Le funzioni sono il cuore della matematica avanzata e ti... Mostra di più
Iscriviti per mostrare il contenutoÈ gratis!
Accesso a tutti i documenti
Migliora i tuoi voti
Unisciti a milioni di studenti
Knowunity AI
Materie
Triangle Congruence and Similarity Theorems
Triangle Properties and Classification
Linear Equations and Graphs
Geometric Angle Relationships
Trigonometric Functions and Identities
Equation Solving Techniques
Circle Geometry Fundamentals
Division Operations and Methods
Basic Differentiation Rules
Exponent and Logarithm Properties
Mostra tutti gli argomenti
Human Organ Systems
Reproductive Cell Cycles
Biological Sciences Subdisciplines
Cellular Energy Metabolism
Autotrophic Energy Processes
Inheritance Patterns and Principles
Biomolecular Structure and Organization
Cell Cycle and Division Mechanics
Cellular Organization and Development
Biological Structural Organization
Mostra tutti gli argomenti
Chemical Sciences and Applications
Atomic Structure and Composition
Molecular Electron Structure Representation
Atomic Electron Behavior
Matter Properties and Water
Mole Concept and Calculations
Gas Laws and Behavior
Periodic Table Organization
Chemical Thermodynamics Fundamentals
Chemical Bond Types and Properties
Mostra tutti gli argomenti
European Renaissance and Enlightenment
European Cultural Movements 800-1920
American Revolution Era 1763-1797
American Civil War 1861-1865
Global Imperial Systems
Mongol and Chinese Dynasties
U.S. Presidents and World Leaders
Historical Sources and Documentation
World Wars Era and Impact
World Religious Systems
Mostra tutti gli argomenti
Classic and Contemporary Novels
Literary Character Analysis
Rhetorical Theory and Practice
Classic Literary Narratives
Reading Analysis and Interpretation
Narrative Structure and Techniques
English Language Components
Influential English-Language Authors
Basic Sentence Structure
Narrative Voice and Perspective
Mostra tutti gli argomenti
909
•
Aggiornato Mar 28, 2026
•
Anna
@anneeee_07
Le funzioni sono il cuore della matematica avanzata e ti... Mostra di più







Immagina una funzione come una macchina: inserisci un numero (x) e ottieni sempre un risultato specifico (y). La regola fondamentale? Ogni numero che inserisci deve darti un solo risultato, mai due diversi.
Il dominio è l'insieme di tutti i numeri che puoi "inserire" nella funzione, mentre il codominio è l'insieme dei possibili risultati. La x si chiama variabile indipendente (quella che scegli tu), mentre la y è la variabile dipendente (dipende da quello che hai scelto per x).
Le funzioni si dividono in due grandi famiglie: algebriche e trascendenti (con esponenziali, logaritmi e funzioni goniometriche). Ognuna ha le sue regole specifiche che devi imparare.
Trucco per l'interrogazione: Ricorda che in una funzione, una linea verticale può toccare il grafico al massimo in un punto!

Esistono tre tipi particolari di funzioni che devi saper riconoscere. Una funzione iniettiva non ripete mai lo stesso risultato: se inserisci numeri diversi, ottieni sempre risultati diversi.
Una funzione suriettiva invece "tocca" tutti i valori del codominio almeno una volta. È come se la funzione non "sprecasse" nessun valore possibile di y.
La funzione biettiva è quella perfetta: è sia iniettiva che suriettiva. Questo significa che c'è una corrispondenza uno-a-uno perfetta tra dominio e codominio. Queste funzioni sono speciali perché hanno sempre una funzione inversa.
Per l'esame: Nel grafico, una funzione è iniettiva se ogni linea orizzontale la tocca al massimo una volta!

