Studiate le funzioni matematiche può sembrare complicato, ma in realtà... Mostra di più
Iscriviti per mostrare il contenutoÈ gratis!
Accesso a tutti i documenti
Migliora i tuoi voti
Unisciti a milioni di studenti
Knowunity AI
Materie
Triangle Congruence and Similarity Theorems
Triangle Properties and Classification
Linear Equations and Graphs
Geometric Angle Relationships
Trigonometric Functions and Identities
Equation Solving Techniques
Circle Geometry Fundamentals
Division Operations and Methods
Basic Differentiation Rules
Exponent and Logarithm Properties
Mostra tutti gli argomenti
Human Organ Systems
Reproductive Cell Cycles
Biological Sciences Subdisciplines
Cellular Energy Metabolism
Autotrophic Energy Processes
Inheritance Patterns and Principles
Biomolecular Structure and Organization
Cell Cycle and Division Mechanics
Cellular Organization and Development
Biological Structural Organization
Mostra tutti gli argomenti
Chemical Sciences and Applications
Atomic Structure and Composition
Molecular Electron Structure Representation
Atomic Electron Behavior
Matter Properties and Water
Mole Concept and Calculations
Gas Laws and Behavior
Periodic Table Organization
Chemical Thermodynamics Fundamentals
Chemical Bond Types and Properties
Mostra tutti gli argomenti
European Renaissance and Enlightenment
European Cultural Movements 800-1920
American Revolution Era 1763-1797
American Civil War 1861-1865
Global Imperial Systems
Mongol and Chinese Dynasties
U.S. Presidents and World Leaders
Historical Sources and Documentation
World Wars Era and Impact
World Religious Systems
Mostra tutti gli argomenti
Classic and Contemporary Novels
Literary Character Analysis
Rhetorical Theory and Practice
Classic Literary Narratives
Reading Analysis and Interpretation
Narrative Structure and Techniques
English Language Components
Influential English-Language Authors
Basic Sentence Structure
Narrative Voice and Perspective
Mostra tutti gli argomenti
897
•
Aggiornato Mar 27, 2026
•
Alice Peraldo
@aliceperaldo
Studiate le funzioni matematiche può sembrare complicato, ma in realtà... Mostra di più











Il dominio è l'insieme di tutti i valori che puoi sostituire alla x senza far "impazzire" la funzione. Ogni tipo di funzione ha le sue regole specifiche da rispettare.
Per le funzioni razionali (con frazioni), il denominatore non può mai essere zero. Se hai f(x) = 1/, allora x ≠ 2 perché renderebbe il denominatore nullo.
Le radici quadrate accettano solo valori non negativi sotto la radice. Per √, devi risolvere 3x+6 ≥ 0, quindi x ≥ -2.
Il logaritmo funziona solo con numeri positivi. Se hai ln, allora x+5 > 0, quindi x > -5.
💡 Trucco: Scrivi sempre tutte le condizioni che trovi e poi fai l'intersezione per ottenere il dominio finale!

Le funzioni trigonometriche come sin(x) e cos(x) hanno dominio ℝ (tutti i numeri reali) perché non ci sono restrizioni. Sono definite ovunque!
La funzione esponenziale e^x ha anch'essa dominio ℝ. Non importa quale numero sostituisci alla x, la funzione è sempre definita.
Per funzioni più complesse come √, devi risolvere la disequazione 5-x² ≥ 0. Questo ti dà -√5 ≤ x ≤ √5.
Quando hai prodotti di fattori come ≥ 0, usa il metodo del segno per trovare gli intervalli dove l'espressione è positiva o nulla.
💡 Ricorda: Le funzioni trigonometriche inverse come tan⁻¹(x) hanno spesso domini particolari da memorizzare!

Una funzione è iniettiva quando ogni valore di y corrisponde a un solo valore di x. Graficamente significa che ogni retta orizzontale interseca il grafico al massimo una volta.
Una funzione è suriettiva quando ogni valore del codominio viene "raggiunto" dalla funzione. In pratica, non ci sono "buchi" nel codominio.
Una funzione biettiva è sia iniettiva che suriettiva. È il tipo di funzione "perfetto" perché stabilisce una corrispondenza biunivoca tra dominio e codominio.
💡 Test visivo: Usa il test della retta orizzontale per verificare l'iniettività: se la retta tocca il grafico più di una volta, la funzione non è iniettiva!

