I numeri razionali rappresentano una parte fondamentale della matematica che... Mostra di più
Iscriviti per mostrare il contenutoÈ gratis!
Accesso a tutti i documenti
Migliora i tuoi voti
Unisciti a milioni di studenti
Knowunity AI
Materie
Triangle Congruence and Similarity Theorems
Triangle Properties and Classification
Linear Equations and Graphs
Geometric Angle Relationships
Trigonometric Functions and Identities
Equation Solving Techniques
Circle Geometry Fundamentals
Division Operations and Methods
Basic Differentiation Rules
Exponent and Logarithm Properties
Mostra tutti gli argomenti
Human Organ Systems
Reproductive Cell Cycles
Biological Sciences Subdisciplines
Cellular Energy Metabolism
Autotrophic Energy Processes
Inheritance Patterns and Principles
Biomolecular Structure and Organization
Cell Cycle and Division Mechanics
Cellular Organization and Development
Biological Structural Organization
Mostra tutti gli argomenti
Chemical Sciences and Applications
Atomic Structure and Composition
Molecular Electron Structure Representation
Atomic Electron Behavior
Matter Properties and Water
Mole Concept and Calculations
Gas Laws and Behavior
Periodic Table Organization
Chemical Thermodynamics Fundamentals
Chemical Bond Types and Properties
Mostra tutti gli argomenti
European Renaissance and Enlightenment
European Cultural Movements 800-1920
American Revolution Era 1763-1797
American Civil War 1861-1865
Global Imperial Systems
Mongol and Chinese Dynasties
U.S. Presidents and World Leaders
Historical Sources and Documentation
World Wars Era and Impact
World Religious Systems
Mostra tutti gli argomenti
Classic and Contemporary Novels
Literary Character Analysis
Rhetorical Theory and Practice
Classic Literary Narratives
Reading Analysis and Interpretation
Narrative Structure and Techniques
English Language Components
Influential English-Language Authors
Basic Sentence Structure
Narrative Voice and Perspective
Mostra tutti gli argomenti
1,747
•
Aggiornato Apr 16, 2026
•
andrea
@andrea0000
I numeri razionali rappresentano una parte fondamentale della matematica che... Mostra di più







Le frazioni sono alla base dei numeri razionali. Una frazione si scrive come dove "a" è il numeratore e "b" è il denominatore (che non può mai essere zero, perché non possiamo dividere per zero!).
Esistono tre tipi principali di frazioni. Una frazione è propria quando il numeratore è minore del denominatore come $\frac{2}{5}$. È impropria quando il numeratore è maggiore del denominatore, ma non è un suo multiplo come $\frac{7}{5}$. Infine, è apparente quando il numeratore è uguale o multiplo del denominatore come $\frac{10}{5}$.
Due frazioni sono equivalenti se il loro prodotto in croce dà lo stesso risultato. Ad esempio, e sono equivalenti perché $3 \cdot 10 = 5 \cdot 6 = 30$.
Ricorda! Il concetto di frazioni equivalenti è essenziale per capire i numeri razionali, perché ogni numero razionale rappresenta una classe di frazioni equivalenti.

I numeri razionali (indicati con Q) sono classi di frazioni equivalenti dove numeratore e denominatore sono numeri interi. Sono un'estensione dei numeri naturali (N) e dei numeri interi (Z).
Per sommare o sottrarre frazioni con lo stesso denominatore, basta operare sui numeratori mantenendo il denominatore. Ad esempio: . Se i denominatori sono diversi, dobbiamo prima trovare il denominatore comune.
La moltiplicazione tra numeri razionali è semplice: si moltiplicano i numeratori tra loro e i denominatori tra loro. Ad esempio: .
Suggerimento pratico: Nella moltiplicazione, puoi semplificare i numeri "incrociando" numeratore e denominatore prima di moltiplicare, risparmiando calcoli complessi!