Quando studi una funzione come y = x³ + 3x² + 2x, parti sempre dal dominio. Per i polinomi è sempre ℝ (tutti i numeri reali) - facile!
Il passo successivo è trovare le intersezioni con gli assi. Per l'asse y, sostituisci x = 0 nell'equazione. Per l'asse x, risolvi l'equazione ponendo y = 0.
In questo esempio, mettendo a fattor comune ottieni x = 0, quindi le intersezioni con l'asse x sono nei punti x = 0, x = -1, e x = -2. Questi punti ti danno già un'idea di come sarà il grafico.
Consiglio pratico: Le intersezioni con l'asse x sono sempre le soluzioni dell'equazione f(x) = 0!

Le funzioni fratte hanno denominatori che non possono essere zero. Per y = 1/, devi risolvere 2x² + 5x - 3 ≠ 0 per trovare il dominio.
Quando hai radici quadrate, il radicando deve essere maggiore o uguale a zero. Se la radice è al numeratore di una frazione, devi anche controllare che il denominatore sia diverso da zero.
Le funzioni esponenziali come y = e^ hanno sempre dominio ℝ e sono sempre positive. I logaritmi invece richiedono che l'argomento sia strettamente positivo.
Strategia vincente: Fai sempre un sistema con tutte le condizioni insieme - ti eviterà errori stupidi!

Ecco il tuo schema veloce per trovare il dominio di qualsiasi funzione. Polinomi: sempre ℝ. Frazioni: denominatore ≠ 0. Radici pari: radicando ≥ 0.
Per i logaritmi, l'argomento deve essere > 0. Gli esponenziali hanno sempre dominio ℝ. Quando hai funzioni composte, devi soddisfare tutte le condizioni contemporaneamente.
Nell'esempio y = √, devi controllare: x² - 4 ≥ 0, x + 1 > 0, e ln - 1 ≠ 0. Poi fai l'intersezione di tutte le condizioni.
Per non sbagliare mai: Scrivi sempre tutte le condizioni in un sistema, poi risolvi una alla volta!