Lo studio di una funzione segue sempre lo stesso ordine logico. Prima trovi il dominio, poi verifichi le simmetrie (funzioni pari o dispari).
Una funzione è pari se f = f(x). Il grafico è simmetrico rispetto all'asse y. Esempio: f(x) = x⁴ perché ⁴ = x⁴.
Una funzione è dispari se f = -f(x). Il grafico è simmetrico rispetto all'origine. Esempio: f(x) = 3x perché f = -3x.
Dopo le simmetrie, cerchi le intersezioni con gli assi e studi il segno della funzione. Questi passaggi ti danno già un'idea del comportamento generale.
💡 Strategia: Le simmetrie ti fanno risparmiare tempo! Se una funzione è pari, basta studiare x ≥ 0 e poi riflettere il grafico.

Per verificare se una funzione è pari o dispari, sostituisci sempre -x al posto di x e semplifica l'espressione risultante.
Se ottieni esattamente la funzione originale, è pari. Se ottieni l'opposto della funzione originale, è dispari. Se non succede nessuna delle due cose, la funzione non ha simmetrie particolari.
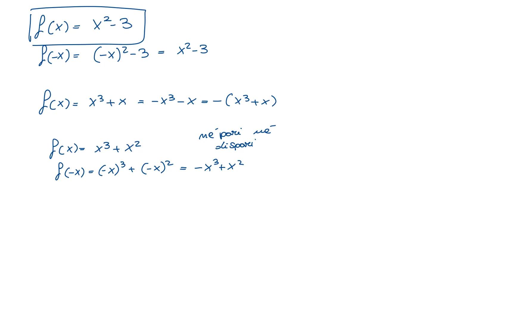
Esempi pratici: f(x) = x²-3 è pari perché f = ²-3 = x²-3. Invece f(x) = x³+x è dispari perché f = -x³-x = -.
La maggior parte delle funzioni non è né pari né dispari, e va bene così! Non forzare le simmetrie dove non ci sono.
💡 Attenzione: Controlla sempre i calcoli quando sostituisci -x, specialmente con le potenze negative!

Prendiamo f(x) = / come esempio di studio completo. Prima cosa: il dominio richiede x²-1 ≠ 0, quindi x ≠ ±1.
La funzione è pari perché f = / = / = f(x). Questo significa simmetria rispetto all'asse y.
Per le intersezioni, sostituisci x=0 per l'asse y: ottieni (0-4)/(0-1) = 4. Per l'asse x, risolvi / = 0, che dà x² = 4, quindi x = ±2.
Il segno si studia analizzando numeratore e denominatore separatamente. Il numeratore x²-4 ≥ 0 per x ≤ -2 o x ≥ 2. Il denominatore x²-1 > 0 per x < -1 o x > 1.
💡 Metodo del segno: Disegna sempre la tabella dei segni per visualizzare dove la funzione è positiva o negativa!

La funzione y = / nasconde una semplificazione importante. Puoi scomporre il numeratore: x²-4 = .
Quindi la funzione diventa y = / = x+2, ma solo per x ≠ 2. Questo crea un punto di discontinuità in x = 2.
Graficamente ottieni una retta y = x+2 con un "buco" nel punto (2, 4). Questo tipo di discontinuità si chiama discontinuità eliminabile.
💡 Importante: Anche dopo la semplificazione, ricorda sempre di escludere dal dominio i valori che annullano il denominatore originale!

Negli esercizi di verifica, segui sempre lo stesso schema sistematico: dominio, simmetrie, intersezioni, segno. La pratica rende tutto più automatico.
Per f(x) = /, il dominio esclude x = ±2. La funzione non è né pari né dispari perché f ≠ f(x) e f ≠ -f(x).
Le intersezioni si trovano sostituendo: per l'asse y ottieni -1/4, per l'asse x risolvi x²+2x+1 = 0, che dà x = -1 (doppia).
Lo studio del segno richiede di analizzare quando / ≥ 0. Il numeratore ² è sempre positivo, il denominatore è positivo per x < -2 o x > 2.
💡 Consiglio: Quando il numeratore è un quadrato perfetto, è sempre positivo (tranne dove si annulla)!

Le funzioni logaritmiche come f(x) = log hanno caratteristiche particolari da ricordare. Il dominio richiede che l'argomento sia sempre positivo.
Per f(x) = log, l'argomento x²+1 è sempre positivo perché x² ≥ 0, quindi x²+1 ≥ 1 > 0. Il dominio è tutto ℝ.
Questo tipo di funzione è sempre pari perché log = log. Ha un minimo assoluto in x = 0.
💡 Ricorda: Il logaritmo di numeri maggiori di 1 è positivo, mentre il logaritmo di numeri tra 0 e 1 è negativo!