Quando moltiplichiamo frazioni, possiamo semplificare i calcoli usando un trucco utile: la semplificazione. Questa può essere fatta "ad incrocio" (tra numeratore di una frazione e denominatore dell'altra) o "sopra e sotto" (nella stessa frazione), ma mai sullo stesso piano.
Ad esempio, per calcolare , possiamo semplificare il 3 con il 9 (3 è divisore di 9) e il 5 con il 10 (5 è divisore di 10), ottenendo .
Questa tecnica ci permette di lavorare con numeri più piccoli e arrivare più facilmente al risultato finale, evitando calcoli complicati con numeri grandi.
Attenzione! Ricorda che puoi semplificare solo quando hai divisori comuni, e mai tra numeratori o denominatori di frazioni diverse.

Quando lavoriamo con espressioni che contengono numeri interi e frazioni, dobbiamo prima trasformare tutto in frazioni. Ad esempio, per calcolare , trasformiamo $3\frac{6}{2}2\frac{4}{2}$, così possiamo operare tutto con lo stesso denominatore.
La divisione tra numeri razionali segue una regola semplice ma fondamentale: dividere per una frazione equivale a moltiplicare per il suo reciproco (la frazione invertita). Per esempio, .
Questo principio ci permette di trasformare tutte le divisioni in moltiplicazioni, rendendo i calcoli più gestibili e uniformi.
Consiglio: Nelle espressioni complesse, procedi per passi, trasformando prima tutti i numeri in frazioni con lo stesso denominatore quando possibile.

Le potenze di una frazione seguono una regola semplice: l'esponente si applica sia al numeratore che al denominatore. Possiamo scriverlo come: .
Ad esempio, . Questa regola ci permette di calcolare potenze di frazioni in modo diretto senza passaggi intermedi complicati.
Quando incontriamo un esponente negativo, la situazione cambia leggermente, ma la regola è ancora semplice. Un esponente negativo indica che dobbiamo invertire la frazione e rendere l'esponente positivo: .
Ricorda questa formula! L'inversione della frazione quando l'esponente è negativo è uno dei concetti più testati negli esami di matematica delle scuole medie.

Gli esponenti negativi possono sembrare complicati, ma con un po' di pratica diventeranno facili da gestire. Vediamo alcuni esempi concreti:
. In questo caso, abbiamo invertito la frazione ottenendo e poi abbiamo applicato l'esponente 3 positivo.
Per i numeri interi, possiamo scriverli come frazioni con denominatore 1. Quindi $2^{-2} = ^2 = \frac{1}{4}$.
Attenzione al segno quando si lavora con frazioni negative e potenze! Ad esempio, . Il segno negativo rimane fuori dall'inversione perché è riferito all'intera frazione.
Prova tu stesso! Esercitati con potenze di frazioni con esponenti negativi: è uno dei concetti che, una volta padroneggiato, ti farà sentire davvero sicuro nella matematica.
Il nostro assistente AI è costruito specificamente per le esigenze degli studenti. Sulla base dei milioni di contenuti presenti sulla piattaforma, possiamo fornire agli studenti risposte davvero significative e pertinenti. Ma non si tratta solo di risposte, l'assistente è in grado di guidare gli studenti attraverso le loro sfide quotidiane di studio, con piani di studio personalizzati, quiz o contenuti nella chat e una personalizzazione al 100% basata sulle competenze e sugli sviluppi degli studenti.
È possibile scaricare l'applicazione dal Google Play Store e dall'Apple App Store.
Sì, hai accesso completamente gratuito a tutti i contenuti nell'app e puoi chattare o seguire i Creatori in qualsiasi momento. Sbloccherai nuove funzioni crescendo il tuo numero di follower. Inoltre, offriamo Knowunity Premium, che consente di studiare senza alcun limite!!
App Store
Google Play
L'applicazione è molto facile da usare e ben progettata. Finora ho trovato tutto quello che cercavo e ho potuto imparare molto dalle presentazioni! Utilizzerò sicuramente l'app per i compiti in classe! È molto utile anche come fonte di ispirazione.
