Appunti grafici, schemi e dimostrazioni
Iscriviti per mostrare il contenutoร gratis!
Accesso a tutti i documenti
Migliora i tuoi voti
Unisciti a milioni di studenti
Iscrivendosi si accettano i Termini di servizio e la Informativa sulla privacy.
La grande guerra e le sue conseguenze
L'italia e l'europa nel mondo
Il mondo dellโottocento
Il medioevo
Dall'alto medioevo al basso medioevo
Verso un nuovo secolo
Le antiche civiltร
L'etร moderna
Decadenza dellโimpero romano
Il nazionalismo e la prima guerra mondiale
Lโetร dei totalitarismi
Il totalitarismo e la seconda guerra mondiale
Il risorgimento e lโunitร dโitalia
La civiltร greca
La civiltร romana
Mostra tutti gli argomenti
La terra: uno sguardo introduttivo
Processo magmatico e rocce ignee
Lโatmosfera
La genetica
Processo sedimentario e rocce sedimentarie
I vulcani
Apparato circolatorio e sistema linfatico
I sistemi di regolazione e gli organi di senso
Le acque oceaniche
Il sistema solare e il sole
La terra deformata: faglue, pieghe
Nell'universo
La dinamica delle placche
Le acque continentali
Storia geologica della terra e dell'italia
Mostra tutti gli argomenti
Il metodo fenomenologico come scienza rigorosa in e. husserl
L'illuminismo:
La negazione del sistema e le filosofie della crisi: schopenhauer, kierkegaard, nietzsche
Platone
I molteplici principi della realtร .
L'indagine sull'essere.
Filosofie della coscienza: libertร umana, analitica esistenziale e riflessioni sul tempo in heidegger e bergson
Aristotele.
La ricerca dell'assoluto e il rapporto io-natura nell'idealismo tedesco
Aspetti filosofici dell'umanesimo e del rinascimento
La societร e la cultura in etร ellenistica.
La rivoluzione scientifica e le sue dimensioni filosofico- antropologiche
Cenni sul pensiero medievale
Filosofia della storia e teoria del progresso dal positivismo a feuerbach
La ricerca del principio di tutte le cose.
Mostra tutti gli argomenti

41
0
greta ๐ซ
27/11/2025
Matematica
Iperbole - Iperbole equilatera - Funzione omografica
1878
โข
27 nov 2025
โข
greta ๐ซ
@gretabattle_
Appunti grafici, schemi e dimostrazioni








Il nostro assistente AI รจ costruito specificamente per le esigenze degli studenti. Sulla base dei milioni di contenuti presenti sulla piattaforma, possiamo fornire agli studenti risposte davvero significative e pertinenti. Ma non si tratta solo di risposte, l'assistente รจ in grado di guidare gli studenti attraverso le loro sfide quotidiane di studio, con piani di studio personalizzati, quiz o contenuti nella chat e una personalizzazione al 100% basata sulle competenze e sugli sviluppi degli studenti.
ร possibile scaricare l'applicazione dal Google Play Store e dall'Apple App Store.
Sรฌ, hai accesso completamente gratuito a tutti i contenuti nell'app e puoi chattare o seguire i Creatori in qualsiasi momento. Sbloccherai nuove funzioni crescendo il tuo numero di follower. Inoltre, offriamo Knowunity Premium, che consente di studiare senza alcun limite!!
App Store
Google Play
L'applicazione รจ molto facile da usare e ben progettata. Finora ho trovato tutto quello che cercavo e ho potuto imparare molto dalle presentazioni! Utilizzerรฒ sicuramente l'app per i compiti in classe! ร molto utile anche come fonte di ispirazione.
Stefano S
utente iOS
Questa applicazione รจ davvero grande! Ci sono tantissimi appunti e aiuti con lo studio [...]. La mia materia problematica, per esempio, รจ il francese e l'app ha cosรฌ tante opzioni per aiutarmi. Grazie a questa app ho migliorato il mio francese. La consiglio a tutti.
Samantha Klich
utente Android
Wow, sono davvero stupita. Ho appena provato l'app perchรฉ l'ho vista pubblicizzata molte volte e sono rimasta assolutamente sbalordita. Questa app รจ L'AIUTO che cercate per la scuola e soprattutto offre tantissime cose, come allenamenti e schede, che a me personalmente sono state MOLTO utili.
Anna
utente iOS
ร bellissima questa app, la adoro. ร utilissima per lo studio e mi aiuta molto, anzi moltissimo, ma soprattutto mi aiutano molto i quiz, per memorizzare anche quello che non sapevo
Anastasia
utente Android
Fantastica per qualsiasi materia avere gli appunti anche di altre persone รจ molto utile perchรจ posso confrontarmi e vedere come migliorarmi. con i quiz riesco ad apprendere al meglio.