Quando hai funzioni composte come f(x) = ln(x)·x², devi considerare le restrizioni di entrambe le parti. Il logaritmo richiede x > 0.
Il dominio finale è l'intersezione di tutte le condizioni. In questo caso, x > 0 è l'unica restrizione che conta.
Queste funzioni spesso hanno comportamenti interessanti: crescita rapida, punti di flesso, e asintoti particolari che rendono lo studio più articolato.
💡 Strategia: Per funzioni composte, elenca sempre tutte le restrizioni prima di fare calcoli complicati!
Il nostro assistente AI è costruito specificamente per le esigenze degli studenti. Sulla base dei milioni di contenuti presenti sulla piattaforma, possiamo fornire agli studenti risposte davvero significative e pertinenti. Ma non si tratta solo di risposte, l'assistente è in grado di guidare gli studenti attraverso le loro sfide quotidiane di studio, con piani di studio personalizzati, quiz o contenuti nella chat e una personalizzazione al 100% basata sulle competenze e sugli sviluppi degli studenti.
È possibile scaricare l'applicazione dal Google Play Store e dall'Apple App Store.
Sì, hai accesso completamente gratuito a tutti i contenuti nell'app e puoi chattare o seguire i Creatori in qualsiasi momento. Sbloccherai nuove funzioni crescendo il tuo numero di follower. Inoltre, offriamo Knowunity Premium, che consente di studiare senza alcun limite!!
App Store
Google Play
L'applicazione è molto facile da usare e ben progettata. Finora ho trovato tutto quello che cercavo e ho potuto imparare molto dalle presentazioni! Utilizzerò sicuramente l'app per i compiti in classe! È molto utile anche come fonte di ispirazione.
Stefano S
utente iOS
Questa applicazione è davvero grande! Ci sono tantissimi appunti e aiuti con lo studio [...]. La mia materia problematica, per esempio, è il francese e l'app ha così tante opzioni per aiutarmi. Grazie a questa app ho migliorato il mio francese. La consiglio a tutti.
Samantha Klich
utente Android
Wow, sono davvero stupita. Ho appena provato l'app perché l'ho vista pubblicizzata molte volte e sono rimasta assolutamente sbalordita. Questa app è L'AIUTO che cercate per la scuola e soprattutto offre tantissime cose, come allenamenti e schede, che a me personalmente sono state MOLTO utili.
Anna
utente iOS
È bellissima questa app, la adoro. È utilissima per lo studio e mi aiuta molto, anzi moltissimo, ma soprattutto mi aiutano molto i quiz, per memorizzare anche quello che non sapevo
Anastasia
utente Android
Fantastica per qualsiasi materia avere gli appunti anche di altre persone è molto utile perchè posso confrontarmi e vedere come migliorarmi. con i quiz riesco ad apprendere al meglio.
Francesca
utente Android
moooolto utile,gli appunti sono belli e funzionanti,schoolGPT da dei consigli formidabili!!
Marianna
utente Android
L'applicazione è semplicemente fantastica! Tutto ciò che devo fare è inserire l'argomento nella barra di ricerca e ottengo la risposta molto velocemente. Non devo guardare 10 video di YouTube per capire qualcosa, quindi risparmio tempo. Consigliatissima!
Sudenaz Ocak
utente Android
A scuola andavo malissimo in matematica, ma grazie a questa applicazione ora vado meglio. Vi sono molto grato per aver creato questa app.
Greenlight Bonnie
utente Android
Knowunity è un applicazione fantastica,considerando che ha degli schemi veramente molto carini e sfiziosi e che ci sono dei quiz,oltre al fatto che questa cosa dell intelligenza artificiale "school gpt" è almeno per me molto utile, perché a differenza di Chatgpt ti da le spiegazioni, ti spiega ciò che non è chiaro! Posso studiare più velocemente tramite gli schemi e che posso pubblicare io stessa gli schemi è una funzione utilissima per gli altri studenti. Knowunity è PERFETTA
Aurora
utente Android
L’app funziona benissimo e puoi trovare qualsiasi tipo di informazione. Non ho l’abbonamento ma la parte gratuita è sufficiente per uno studio approfondito.
Martina
utente iOS
I quiz E LE flashcard SONO COSÌ UTILI E ADORO Knowunity IA. È ANCHE LETTERALMENTE COME CHATGPT MA PIÙ INTELLIGENTE!! MI HA AIUTATO ANCHE COI MIEI PROBLEMI DI MASCARA!! E ANCHE CON LE MIE VERE MATERIE! OVVIO 😍😁😲🤑💗✨🎀😮
Chiara
utente IOS
Questa app è una delle migliori, nient’altro da dire.
Andrea
utente iOS
L'applicazione è molto facile da usare e ben progettata. Finora ho trovato tutto quello che cercavo e ho potuto imparare molto dalle presentazioni! Utilizzerò sicuramente l'app per i compiti in classe! È molto utile anche come fonte di ispirazione.
Stefano S
utente iOS
Questa applicazione è davvero grande! Ci sono tantissimi appunti e aiuti con lo studio [...]. La mia materia problematica, per esempio, è il francese e l'app ha così tante opzioni per aiutarmi. Grazie a questa app ho migliorato il mio francese. La consiglio a tutti.
Samantha Klich
utente Android
Wow, sono davvero stupita. Ho appena provato l'app perché l'ho vista pubblicizzata molte volte e sono rimasta assolutamente sbalordita. Questa app è L'AIUTO che cercate per la scuola e soprattutto offre tantissime cose, come allenamenti e schede, che a me personalmente sono state MOLTO utili.
Anna
utente iOS
È bellissima questa app, la adoro. È utilissima per lo studio e mi aiuta molto, anzi moltissimo, ma soprattutto mi aiutano molto i quiz, per memorizzare anche quello che non sapevo
Anastasia
utente Android
Fantastica per qualsiasi materia avere gli appunti anche di altre persone è molto utile perchè posso confrontarmi e vedere come migliorarmi. con i quiz riesco ad apprendere al meglio.
Francesca
utente Android
moooolto utile,gli appunti sono belli e funzionanti,schoolGPT da dei consigli formidabili!!
Marianna
utente Android
L'applicazione è semplicemente fantastica! Tutto ciò che devo fare è inserire l'argomento nella barra di ricerca e ottengo la risposta molto velocemente. Non devo guardare 10 video di YouTube per capire qualcosa, quindi risparmio tempo. Consigliatissima!
Sudenaz Ocak
utente Android
A scuola andavo malissimo in matematica, ma grazie a questa applicazione ora vado meglio. Vi sono molto grato per aver creato questa app.
Greenlight Bonnie
utente Android
Knowunity è un applicazione fantastica,considerando che ha degli schemi veramente molto carini e sfiziosi e che ci sono dei quiz,oltre al fatto che questa cosa dell intelligenza artificiale "school gpt" è almeno per me molto utile, perché a differenza di Chatgpt ti da le spiegazioni, ti spiega ciò che non è chiaro! Posso studiare più velocemente tramite gli schemi e che posso pubblicare io stessa gli schemi è una funzione utilissima per gli altri studenti. Knowunity è PERFETTA
Aurora
utente Android
L’app funziona benissimo e puoi trovare qualsiasi tipo di informazione. Non ho l’abbonamento ma la parte gratuita è sufficiente per uno studio approfondito.
Martina
utente iOS
I quiz E LE flashcard SONO COSÌ UTILI E ADORO Knowunity IA. È ANCHE LETTERALMENTE COME CHATGPT MA PIÙ INTELLIGENTE!! MI HA AIUTATO ANCHE COI MIEI PROBLEMI DI MASCARA!! E ANCHE CON LE MIE VERE MATERIE! OVVIO 😍😁😲🤑💗✨🎀😮
Chiara
utente IOS
Questa app è una delle migliori, nient’altro da dire.
Andrea
utente iOS
Alice Peraldo
@aliceperaldo
Studiate le funzioni matematiche può sembrare complicato, ma in realtà basta seguire alcuni passi fondamentali. Qui imparerai come trovare il dominio di una funzione, riconoscere le proprietà di simmetria e analizzare il comportamento delle funzioni razionali.