Stefano S
utente iOS
Questa applicazione è davvero grande! Ci sono tantissimi appunti e aiuti con lo studio [...]. La mia materia problematica, per esempio, è il francese e l'app ha così tante opzioni per aiutarmi. Grazie a questa app ho migliorato il mio francese. La consiglio a tutti.
Samantha Klich
utente Android
Wow, sono davvero stupita. Ho appena provato l'app perché l'ho vista pubblicizzata molte volte e sono rimasta assolutamente sbalordita. Questa app è L'AIUTO che cercate per la scuola e soprattutto offre tantissime cose, come allenamenti e schede, che a me personalmente sono state MOLTO utili.
Anna
utente iOS
È bellissima questa app, la adoro. È utilissima per lo studio e mi aiuta molto, anzi moltissimo, ma soprattutto mi aiutano molto i quiz, per memorizzare anche quello che non sapevo
Anastasia
utente Android
Fantastica per qualsiasi materia avere gli appunti anche di altre persone è molto utile perchè posso confrontarmi e vedere come migliorarmi. con i quiz riesco ad apprendere al meglio.
Francesca
utente Android
moooolto utile,gli appunti sono belli e funzionanti,schoolGPT da dei consigli formidabili!!
Marianna
utente Android
L'applicazione è semplicemente fantastica! Tutto ciò che devo fare è inserire l'argomento nella barra di ricerca e ottengo la risposta molto velocemente. Non devo guardare 10 video di YouTube per capire qualcosa, quindi risparmio tempo. Consigliatissima!
Sudenaz Ocak
utente Android
A scuola andavo malissimo in matematica, ma grazie a questa applicazione ora vado meglio. Vi sono molto grato per aver creato questa app.
Greenlight Bonnie
utente Android
Knowunity è un applicazione fantastica,considerando che ha degli schemi veramente molto carini e sfiziosi e che ci sono dei quiz,oltre al fatto che questa cosa dell intelligenza artificiale "school gpt" è almeno per me molto utile, perché a differenza di Chatgpt ti da le spiegazioni, ti spiega ciò che non è chiaro! Posso studiare più velocemente tramite gli schemi e che posso pubblicare io stessa gli schemi è una funzione utilissima per gli altri studenti. Knowunity è PERFETTA
Aurora
utente Android
L’app funziona benissimo e puoi trovare qualsiasi tipo di informazione. Non ho l’abbonamento ma la parte gratuita è sufficiente per uno studio approfondito.
Martina
utente iOS
I quiz E LE flashcard SONO COSÌ UTILI E ADORO Knowunity IA. È ANCHE LETTERALMENTE COME CHATGPT MA PIÙ INTELLIGENTE!! MI HA AIUTATO ANCHE COI MIEI PROBLEMI DI MASCARA!! E ANCHE CON LE MIE VERE MATERIE! OVVIO 😍😁😲🤑💗✨🎀😮
Chiara
utente IOS
Questa app è una delle migliori, nient’altro da dire.
Andrea
utente iOS
L'applicazione è molto facile da usare e ben progettata. Finora ho trovato tutto quello che cercavo e ho potuto imparare molto dalle presentazioni! Utilizzerò sicuramente l'app per i compiti in classe! È molto utile anche come fonte di ispirazione.
Stefano S
utente iOS
Questa applicazione è davvero grande! Ci sono tantissimi appunti e aiuti con lo studio [...]. La mia materia problematica, per esempio, è il francese e l'app ha così tante opzioni per aiutarmi. Grazie a questa app ho migliorato il mio francese. La consiglio a tutti.
Samantha Klich
utente Android
Wow, sono davvero stupita. Ho appena provato l'app perché l'ho vista pubblicizzata molte volte e sono rimasta assolutamente sbalordita. Questa app è L'AIUTO che cercate per la scuola e soprattutto offre tantissime cose, come allenamenti e schede, che a me personalmente sono state MOLTO utili.