Francesca
utente Android
moooolto utile,gli appunti sono belli e funzionanti,schoolGPT da dei consigli formidabili!!
Marianna
utente Android
L'applicazione รจ semplicemente fantastica! Tutto ciรฒ che devo fare รจ inserire l'argomento nella barra di ricerca e ottengo la risposta molto velocemente. Non devo guardare 10 video di YouTube per capire qualcosa, quindi risparmio tempo. Consigliatissima!
Sudenaz Ocak
utente Android
A scuola andavo malissimo in matematica, ma grazie a questa applicazione ora vado meglio. Vi sono molto grato per aver creato questa app.
Greenlight Bonnie
utente Android
Knowunity รจ un applicazione fantastica,considerando che ha degli schemi veramente molto carini e sfiziosi e che ci sono dei quiz,oltre al fatto che questa cosa dell intelligenza artificiale "school gpt" รจ almeno per me molto utile, perchรฉ a differenza di Chatgpt ti da le spiegazioni, ti spiega ciรฒ che non รจ chiaro! Posso studiare piรน velocemente tramite gli schemi e che posso pubblicare io stessa gli schemi รจ una funzione utilissima per gli altri studenti. Knowunity รจ PERFETTA
Aurora
utente Android
Lโapp funziona benissimo e puoi trovare qualsiasi tipo di informazione. Non ho lโabbonamento ma la parte gratuita รจ sufficiente per uno studio approfondito.
Martina
utente iOS
in questi ultimi mesi di scuola dove il tempo รจ ormai poco, mi sta aiutando molto perchรฉ piuttosto che farmi io gli schemi su quello che leggo sul libro guardo questi giร fatti e li uso come ripasso piuttosto che rileggermi tutto il libro
Chiara
utente IOS
Questa app รจ una delle migliori, nientโaltro da dire.
Andrea
utente iOS
L'applicazione รจ molto facile da usare e ben progettata. Finora ho trovato tutto quello che cercavo e ho potuto imparare molto dalle presentazioni! Utilizzerรฒ sicuramente l'app per i compiti in classe! ร molto utile anche come fonte di ispirazione.
Stefano S
utente iOS
Questa applicazione รจ davvero grande! Ci sono tantissimi appunti e aiuti con lo studio [...]. La mia materia problematica, per esempio, รจ il francese e l'app ha cosรฌ tante opzioni per aiutarmi. Grazie a questa app ho migliorato il mio francese. La consiglio a tutti.
Samantha Klich
utente Android
Wow, sono davvero stupita. Ho appena provato l'app perchรฉ l'ho vista pubblicizzata molte volte e sono rimasta assolutamente sbalordita. Questa app รจ L'AIUTO che cercate per la scuola e soprattutto offre tantissime cose, come allenamenti e schede, che a me personalmente sono state MOLTO utili.
Anna
utente iOS
ร bellissima questa app, la adoro. ร utilissima per lo studio e mi aiuta molto, anzi moltissimo, ma soprattutto mi aiutano molto i quiz, per memorizzare anche quello che non sapevo
Anastasia
utente Android
Fantastica per qualsiasi materia avere gli appunti anche di altre persone รจ molto utile perchรจ posso confrontarmi e vedere come migliorarmi. con i quiz riesco ad apprendere al meglio.
Francesca
utente Android
moooolto utile,gli appunti sono belli e funzionanti,schoolGPT da dei consigli formidabili!!
Marianna
utente Android
L'applicazione รจ semplicemente fantastica! Tutto ciรฒ che devo fare รจ inserire l'argomento nella barra di ricerca e ottengo la risposta molto velocemente. Non devo guardare 10 video di YouTube per capire qualcosa, quindi risparmio tempo. Consigliatissima!
Sudenaz Ocak
utente Android
A scuola andavo malissimo in matematica, ma grazie a questa applicazione ora vado meglio. Vi sono molto grato per aver creato questa app.
Greenlight Bonnie
utente Android
Knowunity รจ un applicazione fantastica,considerando che ha degli schemi veramente molto carini e sfiziosi e che ci sono dei quiz,oltre al fatto che questa cosa dell intelligenza artificiale "school gpt" รจ almeno per me molto utile, perchรฉ a differenza di Chatgpt ti da le spiegazioni, ti spiega ciรฒ che non รจ chiaro! Posso studiare piรน velocemente tramite gli schemi e che posso pubblicare io stessa gli schemi รจ una funzione utilissima per gli altri studenti. Knowunity รจ PERFETTA
Aurora
utente Android
Lโapp funziona benissimo e puoi trovare qualsiasi tipo di informazione. Non ho lโabbonamento ma la parte gratuita รจ sufficiente per uno studio approfondito.
