è il raccoglimento totale. Funziona quando tutti i termini hanno qualcosa in comune - è come trovare il denominatore comune al contrario! Per esempio, 3xy + 6x² diventa 3x.
💡 Trucco: Prima di tutto, cerca sempre il fattore comune tra tutti i termini - ti semplificherà la vita!

Accesso a tutti i documenti
Migliora i tuoi voti
Unisciti a milioni di studenti
Il raccoglimento totale è il tuo primo alleato nelle scomposizioni! Devi solo individuare cosa hanno in comune tutti i termini e "tirarlo fuori" davanti a una parentesi.
Guarda 4x³ - 12x² + 6x: tutti i termini hanno 2x in comune, quindi ottieni 2x. È come dividere ogni termine per il fattore comune!
Per espressioni come 2x³y - 2x⁵ + 2x², il fattore comune è 2x². Il risultato sarà 2x².
💡 Ricorda: Il fattore comune include sia i numeri che le lettere con l'esponente più piccolo!

Accesso a tutti i documenti
Migliora i tuoi voti
Unisciti a milioni di studenti
Quando il raccoglimento totale non funziona, prova il raccoglimento parziale! Questa tecnica funziona solo con 4 o 6 termini e consiste nel raggruppare a coppie.
Prendi 2a + 2x - 3a² - 3ax: raggruppa i primi due e gli ultimi due termini. Ottieni 2 - 3a. Ora vedi che è comune!
Il risultato finale è . È come risolvere due mini-puzzle che poi si incastrano perfettamente!
Il segreto è raggruppare in modo da ottenere la stessa parentesi in entrambi i gruppi.
💡 Strategia: Se hai 4 termini e il raccoglimento totale non funziona, il raccoglimento parziale è la tua soluzione!

Accesso a tutti i documenti
Migliora i tuoi voti
Unisciti a milioni di studenti
Il raccoglimento parziale diventa più facile con la pratica! Vediamo x⁵ - x³ + 2x² - 2: raggruppa x³ + 2.
Entrambi i gruppi hanno in comune, quindi il risultato è . Non è fantastico?
Per espressioni più complesse come ax + by + ay + bx + az + bz, raggruppa per lettere: x + y + z = .
A volte devi essere creativo nel raggruppamento - non esiste una regola fissa, ma con l'esperienza diventerai velocissimo!
💡 Pro tip: Se non funziona un raggruppamento, prova a cambiare l'ordine dei termini!

Accesso a tutti i documenti
Migliora i tuoi voti
Unisciti a milioni di studenti
I prodotti notevoli sono i tuoi migliori amici per scomporre velocemente! La differenza di quadrati a² - b² = è super utile.
Riconosci il pattern: devi avere due termini, entrambi quadrati perfetti, con un segno meno tra loro. Per esempio, 9 - x² = .
Anche 32 - 2x² funziona: prima raccogli il 2, poi applichi la formula: 2 = 2.
La bellezza è che funziona anche con esponenti più alti: a⁶ - 1 = !
💡 Trucco veloce: Se vedi due quadrati con un meno in mezzo, è sempre una differenza di quadrati!

Accesso a tutti i documenti
Migliora i tuoi voti
Unisciti a milioni di studenti
Il quadrato di binomio a² + b² + 2ab = ² richiede 3 termini: due quadrati e il loro doppio prodotto. È come ricostruire un puzzle!
Per x² + 9 + 6x, controlla: x² e 9 sono quadrati di x e 3, e 6x = 2·x·3. Perfetto! Risultato: ².
Il quadrato di trinomio è più complesso: servono 6 termini . Per esempio, a² + b² + c² + 2ab + 2ac + 2bc = ².
Quando hai 9x² - 12xy + 4y² + 1 + 6x - 4y, riconosci i quadrati (9x², 4y², 1) e verifica i doppi prodotti per ottenere ².
💡 Check importante: Controlla sempre che i doppi prodotti corrispondano - è la chiave per riconoscere questi pattern!

Accesso a tutti i documenti
Migliora i tuoi voti
Unisciti a milioni di studenti
Mettiamo in pratica tutto! Per x⁶ - 4y⁴, riconosci che è (x³)² - (2y²)² = . Semplice quando capisci il pattern!
Il quadrato 9x² - 30ax + 25a² ha tutti gli elementi: (3x)², (5a)², e il doppio prodotto -30ax = -2·3x·5a. Risultato: ².
Per espressioni più complesse come 4x² + a² + 4b² - 4ax - 8bx + 4ab, cerca i tre quadrati nascosti: (2x)², a², (2b)². Il risultato è ².
Ricorda che x² - x⁴ = x² = x² - a volte devi combinare più tecniche!
💡 Strategia vincente: Prima raccogli tutto quello che puoi, poi cerca i prodotti notevoli!