Accesso a tutti i documenti
Migliora i tuoi voti
Unisciti a milioni di studenti
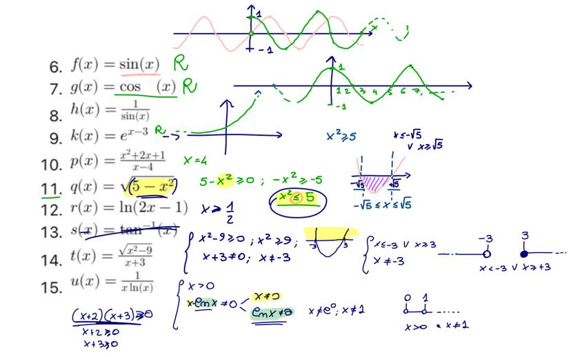
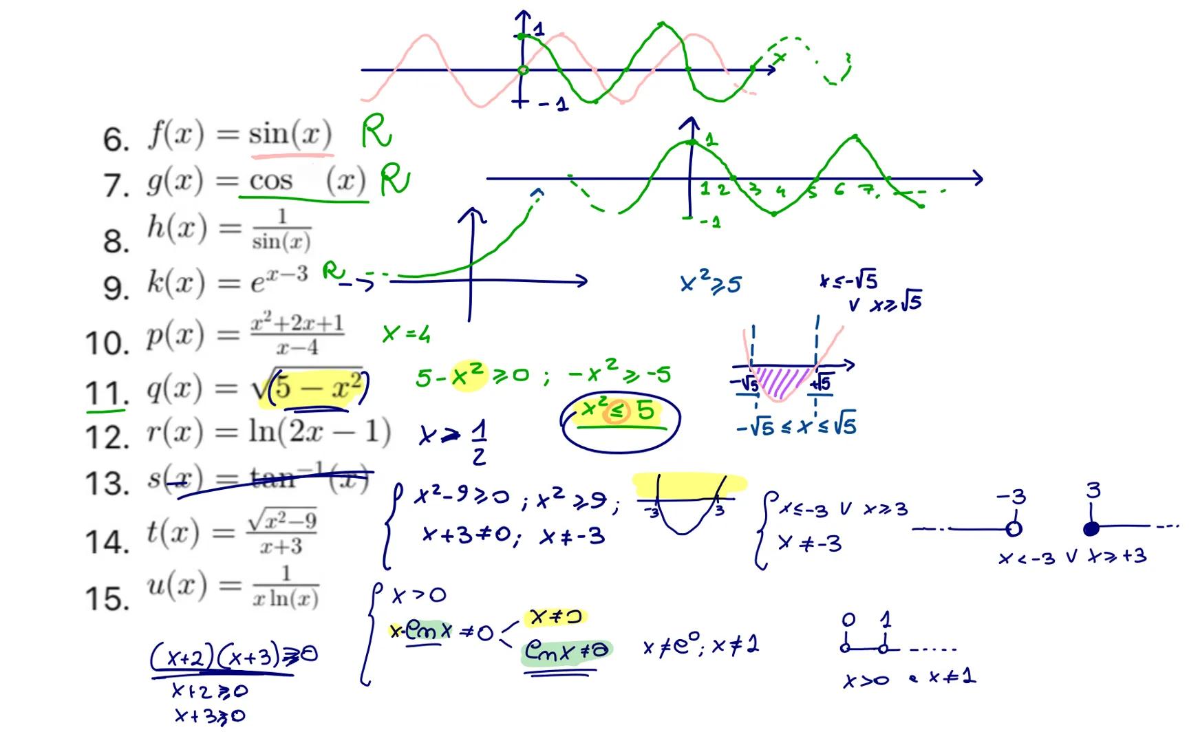
Il dominio è l'insieme di tutti i valori che puoi sostituire alla x senza far "impazzire" la funzione. Ogni tipo di funzione ha le sue regole specifiche da rispettare.
Per le funzioni razionali (con frazioni), il denominatore non può mai essere zero. Se hai f(x) = 1/, allora x ≠ 2 perché renderebbe il denominatore nullo.
Le radici quadrate accettano solo valori non negativi sotto la radice. Per √, devi risolvere 3x+6 ≥ 0, quindi x ≥ -2.
Il logaritmo funziona solo con numeri positivi. Se hai ln, allora x+5 > 0, quindi x > -5.
💡 Trucco: Scrivi sempre tutte le condizioni che trovi e poi fai l'intersezione per ottenere il dominio finale!