Il nostro assistente AI è costruito specificamente per le esigenze degli studenti. Sulla base dei milioni di contenuti presenti sulla piattaforma, possiamo fornire agli studenti risposte davvero significative e pertinenti. Ma non si tratta solo di risposte, l'assistente è in grado di guidare gli studenti attraverso le loro sfide quotidiane di studio, con piani di studio personalizzati, quiz o contenuti nella chat e una personalizzazione al 100% basata sulle competenze e sugli sviluppi degli studenti.
È possibile scaricare l'applicazione dal Google Play Store e dall'Apple App Store.
Sì, hai accesso completamente gratuito a tutti i contenuti nell'app e puoi chattare o seguire i Creatori in qualsiasi momento. Sbloccherai nuove funzioni crescendo il tuo numero di follower. Inoltre, offriamo Knowunity Premium, che consente di studiare senza alcun limite!!
LE PARABOLE: concavità, vertice, intersezione con asse x e y, altri punti, fuoco, direttrice. EQUAZIONE DELLA PARABOLA DANTI 3 PUNTI, RETTE E PARABOLE: rette secanti, tangenti ed esterne.
Appunti di goniometria e trigonometria
App Store
Google Play
L'applicazione è molto facile da usare e ben progettata. Finora ho trovato tutto quello che cercavo e ho potuto imparare molto dalle presentazioni! Utilizzerò sicuramente l'app per i compiti in classe! È molto utile anche come fonte di ispirazione.
Stefano S
utente iOS
Questa applicazione è davvero grande! Ci sono tantissimi appunti e aiuti con lo studio [...]. La mia materia problematica, per esempio, è il francese e l'app ha così tante opzioni per aiutarmi. Grazie a questa app ho migliorato il mio francese. La consiglio a tutti.
Samantha Klich
utente Android
Wow, sono davvero stupita. Ho appena provato l'app perché l'ho vista pubblicizzata molte volte e sono rimasta assolutamente sbalordita. Questa app è L'AIUTO che cercate per la scuola e soprattutto offre tantissime cose, come allenamenti e schede, che a me personalmente sono state MOLTO utili.
Anna
utente iOS
È bellissima questa app, la adoro. È utilissima per lo studio e mi aiuta molto, anzi moltissimo, ma soprattutto mi aiutano molto i quiz, per memorizzare anche quello che non sapevo
Anastasia
utente Android
Fantastica per qualsiasi materia avere gli appunti anche di altre persone è molto utile perchè posso confrontarmi e vedere come migliorarmi. con i quiz riesco ad apprendere al meglio.
Francesca
utente Android
moooolto utile,gli appunti sono belli e funzionanti,schoolGPT da dei consigli formidabili!!
Marianna
utente Android
L'applicazione è semplicemente fantastica! Tutto ciò che devo fare è inserire l'argomento nella barra di ricerca e ottengo la risposta molto velocemente. Non devo guardare 10 video di YouTube per capire qualcosa, quindi risparmio tempo. Consigliatissima!
Sudenaz Ocak
utente Android
A scuola andavo malissimo in matematica, ma grazie a questa applicazione ora vado meglio. Vi sono molto grato per aver creato questa app.
Greenlight Bonnie
utente Android
Knowunity è un applicazione fantastica,considerando che ha degli schemi veramente molto carini e sfiziosi e che ci sono dei quiz,oltre al fatto che questa cosa dell intelligenza artificiale "school gpt" è almeno per me molto utile, perché a differenza di Chatgpt ti da le spiegazioni, ti spiega ciò che non è chiaro! Posso studiare più velocemente tramite gli schemi e che posso pubblicare io stessa gli schemi è una funzione utilissima per gli altri studenti. Knowunity è PERFETTA
Aurora
utente Android
L’app funziona benissimo e puoi trovare qualsiasi tipo di informazione. Non ho l’abbonamento ma la parte gratuita è sufficiente per uno studio approfondito.
Martina
utente iOS
I quiz E LE flashcard SONO COSÌ UTILI E ADORO Knowunity IA. È ANCHE LETTERALMENTE COME CHATGPT MA PIÙ INTELLIGENTE!! MI HA AIUTATO ANCHE COI MIEI PROBLEMI DI MASCARA!! E ANCHE CON LE MIE VERE MATERIE! OVVIO 😍😁😲🤑💗✨🎀😮
Chiara
utente IOS
Questa app è una delle migliori, nient’altro da dire.
Andrea
utente iOS
L'applicazione è molto facile da usare e ben progettata. Finora ho trovato tutto quello che cercavo e ho potuto imparare molto dalle presentazioni! Utilizzerò sicuramente l'app per i compiti in classe! È molto utile anche come fonte di ispirazione.
Stefano S
utente iOS
Questa applicazione è davvero grande! Ci sono tantissimi appunti e aiuti con lo studio [...]. La mia materia problematica, per esempio, è il francese e l'app ha così tante opzioni per aiutarmi. Grazie a questa app ho migliorato il mio francese. La consiglio a tutti.
Samantha Klich
utente Android
Wow, sono davvero stupita. Ho appena provato l'app perché l'ho vista pubblicizzata molte volte e sono rimasta assolutamente sbalordita. Questa app è L'AIUTO che cercate per la scuola e soprattutto offre tantissime cose, come allenamenti e schede, che a me personalmente sono state MOLTO utili.
Anna
utente iOS
È bellissima questa app, la adoro. È utilissima per lo studio e mi aiuta molto, anzi moltissimo, ma soprattutto mi aiutano molto i quiz, per memorizzare anche quello che non sapevo
Anastasia
utente Android
Fantastica per qualsiasi materia avere gli appunti anche di altre persone è molto utile perchè posso confrontarmi e vedere come migliorarmi. con i quiz riesco ad apprendere al meglio.
Francesca
utente Android
moooolto utile,gli appunti sono belli e funzionanti,schoolGPT da dei consigli formidabili!!
Marianna
utente Android
L'applicazione è semplicemente fantastica! Tutto ciò che devo fare è inserire l'argomento nella barra di ricerca e ottengo la risposta molto velocemente. Non devo guardare 10 video di YouTube per capire qualcosa, quindi risparmio tempo. Consigliatissima!
Sudenaz Ocak
utente Android
A scuola andavo malissimo in matematica, ma grazie a questa applicazione ora vado meglio. Vi sono molto grato per aver creato questa app.
Greenlight Bonnie
utente Android
Knowunity è un applicazione fantastica,considerando che ha degli schemi veramente molto carini e sfiziosi e che ci sono dei quiz,oltre al fatto che questa cosa dell intelligenza artificiale "school gpt" è almeno per me molto utile, perché a differenza di Chatgpt ti da le spiegazioni, ti spiega ciò che non è chiaro! Posso studiare più velocemente tramite gli schemi e che posso pubblicare io stessa gli schemi è una funzione utilissima per gli altri studenti. Knowunity è PERFETTA
Aurora
utente Android
L’app funziona benissimo e puoi trovare qualsiasi tipo di informazione. Non ho l’abbonamento ma la parte gratuita è sufficiente per uno studio approfondito.
Martina
utente iOS
I quiz E LE flashcard SONO COSÌ UTILI E ADORO Knowunity IA. È ANCHE LETTERALMENTE COME CHATGPT MA PIÙ INTELLIGENTE!! MI HA AIUTATO ANCHE COI MIEI PROBLEMI DI MASCARA!! E ANCHE CON LE MIE VERE MATERIE! OVVIO 😍😁😲🤑💗✨🎀😮
Chiara
utente IOS
Questa app è una delle migliori, nient’altro da dire.
Andrea
utente iOS
Anna
@anneeee_07
Le funzioni sono il cuore della matematica avanzata e ti accompagneranno per tutto l'ultimo anno. In pratica, sono delle "macchine" che trasformano un numero in un altro seguendo una regola precisa, e capire come funzionano ti servirà sia per l'esame... Mostra di più