Accesso a tutti i documenti
Migliora i tuoi voti
Unisciti a milioni di studenti
Il cubo di binomio a³ + b³ + 3a²b + 3ab² = ³ richiede 4 termini: due cubi e due tripli prodotti. È il più complesso ma segue sempre lo stesso schema!
Per x³ - 9x² + 27x - 27, verifica: x³, (-3)³ = -27, e i tripli prodotti 3x²(-3) = -9x² e 3x(-3)² = 27x. Risultato: ³.
Strategia generale per le scomposizioni:
💡 Metodo infallibile: Se una tecnica non funziona, prova con un'altra - spesso si combinano più metodi!

Accesso a tutti i documenti
Migliora i tuoi voti
Unisciti a milioni di studenti
Ora sei pronto per le sfide più difficili! Per 4x³ - 3x²y - 16xy² + 12y³, usa il raccoglimento parziale: 4x - 3y = .
Espressioni come x⁸ - x⁴ = x⁴ richiedono più passaggi - prima raccogli, poi applica altri metodi.
La strategia vincente:
Per a² - 2ab + b² + 4ac - 4bc + 4c² = ², riconosci il quadrato di trinomio!
💡 Segreto del successo: Con la pratica riconoscerai i pattern automaticamente - è solo questione di allenamento!