Anna
utente iOS
È bellissima questa app, la adoro. È utilissima per lo studio e mi aiuta molto, anzi moltissimo, ma soprattutto mi aiutano molto i quiz, per memorizzare anche quello che non sapevo
Anastasia
utente Android
Fantastica per qualsiasi materia avere gli appunti anche di altre persone è molto utile perchè posso confrontarmi e vedere come migliorarmi. con i quiz riesco ad apprendere al meglio.
Francesca
utente Android
moooolto utile,gli appunti sono belli e funzionanti,schoolGPT da dei consigli formidabili!!
Marianna
utente Android
L'applicazione è semplicemente fantastica! Tutto ciò che devo fare è inserire l'argomento nella barra di ricerca e ottengo la risposta molto velocemente. Non devo guardare 10 video di YouTube per capire qualcosa, quindi risparmio tempo. Consigliatissima!
Sudenaz Ocak
utente Android
A scuola andavo malissimo in matematica, ma grazie a questa applicazione ora vado meglio. Vi sono molto grato per aver creato questa app.
Greenlight Bonnie
utente Android
Knowunity è un applicazione fantastica,considerando che ha degli schemi veramente molto carini e sfiziosi e che ci sono dei quiz,oltre al fatto che questa cosa dell intelligenza artificiale "school gpt" è almeno per me molto utile, perché a differenza di Chatgpt ti da le spiegazioni, ti spiega ciò che non è chiaro! Posso studiare più velocemente tramite gli schemi e che posso pubblicare io stessa gli schemi è una funzione utilissima per gli altri studenti. Knowunity è PERFETTA
Aurora
utente Android
L’app funziona benissimo e puoi trovare qualsiasi tipo di informazione. Non ho l’abbonamento ma la parte gratuita è sufficiente per uno studio approfondito.
Martina
utente iOS
I quiz E LE flashcard SONO COSÌ UTILI E ADORO Knowunity IA. È ANCHE LETTERALMENTE COME CHATGPT MA PIÙ INTELLIGENTE!! MI HA AIUTATO ANCHE COI MIEI PROBLEMI DI MASCARA!! E ANCHE CON LE MIE VERE MATERIE! OVVIO 😍😁😲🤑💗✨🎀😮
Chiara
utente IOS
Questa app è una delle migliori, nient’altro da dire.
Andrea
utente iOS
andrea
@andrea0000
I numeri razionali rappresentano una parte fondamentale della matematica che usiamo ogni giorno. Sono frazioni composte da numeri interi e ci permettono di esprimere quantità che i numeri naturali da soli non possono rappresentare. Scopriamo insieme come funzionano e come... Mostra di più

Accesso a tutti i documenti
Migliora i tuoi voti
Unisciti a milioni di studenti
Le frazioni sono alla base dei numeri razionali. Una frazione si scrive come dove "a" è il numeratore e "b" è il denominatore (che non può mai essere zero, perché non possiamo dividere per zero!).
Esistono tre tipi principali di frazioni. Una frazione è propria quando il numeratore è minore del denominatore come $\frac{2}{5}$. È impropria quando il numeratore è maggiore del denominatore, ma non è un suo multiplo come $\frac{7}{5}$. Infine, è apparente quando il numeratore è uguale o multiplo del denominatore come $\frac{10}{5}$.
Due frazioni sono equivalenti se il loro prodotto in croce dà lo stesso risultato. Ad esempio, e sono equivalenti perché $3 \cdot 10 = 5 \cdot 6 = 30$.
Ricorda! Il concetto di frazioni equivalenti è essenziale per capire i numeri razionali, perché ogni numero razionale rappresenta una classe di frazioni equivalenti.

Accesso a tutti i documenti
Migliora i tuoi voti
Unisciti a milioni di studenti
I numeri razionali (indicati con Q) sono classi di frazioni equivalenti dove numeratore e denominatore sono numeri interi. Sono un'estensione dei numeri naturali (N) e dei numeri interi (Z).