Accesso a tutti i documenti
Migliora i tuoi voti
Unisciti a milioni di studenti
Le funzioni trigonometriche come sin(x) e cos(x) hanno dominio ℝ (tutti i numeri reali) perché non ci sono restrizioni. Sono definite ovunque!
La funzione esponenziale e^x ha anch'essa dominio ℝ. Non importa quale numero sostituisci alla x, la funzione è sempre definita.
Per funzioni più complesse come √, devi risolvere la disequazione 5-x² ≥ 0. Questo ti dà -√5 ≤ x ≤ √5.
Quando hai prodotti di fattori come ≥ 0, usa il metodo del segno per trovare gli intervalli dove l'espressione è positiva o nulla.
💡 Ricorda: Le funzioni trigonometriche inverse come tan⁻¹(x) hanno spesso domini particolari da memorizzare!

Accesso a tutti i documenti
Migliora i tuoi voti
Unisciti a milioni di studenti
Una funzione è iniettiva quando ogni valore di y corrisponde a un solo valore di x. Graficamente significa che ogni retta orizzontale interseca il grafico al massimo una volta.
Una funzione è suriettiva quando ogni valore del codominio viene "raggiunto" dalla funzione. In pratica, non ci sono "buchi" nel codominio.
Una funzione biettiva è sia iniettiva che suriettiva. È il tipo di funzione "perfetto" perché stabilisce una corrispondenza biunivoca tra dominio e codominio.
💡 Test visivo: Usa il test della retta orizzontale per verificare l'iniettività: se la retta tocca il grafico più di una volta, la funzione non è iniettiva!