Martina
utente iOS
in questi ultimi mesi di scuola dove il tempo รจ ormai poco, mi sta aiutando molto perchรฉ piuttosto che farmi io gli schemi su quello che leggo sul libro guardo questi giร fatti e li uso come ripasso piuttosto che rileggermi tutto il libro
Chiara
utente IOS
Questa app รจ una delle migliori, nientโaltro da dire.
Andrea
utente iOS
greta ๐ซ
@gretabattle_
Appunti grafici, schemi e dimostrazioni

Accesso a tutti i documenti
Migliora i tuoi voti
Unisciti a milioni di studenti
Iscrivendosi si accettano i Termini di servizio e la Informativa sulla privacy.

Accesso a tutti i documenti
Migliora i tuoi voti
Unisciti a milioni di studenti
Iscrivendosi si accettano i Termini di servizio e la Informativa sulla privacy.

Accesso a tutti i documenti
Migliora i tuoi voti
Unisciti a milioni di studenti
Iscrivendosi si accettano i Termini di servizio e la Informativa sulla privacy.

Accesso a tutti i documenti
Migliora i tuoi voti
Unisciti a milioni di studenti
Iscrivendosi si accettano i Termini di servizio e la Informativa sulla privacy.
Il nostro assistente AI รจ costruito specificamente per le esigenze degli studenti. Sulla base dei milioni di contenuti presenti sulla piattaforma, possiamo fornire agli studenti risposte davvero significative e pertinenti. Ma non si tratta solo di risposte, l'assistente รจ in grado di guidare gli studenti attraverso le loro sfide quotidiane di studio, con piani di studio personalizzati, quiz o contenuti nella chat e una personalizzazione al 100% basata sulle competenze e sugli sviluppi degli studenti.
ร possibile scaricare l'applicazione dal Google Play Store e dall'Apple App Store.
Sรฌ, hai accesso completamente gratuito a tutti i contenuti nell'app e puoi chattare o seguire i Creatori in qualsiasi momento. Sbloccherai nuove funzioni crescendo il tuo numero di follower. Inoltre, offriamo Knowunity Premium, che consente di studiare senza alcun limite!!
41
Strumenti Intelligenti NUOVO
Trasforma questi appunti in: โ 50+ Domande di Pratica โ Flashcard Interattive โ Simulazione Completa d'Esame โ Schemi per Saggi
calcolo equazioni di rette , piani e superfici sferiche nello spazio. Applicazione sistema dei vettori
Geometria euclidea nello spazio formule
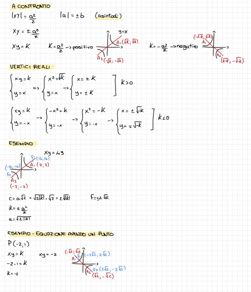
spiegazione iperbole
Appunti su Magnetismo e Forza di Lorentz, fenomeni elettromagnetici, moto di una carica in un campo magnetico, moto circolare di una carica, problema modello con risoluzione
Il piรน completo!! Equazione circonferenza, equazioni di circonferenze particolari, come determinare equazione circonferenza, tangente ad una circonferenza, fascio di circonferenza, risoluzione fasci di circonferenza, grafici con circonferenza
Appunti matematica per il tollc-e. Appunti completi
App Store
Google Play
L'applicazione รจ molto facile da usare e ben progettata. Finora ho trovato tutto quello che cercavo e ho potuto imparare molto dalle presentazioni! Utilizzerรฒ sicuramente l'app per i compiti in classe! ร molto utile anche come fonte di ispirazione.
Stefano S
utente iOS
Questa applicazione รจ davvero grande! Ci sono tantissimi appunti e aiuti con lo studio [...]. La mia materia problematica, per esempio, รจ il francese e l'app ha cosรฌ tante opzioni per aiutarmi. Grazie a questa app ho migliorato il mio francese. La consiglio a tutti.
Samantha Klich
utente Android
Wow, sono davvero stupita. Ho appena provato l'app perchรฉ l'ho vista pubblicizzata molte volte e sono rimasta assolutamente sbalordita. Questa app รจ L'AIUTO che cercate per la scuola e soprattutto offre tantissime cose, come allenamenti e schede, che a me personalmente sono state MOLTO utili.
Anna
utente iOS
ร bellissima questa app, la adoro. ร utilissima per lo studio e mi aiuta molto, anzi moltissimo, ma soprattutto mi aiutano molto i quiz, per memorizzare anche quello che non sapevo
Anastasia
utente Android
Fantastica per qualsiasi materia avere gli appunti anche di altre persone รจ molto utile perchรจ posso confrontarmi e vedere come migliorarmi. con i quiz riesco ad apprendere al meglio.
Francesca
utente Android
moooolto utile,gli appunti sono belli e funzionanti,schoolGPT da dei consigli formidabili!!