Per sommare o sottrarre frazioni con lo stesso denominatore, basta operare sui numeratori mantenendo il denominatore. Ad esempio: . Se i denominatori sono diversi, dobbiamo prima trovare il denominatore comune.
La moltiplicazione tra numeri razionali è semplice: si moltiplicano i numeratori tra loro e i denominatori tra loro. Ad esempio: .
Suggerimento pratico: Nella moltiplicazione, puoi semplificare i numeri "incrociando" numeratore e denominatore prima di moltiplicare, risparmiando calcoli complessi!

Accesso a tutti i documenti
Migliora i tuoi voti
Unisciti a milioni di studenti
Quando moltiplichiamo frazioni, possiamo semplificare i calcoli usando un trucco utile: la semplificazione. Questa può essere fatta "ad incrocio" (tra numeratore di una frazione e denominatore dell'altra) o "sopra e sotto" (nella stessa frazione), ma mai sullo stesso piano.
Ad esempio, per calcolare , possiamo semplificare il 3 con il 9 (3 è divisore di 9) e il 5 con il 10 (5 è divisore di 10), ottenendo .
Questa tecnica ci permette di lavorare con numeri più piccoli e arrivare più facilmente al risultato finale, evitando calcoli complicati con numeri grandi.
Attenzione! Ricorda che puoi semplificare solo quando hai divisori comuni, e mai tra numeratori o denominatori di frazioni diverse.

Accesso a tutti i documenti
Migliora i tuoi voti
Unisciti a milioni di studenti
Quando lavoriamo con espressioni che contengono numeri interi e frazioni, dobbiamo prima trasformare tutto in frazioni. Ad esempio, per calcolare , trasformiamo $3\frac{6}{2}2\frac{4}{2}$, così possiamo operare tutto con lo stesso denominatore.
La divisione tra numeri razionali segue una regola semplice ma fondamentale: dividere per una frazione equivale a moltiplicare per il suo reciproco (la frazione invertita). Per esempio, .
Questo principio ci permette di trasformare tutte le divisioni in moltiplicazioni, rendendo i calcoli più gestibili e uniformi.
Consiglio: Nelle espressioni complesse, procedi per passi, trasformando prima tutti i numeri in frazioni con lo stesso denominatore quando possibile.

Accesso a tutti i documenti
Migliora i tuoi voti
Unisciti a milioni di studenti
Le potenze di una frazione seguono una regola semplice: l'esponente si applica sia al numeratore che al denominatore. Possiamo scriverlo come: .
Ad esempio, . Questa regola ci permette di calcolare potenze di frazioni in modo diretto senza passaggi intermedi complicati.