Accesso a tutti i documenti
Migliora i tuoi voti
Unisciti a milioni di studenti
Immagina una funzione come una macchina: inserisci un numero (x) e ottieni sempre un risultato specifico (y). La regola fondamentale? Ogni numero che inserisci deve darti un solo risultato, mai due diversi.
Il dominio è l'insieme di tutti i numeri che puoi "inserire" nella funzione, mentre il codominio è l'insieme dei possibili risultati. La x si chiama variabile indipendente (quella che scegli tu), mentre la y è la variabile dipendente (dipende da quello che hai scelto per x).
Le funzioni si dividono in due grandi famiglie: algebriche e trascendenti (con esponenziali, logaritmi e funzioni goniometriche). Ognuna ha le sue regole specifiche che devi imparare.
Trucco per l'interrogazione: Ricorda che in una funzione, una linea verticale può toccare il grafico al massimo in un punto!

Accesso a tutti i documenti
Migliora i tuoi voti
Unisciti a milioni di studenti
Esistono tre tipi particolari di funzioni che devi saper riconoscere. Una funzione iniettiva non ripete mai lo stesso risultato: se inserisci numeri diversi, ottieni sempre risultati diversi.
Una funzione suriettiva invece "tocca" tutti i valori del codominio almeno una volta. È come se la funzione non "sprecasse" nessun valore possibile di y.
La funzione biettiva è quella perfetta: è sia iniettiva che suriettiva. Questo significa che c'è una corrispondenza uno-a-uno perfetta tra dominio e codominio. Queste funzioni sono speciali perché hanno sempre una funzione inversa.
Per l'esame: Nel grafico, una funzione è iniettiva se ogni linea orizzontale la tocca al massimo una volta!

Accesso a tutti i documenti
Migliora i tuoi voti
Unisciti a milioni di studenti
Quando studi una funzione come y = x³ + 3x² + 2x, parti sempre dal dominio. Per i polinomi è sempre ℝ (tutti i numeri reali) - facile!
Il passo successivo è trovare le intersezioni con gli assi. Per l'asse y, sostituisci x = 0 nell'equazione. Per l'asse x, risolvi l'equazione ponendo y = 0.
In questo esempio, mettendo a fattor comune ottieni x = 0, quindi le intersezioni con l'asse x sono nei punti x = 0, x = -1, e x = -2. Questi punti ti danno già un'idea di come sarà il grafico.
Consiglio pratico: Le intersezioni con l'asse x sono sempre le soluzioni dell'equazione f(x) = 0!