Accesso a tutti i documenti
Migliora i tuoi voti
Unisciti a milioni di studenti
Lo studio di una funzione segue sempre lo stesso ordine logico. Prima trovi il dominio, poi verifichi le simmetrie (funzioni pari o dispari).
Una funzione è pari se f = f(x). Il grafico è simmetrico rispetto all'asse y. Esempio: f(x) = x⁴ perché ⁴ = x⁴.
Una funzione è dispari se f = -f(x). Il grafico è simmetrico rispetto all'origine. Esempio: f(x) = 3x perché f = -3x.
Dopo le simmetrie, cerchi le intersezioni con gli assi e studi il segno della funzione. Questi passaggi ti danno già un'idea del comportamento generale.
💡 Strategia: Le simmetrie ti fanno risparmiare tempo! Se una funzione è pari, basta studiare x ≥ 0 e poi riflettere il grafico.

Accesso a tutti i documenti
Migliora i tuoi voti
Unisciti a milioni di studenti
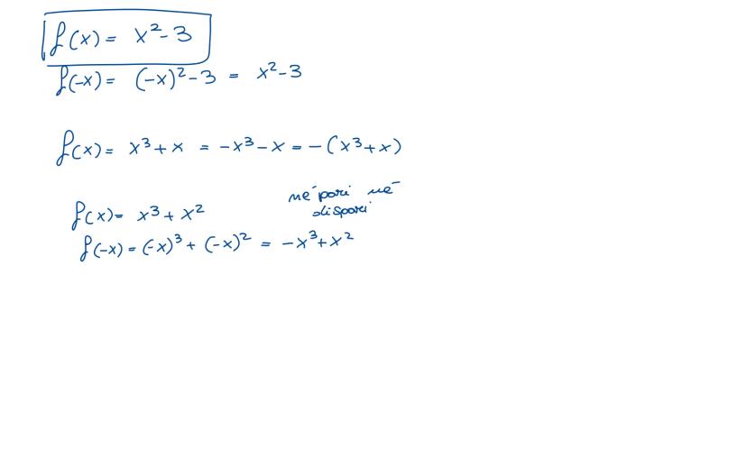
Per verificare se una funzione è pari o dispari, sostituisci sempre -x al posto di x e semplifica l'espressione risultante.
Se ottieni esattamente la funzione originale, è pari. Se ottieni l'opposto della funzione originale, è dispari. Se non succede nessuna delle due cose, la funzione non ha simmetrie particolari.
Esempi pratici: f(x) = x²-3 è pari perché f = ²-3 = x²-3. Invece f(x) = x³+x è dispari perché f = -x³-x = -.
La maggior parte delle funzioni non è né pari né dispari, e va bene così! Non forzare le simmetrie dove non ci sono.
💡 Attenzione: Controlla sempre i calcoli quando sostituisci -x, specialmente con le potenze negative!

Accesso a tutti i documenti
Migliora i tuoi voti
Unisciti a milioni di studenti
Prendiamo f(x) = / come esempio di studio completo. Prima cosa: il dominio richiede x²-1 ≠ 0, quindi x ≠ ±1.
La funzione è pari perché f = / = / = f(x). Questo significa simmetria rispetto all'asse y.
Per le intersezioni, sostituisci x=0 per l'asse y: ottieni (0-4)/(0-1) = 4. Per l'asse x, risolvi / = 0, che dà x² = 4, quindi x = ±2.
Il segno si studia analizzando numeratore e denominatore separatamente. Il numeratore x²-4 ≥ 0 per x ≤ -2 o x ≥ 2. Il denominatore x²-1 > 0 per x < -1 o x > 1.
💡 Metodo del segno: Disegna sempre la tabella dei segni per visualizzare dove la funzione è positiva o negativa!

Accesso a tutti i documenti
Migliora i tuoi voti
Unisciti a milioni di studenti
La funzione y = / nasconde una semplificazione importante. Puoi scomporre il numeratore: x²-4 = .
Quindi la funzione diventa y = / = x+2, ma solo per x ≠ 2. Questo crea un punto di discontinuità in x = 2.
Graficamente ottieni una retta y = x+2 con un "buco" nel punto (2, 4). Questo tipo di discontinuità si chiama discontinuità eliminabile.
💡 Importante: Anche dopo la semplificazione, ricorda sempre di escludere dal dominio i valori che annullano il denominatore originale!