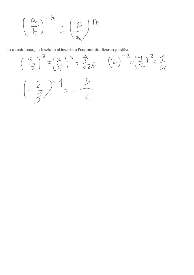
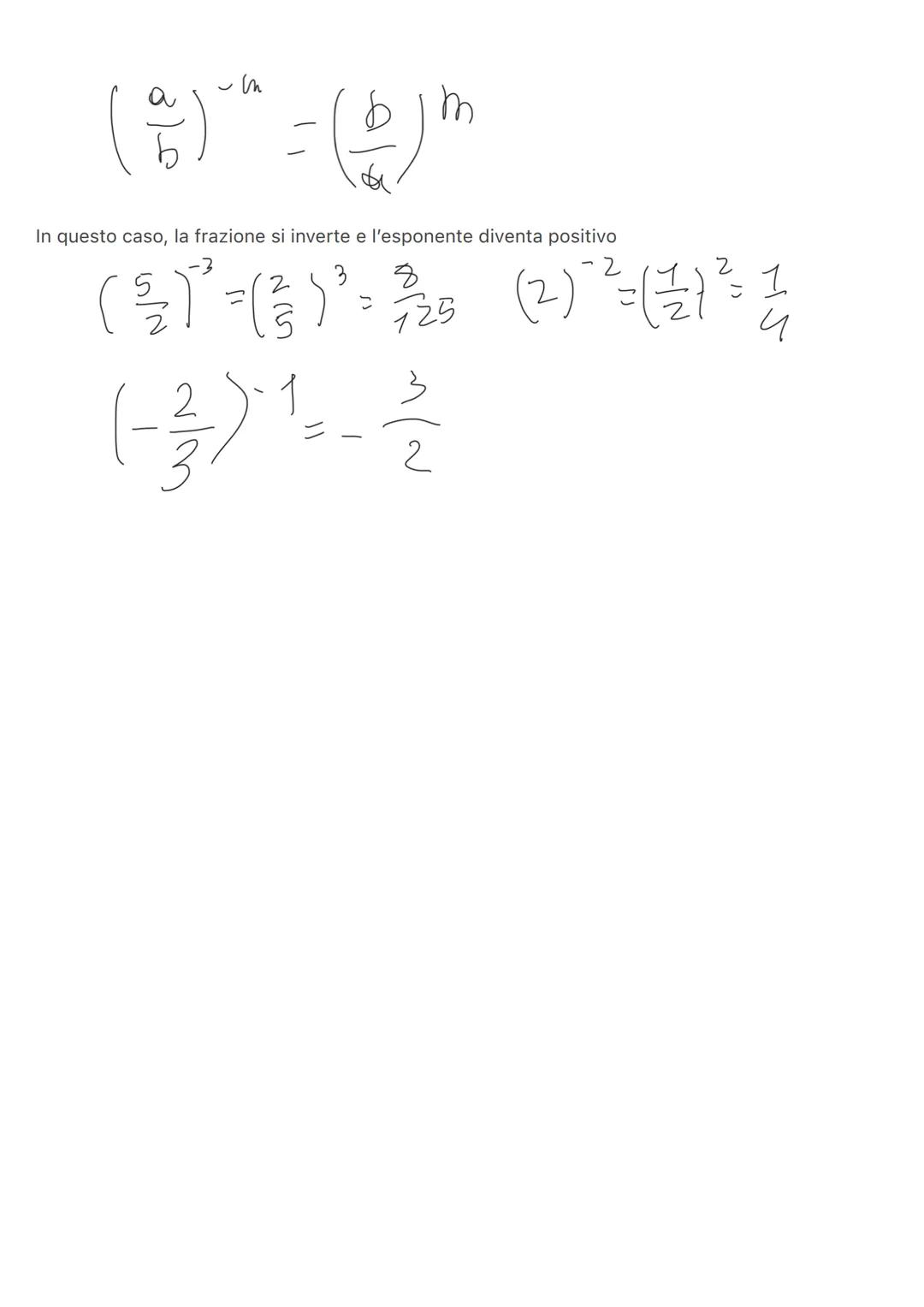
Quando incontriamo un esponente negativo, la situazione cambia leggermente, ma la regola è ancora semplice. Un esponente negativo indica che dobbiamo invertire la frazione e rendere l'esponente positivo: .
Ricorda questa formula! L'inversione della frazione quando l'esponente è negativo è uno dei concetti più testati negli esami di matematica delle scuole medie.

Accesso a tutti i documenti
Migliora i tuoi voti
Unisciti a milioni di studenti
Gli esponenti negativi possono sembrare complicati, ma con un po' di pratica diventeranno facili da gestire. Vediamo alcuni esempi concreti:
. In questo caso, abbiamo invertito la frazione ottenendo e poi abbiamo applicato l'esponente 3 positivo.
Per i numeri interi, possiamo scriverli come frazioni con denominatore 1. Quindi $2^{-2} = ^2 = \frac{1}{4}$.
Attenzione al segno quando si lavora con frazioni negative e potenze! Ad esempio, . Il segno negativo rimane fuori dall'inversione perché è riferito all'intera frazione.