Marianna
utente Android
L'applicazione รจ semplicemente fantastica! Tutto ciรฒ che devo fare รจ inserire l'argomento nella barra di ricerca e ottengo la risposta molto velocemente. Non devo guardare 10 video di YouTube per capire qualcosa, quindi risparmio tempo. Consigliatissima!
Sudenaz Ocak
utente Android
A scuola andavo malissimo in matematica, ma grazie a questa applicazione ora vado meglio. Vi sono molto grato per aver creato questa app.
Greenlight Bonnie
utente Android
Knowunity รจ un applicazione fantastica,considerando che ha degli schemi veramente molto carini e sfiziosi e che ci sono dei quiz,oltre al fatto che questa cosa dell intelligenza artificiale "school gpt" รจ almeno per me molto utile, perchรฉ a differenza di Chatgpt ti da le spiegazioni, ti spiega ciรฒ che non รจ chiaro! Posso studiare piรน velocemente tramite gli schemi e che posso pubblicare io stessa gli schemi รจ una funzione utilissima per gli altri studenti. Knowunity รจ PERFETTA
Aurora
utente Android
Lโapp funziona benissimo e puoi trovare qualsiasi tipo di informazione. Non ho lโabbonamento ma la parte gratuita รจ sufficiente per uno studio approfondito.
Martina
utente iOS
in questi ultimi mesi di scuola dove il tempo รจ ormai poco, mi sta aiutando molto perchรฉ piuttosto che farmi io gli schemi su quello che leggo sul libro guardo questi giร fatti e li uso come ripasso piuttosto che rileggermi tutto il libro
Chiara
utente IOS
Questa app รจ una delle migliori, nientโaltro da dire.
Andrea
utente iOS
L'applicazione รจ molto facile da usare e ben progettata. Finora ho trovato tutto quello che cercavo e ho potuto imparare molto dalle presentazioni! Utilizzerรฒ sicuramente l'app per i compiti in classe! ร molto utile anche come fonte di ispirazione.
Stefano S
utente iOS
Questa applicazione รจ davvero grande! Ci sono tantissimi appunti e aiuti con lo studio [...]. La mia materia problematica, per esempio, รจ il francese e l'app ha cosรฌ tante opzioni per aiutarmi. Grazie a questa app ho migliorato il mio francese. La consiglio a tutti.
Samantha Klich
utente Android
Wow, sono davvero stupita. Ho appena provato l'app perchรฉ l'ho vista pubblicizzata molte volte e sono rimasta assolutamente sbalordita. Questa app รจ L'AIUTO che cercate per la scuola e soprattutto offre tantissime cose, come allenamenti e schede, che a me personalmente sono state MOLTO utili.
Anna
utente iOS
ร bellissima questa app, la adoro. ร utilissima per lo studio e mi aiuta molto, anzi moltissimo, ma soprattutto mi aiutano molto i quiz, per memorizzare anche quello che non sapevo
Anastasia
utente Android
Fantastica per qualsiasi materia avere gli appunti anche di altre persone รจ molto utile perchรจ posso confrontarmi e vedere come migliorarmi. con i quiz riesco ad apprendere al meglio.
Francesca
utente Android
moooolto utile,gli appunti sono belli e funzionanti,schoolGPT da dei consigli formidabili!!
Marianna
utente Android
L'applicazione รจ semplicemente fantastica! Tutto ciรฒ che devo fare รจ inserire l'argomento nella barra di ricerca e ottengo la risposta molto velocemente. Non devo guardare 10 video di YouTube per capire qualcosa, quindi risparmio tempo. Consigliatissima!
Sudenaz Ocak
utente Android
A scuola andavo malissimo in matematica, ma grazie a questa applicazione ora vado meglio. Vi sono molto grato per aver creato questa app.
Greenlight Bonnie
utente Android
Knowunity รจ un applicazione fantastica,considerando che ha degli schemi veramente molto carini e sfiziosi e che ci sono dei quiz,oltre al fatto che questa cosa dell intelligenza artificiale "school gpt" รจ almeno per me molto utile, perchรฉ a differenza di Chatgpt ti da le spiegazioni, ti spiega ciรฒ che non รจ chiaro! Posso studiare piรน velocemente tramite gli schemi e che posso pubblicare io stessa gli schemi รจ una funzione utilissima per gli altri studenti. Knowunity รจ PERFETTA
Aurora
utente Android
Lโapp funziona benissimo e puoi trovare qualsiasi tipo di informazione. Non ho lโabbonamento ma la parte gratuita รจ sufficiente per uno studio approfondito.
Martina
utente iOS
in questi ultimi mesi di scuola dove il tempo รจ ormai poco, mi sta aiutando molto perchรฉ piuttosto che farmi io gli schemi su quello che leggo sul libro guardo questi giร fatti e li uso come ripasso piuttosto che rileggermi tutto il libro
Chiara
utente IOS
Questa app รจ una delle migliori, nientโaltro da dire.
Andrea
utente iOS