Accesso a tutti i documenti
Migliora i tuoi voti
Unisciti a milioni di studenti
Negli esercizi di verifica, segui sempre lo stesso schema sistematico: dominio, simmetrie, intersezioni, segno. La pratica rende tutto più automatico.
Per f(x) = /, il dominio esclude x = ±2. La funzione non è né pari né dispari perché f ≠ f(x) e f ≠ -f(x).
Le intersezioni si trovano sostituendo: per l'asse y ottieni -1/4, per l'asse x risolvi x²+2x+1 = 0, che dà x = -1 (doppia).
Lo studio del segno richiede di analizzare quando / ≥ 0. Il numeratore ² è sempre positivo, il denominatore è positivo per x < -2 o x > 2.
💡 Consiglio: Quando il numeratore è un quadrato perfetto, è sempre positivo (tranne dove si annulla)!

Accesso a tutti i documenti
Migliora i tuoi voti
Unisciti a milioni di studenti
Le funzioni logaritmiche come f(x) = log hanno caratteristiche particolari da ricordare. Il dominio richiede che l'argomento sia sempre positivo.
Per f(x) = log, l'argomento x²+1 è sempre positivo perché x² ≥ 0, quindi x²+1 ≥ 1 > 0. Il dominio è tutto ℝ.
Questo tipo di funzione è sempre pari perché log = log. Ha un minimo assoluto in x = 0.
💡 Ricorda: Il logaritmo di numeri maggiori di 1 è positivo, mentre il logaritmo di numeri tra 0 e 1 è negativo!