Prova tu stesso! Esercitati con potenze di frazioni con esponenti negativi: è uno dei concetti che, una volta padroneggiato, ti farà sentire davvero sicuro nella matematica.
Il nostro assistente AI è costruito specificamente per le esigenze degli studenti. Sulla base dei milioni di contenuti presenti sulla piattaforma, possiamo fornire agli studenti risposte davvero significative e pertinenti. Ma non si tratta solo di risposte, l'assistente è in grado di guidare gli studenti attraverso le loro sfide quotidiane di studio, con piani di studio personalizzati, quiz o contenuti nella chat e una personalizzazione al 100% basata sulle competenze e sugli sviluppi degli studenti.
È possibile scaricare l'applicazione dal Google Play Store e dall'Apple App Store.
Sì, hai accesso completamente gratuito a tutti i contenuti nell'app e puoi chattare o seguire i Creatori in qualsiasi momento. Sbloccherai nuove funzioni crescendo il tuo numero di follower. Inoltre, offriamo Knowunity Premium, che consente di studiare senza alcun limite!!
21
Strumenti Intelligenti NUOVO
Trasforma questi appunti in: ✓ 50+ Domande di Pratica ✓ Flashcard Interattive ✓ Simulazione d'esame completa ✓ Schemi per Saggi
App Store
Google Play
L'applicazione è molto facile da usare e ben progettata. Finora ho trovato tutto quello che cercavo e ho potuto imparare molto dalle presentazioni! Utilizzerò sicuramente l'app per i compiti in classe! È molto utile anche come fonte di ispirazione.
Stefano S
utente iOS
Questa applicazione è davvero grande! Ci sono tantissimi appunti e aiuti con lo studio [...]. La mia materia problematica, per esempio, è il francese e l'app ha così tante opzioni per aiutarmi. Grazie a questa app ho migliorato il mio francese. La consiglio a tutti.
Samantha Klich
utente Android
Wow, sono davvero stupita. Ho appena provato l'app perché l'ho vista pubblicizzata molte volte e sono rimasta assolutamente sbalordita. Questa app è L'AIUTO che cercate per la scuola e soprattutto offre tantissime cose, come allenamenti e schede, che a me personalmente sono state MOLTO utili.
Anna
utente iOS
È bellissima questa app, la adoro. È utilissima per lo studio e mi aiuta molto, anzi moltissimo, ma soprattutto mi aiutano molto i quiz, per memorizzare anche quello che non sapevo
Anastasia
utente Android
Fantastica per qualsiasi materia avere gli appunti anche di altre persone è molto utile perchè posso confrontarmi e vedere come migliorarmi. con i quiz riesco ad apprendere al meglio.
Francesca
utente Android
moooolto utile,gli appunti sono belli e funzionanti,schoolGPT da dei consigli formidabili!!
Marianna
utente Android
L'applicazione è semplicemente fantastica! Tutto ciò che devo fare è inserire l'argomento nella barra di ricerca e ottengo la risposta molto velocemente. Non devo guardare 10 video di YouTube per capire qualcosa, quindi risparmio tempo. Consigliatissima!
Sudenaz Ocak
utente Android
A scuola andavo malissimo in matematica, ma grazie a questa applicazione ora vado meglio. Vi sono molto grato per aver creato questa app.
Greenlight Bonnie
utente Android
Knowunity è un applicazione fantastica,considerando che ha degli schemi veramente molto carini e sfiziosi e che ci sono dei quiz,oltre al fatto che questa cosa dell intelligenza artificiale "school gpt" è almeno per me molto utile, perché a differenza di Chatgpt ti da le spiegazioni, ti spiega ciò che non è chiaro! Posso studiare più velocemente tramite gli schemi e che posso pubblicare io stessa gli schemi è una funzione utilissima per gli altri studenti. Knowunity è PERFETTA
Aurora
utente Android
L’app funziona benissimo e puoi trovare qualsiasi tipo di informazione. Non ho l’abbonamento ma la parte gratuita è sufficiente per uno studio approfondito.