Accesso a tutti i documenti
Migliora i tuoi voti
Unisciti a milioni di studenti
Eccellente! Ora padroneggi tutte le tecniche di scomposizione. Vediamo alcuni esempi finali per consolidare tutto.
Per 8x⁵ - 50x³y², prima raccogli 2x³: ottieni 2x³. Poi riconosci la differenza di quadrati: 2x³.
L'espressione a²x - 3a²y - bx + 3by si risolve con il raccoglimento parziale: a² - b = .
Ricorda che 12a³ - 12a² + 3a = 3a = 3a - combina raccoglimento totale e quadrato di binomio!
💡 Congratulazioni: Hai imparato tutte le tecniche principali - ora sei pronto per qualsiasi scomposizione di polinomi!
Il nostro assistente AI è costruito specificamente per le esigenze degli studenti. Sulla base dei milioni di contenuti presenti sulla piattaforma, possiamo fornire agli studenti risposte davvero significative e pertinenti. Ma non si tratta solo di risposte, l'assistente è in grado di guidare gli studenti attraverso le loro sfide quotidiane di studio, con piani di studio personalizzati, quiz o contenuti nella chat e una personalizzazione al 100% basata sulle competenze e sugli sviluppi degli studenti.
È possibile scaricare l'applicazione dal Google Play Store e dall'Apple App Store.
Sì, hai accesso completamente gratuito a tutti i contenuti nell'app e puoi chattare o seguire i Creatori in qualsiasi momento. Sbloccherai nuove funzioni crescendo il tuo numero di follower. Inoltre, offriamo Knowunity Premium, che consente di studiare senza alcun limite!!
31
Strumenti Intelligenti NUOVO
Trasforma questi appunti in: ✓ 50+ Domande di Pratica ✓ Flashcard Interattive ✓ Simulazione d'esame completa ✓ Schemi per Saggi
Prodotti notevoli
LE PARABOLE: concavità, vertice, intersezione con asse x e y, altri punti, fuoco, direttrice. EQUAZIONE DELLA PARABOLA DANTI 3 PUNTI, RETTE E PARABOLE: rette secanti, tangenti ed esterne.
Appunti di goniometria e trigonometria
App Store
Google Play
L'applicazione è molto facile da usare e ben progettata. Finora ho trovato tutto quello che cercavo e ho potuto imparare molto dalle presentazioni! Utilizzerò sicuramente l'app per i compiti in classe! È molto utile anche come fonte di ispirazione.
Stefano S
utente iOS
Questa applicazione è davvero grande! Ci sono tantissimi appunti e aiuti con lo studio [...]. La mia materia problematica, per esempio, è il francese e l'app ha così tante opzioni per aiutarmi. Grazie a questa app ho migliorato il mio francese. La consiglio a tutti.
Samantha Klich
utente Android
Wow, sono davvero stupita. Ho appena provato l'app perché l'ho vista pubblicizzata molte volte e sono rimasta assolutamente sbalordita. Questa app è L'AIUTO che cercate per la scuola e soprattutto offre tantissime cose, come allenamenti e schede, che a me personalmente sono state MOLTO utili.
Anna
utente iOS
È bellissima questa app, la adoro. È utilissima per lo studio e mi aiuta molto, anzi moltissimo, ma soprattutto mi aiutano molto i quiz, per memorizzare anche quello che non sapevo
Anastasia
utente Android
Fantastica per qualsiasi materia avere gli appunti anche di altre persone è molto utile perchè posso confrontarmi e vedere come migliorarmi. con i quiz riesco ad apprendere al meglio.
Francesca
utente Android
moooolto utile,gli appunti sono belli e funzionanti,schoolGPT da dei consigli formidabili!!
Marianna
utente Android
L'applicazione è semplicemente fantastica! Tutto ciò che devo fare è inserire l'argomento nella barra di ricerca e ottengo la risposta molto velocemente. Non devo guardare 10 video di YouTube per capire qualcosa, quindi risparmio tempo. Consigliatissima!
Sudenaz Ocak
utente Android
A scuola andavo malissimo in matematica, ma grazie a questa applicazione ora vado meglio. Vi sono molto grato per aver creato questa app.
Greenlight Bonnie
utente Android
Knowunity è un applicazione fantastica,considerando che ha degli schemi veramente molto carini e sfiziosi e che ci sono dei quiz,oltre al fatto che questa cosa dell intelligenza artificiale "school gpt" è almeno per me molto utile, perché a differenza di Chatgpt ti da le spiegazioni, ti spiega ciò che non è chiaro! Posso studiare più velocemente tramite gli schemi e che posso pubblicare io stessa gli schemi è una funzione utilissima per gli altri studenti. Knowunity è PERFETTA
Aurora
utente Android
L’app funziona benissimo e puoi trovare qualsiasi tipo di informazione. Non ho l’abbonamento ma la parte gratuita è sufficiente per uno studio approfondito.
Martina
utente iOS
I quiz E LE flashcard SONO COSÌ UTILI E ADORO Knowunity IA. È ANCHE LETTERALMENTE COME CHATGPT MA PIÙ INTELLIGENTE!! MI HA AIUTATO ANCHE COI MIEI PROBLEMI DI MASCARA!! E ANCHE CON LE MIE VERE MATERIE! OVVIO 😍😁😲🤑💗✨🎀😮
Chiara
utente IOS
Questa app è una delle migliori, nient’altro da dire.
Andrea
utente iOS
L'applicazione è molto facile da usare e ben progettata. Finora ho trovato tutto quello che cercavo e ho potuto imparare molto dalle presentazioni! Utilizzerò sicuramente l'app per i compiti in classe! È molto utile anche come fonte di ispirazione.
Stefano S
utente iOS
Questa applicazione è davvero grande! Ci sono tantissimi appunti e aiuti con lo studio [...]. La mia materia problematica, per esempio, è il francese e l'app ha così tante opzioni per aiutarmi. Grazie a questa app ho migliorato il mio francese. La consiglio a tutti.
Samantha Klich
utente Android
Wow, sono davvero stupita. Ho appena provato l'app perché l'ho vista pubblicizzata molte volte e sono rimasta assolutamente sbalordita. Questa app è L'AIUTO che cercate per la scuola e soprattutto offre tantissime cose, come allenamenti e schede, che a me personalmente sono state MOLTO utili.
Anna
utente iOS
È bellissima questa app, la adoro. È utilissima per lo studio e mi aiuta molto, anzi moltissimo, ma soprattutto mi aiutano molto i quiz, per memorizzare anche quello che non sapevo
Anastasia
utente Android
Fantastica per qualsiasi materia avere gli appunti anche di altre persone è molto utile perchè posso confrontarmi e vedere come migliorarmi. con i quiz riesco ad apprendere al meglio.
Francesca
utente Android
moooolto utile,gli appunti sono belli e funzionanti,schoolGPT da dei consigli formidabili!!
Marianna
utente Android
L'applicazione è semplicemente fantastica! Tutto ciò che devo fare è inserire l'argomento nella barra di ricerca e ottengo la risposta molto velocemente. Non devo guardare 10 video di YouTube per capire qualcosa, quindi risparmio tempo. Consigliatissima!
Sudenaz Ocak
utente Android
A scuola andavo malissimo in matematica, ma grazie a questa applicazione ora vado meglio. Vi sono molto grato per aver creato questa app.
Greenlight Bonnie
utente Android
Knowunity è un applicazione fantastica,considerando che ha degli schemi veramente molto carini e sfiziosi e che ci sono dei quiz,oltre al fatto che questa cosa dell intelligenza artificiale "school gpt" è almeno per me molto utile, perché a differenza di Chatgpt ti da le spiegazioni, ti spiega ciò che non è chiaro! Posso studiare più velocemente tramite gli schemi e che posso pubblicare io stessa gli schemi è una funzione utilissima per gli altri studenti. Knowunity è PERFETTA
Aurora
utente Android
L’app funziona benissimo e puoi trovare qualsiasi tipo di informazione. Non ho l’abbonamento ma la parte gratuita è sufficiente per uno studio approfondito.
Martina
utente iOS
I quiz E LE flashcard SONO COSÌ UTILI E ADORO Knowunity IA. È ANCHE LETTERALMENTE COME CHATGPT MA PIÙ INTELLIGENTE!! MI HA AIUTATO ANCHE COI MIEI PROBLEMI DI MASCARA!! E ANCHE CON LE MIE VERE MATERIE! OVVIO 😍😁😲🤑💗✨🎀😮
Chiara
utente IOS
Questa app è una delle migliori, nient’altro da dire.
Andrea
utente iOS