Accesso a tutti i documenti
Migliora i tuoi voti
Unisciti a milioni di studenti
Quando hai funzioni composte come f(x) = ln(x)·x², devi considerare le restrizioni di entrambe le parti. Il logaritmo richiede x > 0.
Il dominio finale è l'intersezione di tutte le condizioni. In questo caso, x > 0 è l'unica restrizione che conta.
Queste funzioni spesso hanno comportamenti interessanti: crescita rapida, punti di flesso, e asintoti particolari che rendono lo studio più articolato.
💡 Strategia: Per funzioni composte, elenca sempre tutte le restrizioni prima di fare calcoli complicati!
Il nostro assistente AI è costruito specificamente per le esigenze degli studenti. Sulla base dei milioni di contenuti presenti sulla piattaforma, possiamo fornire agli studenti risposte davvero significative e pertinenti. Ma non si tratta solo di risposte, l'assistente è in grado di guidare gli studenti attraverso le loro sfide quotidiane di studio, con piani di studio personalizzati, quiz o contenuti nella chat e una personalizzazione al 100% basata sulle competenze e sugli sviluppi degli studenti.
È possibile scaricare l'applicazione dal Google Play Store e dall'Apple App Store.
Sì, hai accesso completamente gratuito a tutti i contenuti nell'app e puoi chattare o seguire i Creatori in qualsiasi momento. Sbloccherai nuove funzioni crescendo il tuo numero di follower. Inoltre, offriamo Knowunity Premium, che consente di studiare senza alcun limite!!
8
Strumenti Intelligenti NUOVO
Trasforma questi appunti in: ✓ 50+ Domande di Pratica ✓ Flashcard Interattive ✓ Simulazione d'esame completa ✓ Schemi per Saggi
App Store
Google Play
L'applicazione è molto facile da usare e ben progettata. Finora ho trovato tutto quello che cercavo e ho potuto imparare molto dalle presentazioni! Utilizzerò sicuramente l'app per i compiti in classe! È molto utile anche come fonte di ispirazione.
Stefano S
utente iOS
Questa applicazione è davvero grande! Ci sono tantissimi appunti e aiuti con lo studio [...]. La mia materia problematica, per esempio, è il francese e l'app ha così tante opzioni per aiutarmi. Grazie a questa app ho migliorato il mio francese. La consiglio a tutti.
Samantha Klich
utente Android
Wow, sono davvero stupita. Ho appena provato l'app perché l'ho vista pubblicizzata molte volte e sono rimasta assolutamente sbalordita. Questa app è L'AIUTO che cercate per la scuola e soprattutto offre tantissime cose, come allenamenti e schede, che a me personalmente sono state MOLTO utili.
Anna
utente iOS
È bellissima questa app, la adoro. È utilissima per lo studio e mi aiuta molto, anzi moltissimo, ma soprattutto mi aiutano molto i quiz, per memorizzare anche quello che non sapevo
Anastasia
utente Android
Fantastica per qualsiasi materia avere gli appunti anche di altre persone è molto utile perchè posso confrontarmi e vedere come migliorarmi. con i quiz riesco ad apprendere al meglio.
Francesca
utente Android
moooolto utile,gli appunti sono belli e funzionanti,schoolGPT da dei consigli formidabili!!
Marianna
utente Android
L'applicazione è semplicemente fantastica! Tutto ciò che devo fare è inserire l'argomento nella barra di ricerca e ottengo la risposta molto velocemente. Non devo guardare 10 video di YouTube per capire qualcosa, quindi risparmio tempo. Consigliatissima!
Sudenaz Ocak
utente Android
A scuola andavo malissimo in matematica, ma grazie a questa applicazione ora vado meglio. Vi sono molto grato per aver creato questa app.
Greenlight Bonnie
utente Android
Knowunity è un applicazione fantastica,considerando che ha degli schemi veramente molto carini e sfiziosi e che ci sono dei quiz,oltre al fatto che questa cosa dell intelligenza artificiale "school gpt" è almeno per me molto utile, perché a differenza di Chatgpt ti da le spiegazioni, ti spiega ciò che non è chiaro! Posso studiare più velocemente tramite gli schemi e che posso pubblicare io stessa gli schemi è una funzione utilissima per gli altri studenti. Knowunity è PERFETTA
Aurora
utente Android
L’app funziona benissimo e puoi trovare qualsiasi tipo di informazione. Non ho l’abbonamento ma la parte gratuita è sufficiente per uno studio approfondito.
Martina
utente iOS
I quiz E LE flashcard SONO COSÌ UTILI E ADORO Knowunity IA. È ANCHE LETTERALMENTE COME CHATGPT MA PIÙ INTELLIGENTE!! MI HA AIUTATO ANCHE COI MIEI PROBLEMI DI MASCARA!! E ANCHE CON LE MIE VERE MATERIE! OVVIO 😍😁😲🤑💗✨🎀😮
Chiara
utente IOS
Questa app è una delle migliori, nient’altro da dire.
Andrea
utente iOS
L'applicazione è molto facile da usare e ben progettata. Finora ho trovato tutto quello che cercavo e ho potuto imparare molto dalle presentazioni! Utilizzerò sicuramente l'app per i compiti in classe! È molto utile anche come fonte di ispirazione.
Stefano S
utente iOS
Questa applicazione è davvero grande! Ci sono tantissimi appunti e aiuti con lo studio [...]. La mia materia problematica, per esempio, è il francese e l'app ha così tante opzioni per aiutarmi. Grazie a questa app ho migliorato il mio francese. La consiglio a tutti.
Samantha Klich
utente Android
Wow, sono davvero stupita. Ho appena provato l'app perché l'ho vista pubblicizzata molte volte e sono rimasta assolutamente sbalordita. Questa app è L'AIUTO che cercate per la scuola e soprattutto offre tantissime cose, come allenamenti e schede, che a me personalmente sono state MOLTO utili.
Anna
utente iOS
È bellissima questa app, la adoro. È utilissima per lo studio e mi aiuta molto, anzi moltissimo, ma soprattutto mi aiutano molto i quiz, per memorizzare anche quello che non sapevo
Anastasia
utente Android
Fantastica per qualsiasi materia avere gli appunti anche di altre persone è molto utile perchè posso confrontarmi e vedere come migliorarmi. con i quiz riesco ad apprendere al meglio.
Francesca
utente Android
moooolto utile,gli appunti sono belli e funzionanti,schoolGPT da dei consigli formidabili!!
Marianna
utente Android
L'applicazione è semplicemente fantastica! Tutto ciò che devo fare è inserire l'argomento nella barra di ricerca e ottengo la risposta molto velocemente. Non devo guardare 10 video di YouTube per capire qualcosa, quindi risparmio tempo. Consigliatissima!
Sudenaz Ocak
utente Android
A scuola andavo malissimo in matematica, ma grazie a questa applicazione ora vado meglio. Vi sono molto grato per aver creato questa app.
Greenlight Bonnie
utente Android
Knowunity è un applicazione fantastica,considerando che ha degli schemi veramente molto carini e sfiziosi e che ci sono dei quiz,oltre al fatto che questa cosa dell intelligenza artificiale "school gpt" è almeno per me molto utile, perché a differenza di Chatgpt ti da le spiegazioni, ti spiega ciò che non è chiaro! Posso studiare più velocemente tramite gli schemi e che posso pubblicare io stessa gli schemi è una funzione utilissima per gli altri studenti. Knowunity è PERFETTA
Aurora
utente Android
L’app funziona benissimo e puoi trovare qualsiasi tipo di informazione. Non ho l’abbonamento ma la parte gratuita è sufficiente per uno studio approfondito.
Martina
utente iOS
I quiz E LE flashcard SONO COSÌ UTILI E ADORO Knowunity IA. È ANCHE LETTERALMENTE COME CHATGPT MA PIÙ INTELLIGENTE!! MI HA AIUTATO ANCHE COI MIEI PROBLEMI DI MASCARA!! E ANCHE CON LE MIE VERE MATERIE! OVVIO 😍😁😲🤑💗✨🎀😮
Chiara
utente IOS
Questa app è una delle migliori, nient’altro da dire.
Andrea
utente iOS