Martina
utente iOS
I quiz E LE flashcard SONO COSÌ UTILI E ADORO Knowunity IA. È ANCHE LETTERALMENTE COME CHATGPT MA PIÙ INTELLIGENTE!! MI HA AIUTATO ANCHE COI MIEI PROBLEMI DI MASCARA!! E ANCHE CON LE MIE VERE MATERIE! OVVIO 😍😁😲🤑💗✨🎀😮
Chiara
utente IOS
Questa app è una delle migliori, nient’altro da dire.
Andrea
utente iOS
L'applicazione è molto facile da usare e ben progettata. Finora ho trovato tutto quello che cercavo e ho potuto imparare molto dalle presentazioni! Utilizzerò sicuramente l'app per i compiti in classe! È molto utile anche come fonte di ispirazione.
Stefano S
utente iOS
Questa applicazione è davvero grande! Ci sono tantissimi appunti e aiuti con lo studio [...]. La mia materia problematica, per esempio, è il francese e l'app ha così tante opzioni per aiutarmi. Grazie a questa app ho migliorato il mio francese. La consiglio a tutti.
Samantha Klich
utente Android
Wow, sono davvero stupita. Ho appena provato l'app perché l'ho vista pubblicizzata molte volte e sono rimasta assolutamente sbalordita. Questa app è L'AIUTO che cercate per la scuola e soprattutto offre tantissime cose, come allenamenti e schede, che a me personalmente sono state MOLTO utili.
Anna
utente iOS
È bellissima questa app, la adoro. È utilissima per lo studio e mi aiuta molto, anzi moltissimo, ma soprattutto mi aiutano molto i quiz, per memorizzare anche quello che non sapevo
Anastasia
utente Android
Fantastica per qualsiasi materia avere gli appunti anche di altre persone è molto utile perchè posso confrontarmi e vedere come migliorarmi. con i quiz riesco ad apprendere al meglio.
Francesca
utente Android
moooolto utile,gli appunti sono belli e funzionanti,schoolGPT da dei consigli formidabili!!
Marianna
utente Android
L'applicazione è semplicemente fantastica! Tutto ciò che devo fare è inserire l'argomento nella barra di ricerca e ottengo la risposta molto velocemente. Non devo guardare 10 video di YouTube per capire qualcosa, quindi risparmio tempo. Consigliatissima!
Sudenaz Ocak
utente Android
A scuola andavo malissimo in matematica, ma grazie a questa applicazione ora vado meglio. Vi sono molto grato per aver creato questa app.
Greenlight Bonnie
utente Android
Knowunity è un applicazione fantastica,considerando che ha degli schemi veramente molto carini e sfiziosi e che ci sono dei quiz,oltre al fatto che questa cosa dell intelligenza artificiale "school gpt" è almeno per me molto utile, perché a differenza di Chatgpt ti da le spiegazioni, ti spiega ciò che non è chiaro! Posso studiare più velocemente tramite gli schemi e che posso pubblicare io stessa gli schemi è una funzione utilissima per gli altri studenti. Knowunity è PERFETTA
Aurora
utente Android
L’app funziona benissimo e puoi trovare qualsiasi tipo di informazione. Non ho l’abbonamento ma la parte gratuita è sufficiente per uno studio approfondito.
Martina
utente iOS
I quiz E LE flashcard SONO COSÌ UTILI E ADORO Knowunity IA. È ANCHE LETTERALMENTE COME CHATGPT MA PIÙ INTELLIGENTE!! MI HA AIUTATO ANCHE COI MIEI PROBLEMI DI MASCARA!! E ANCHE CON LE MIE VERE MATERIE! OVVIO 😍😁😲🤑💗✨🎀😮
Chiara
utente IOS
Questa app è una delle migliori, nient’altro da dire.
Andrea
utente iOS