Accesso a tutti i documenti
Migliora i tuoi voti
Unisciti a milioni di studenti
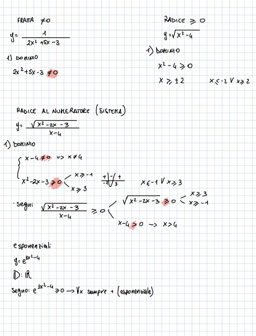
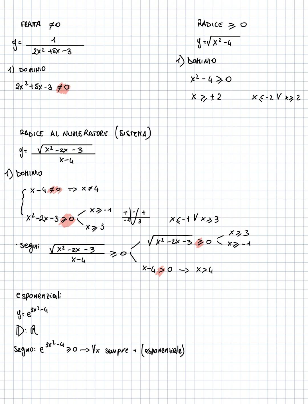
Le funzioni fratte hanno denominatori che non possono essere zero. Per y = 1/, devi risolvere 2x² + 5x - 3 ≠ 0 per trovare il dominio.
Quando hai radici quadrate, il radicando deve essere maggiore o uguale a zero. Se la radice è al numeratore di una frazione, devi anche controllare che il denominatore sia diverso da zero.
Le funzioni esponenziali come y = e^ hanno sempre dominio ℝ e sono sempre positive. I logaritmi invece richiedono che l'argomento sia strettamente positivo.
Strategia vincente: Fai sempre un sistema con tutte le condizioni insieme - ti eviterà errori stupidi!

Accesso a tutti i documenti
Migliora i tuoi voti
Unisciti a milioni di studenti
Ecco il tuo schema veloce per trovare il dominio di qualsiasi funzione. Polinomi: sempre ℝ. Frazioni: denominatore ≠ 0. Radici pari: radicando ≥ 0.
Per i logaritmi, l'argomento deve essere > 0. Gli esponenziali hanno sempre dominio ℝ. Quando hai funzioni composte, devi soddisfare tutte le condizioni contemporaneamente.
Nell'esempio y = √, devi controllare: x² - 4 ≥ 0, x + 1 > 0, e ln - 1 ≠ 0. Poi fai l'intersezione di tutte le condizioni.
Per non sbagliare mai: Scrivi sempre tutte le condizioni in un sistema, poi risolvi una alla volta!

Accesso a tutti i documenti
Migliora i tuoi voti
Unisciti a milioni di studenti
Il nostro assistente AI è costruito specificamente per le esigenze degli studenti. Sulla base dei milioni di contenuti presenti sulla piattaforma, possiamo fornire agli studenti risposte davvero significative e pertinenti. Ma non si tratta solo di risposte, l'assistente è in grado di guidare gli studenti attraverso le loro sfide quotidiane di studio, con piani di studio personalizzati, quiz o contenuti nella chat e una personalizzazione al 100% basata sulle competenze e sugli sviluppi degli studenti.
È possibile scaricare l'applicazione dal Google Play Store e dall'Apple App Store.
Sì, hai accesso completamente gratuito a tutti i contenuti nell'app e puoi chattare o seguire i Creatori in qualsiasi momento. Sbloccherai nuove funzioni crescendo il tuo numero di follower. Inoltre, offriamo Knowunity Premium, che consente di studiare senza alcun limite!!
11
Strumenti Intelligenti NUOVO
Trasforma questi appunti in: ✓ 50+ Domande di Pratica ✓ Flashcard Interattive ✓ Simulazione d'esame completa ✓ Schemi per Saggi
LE PARABOLE: concavità, vertice, intersezione con asse x e y, altri punti, fuoco, direttrice. EQUAZIONE DELLA PARABOLA DANTI 3 PUNTI, RETTE E PARABOLE: rette secanti, tangenti ed esterne.
Appunti di goniometria e trigonometria
App Store
Google Play
L'applicazione è molto facile da usare e ben progettata. Finora ho trovato tutto quello che cercavo e ho potuto imparare molto dalle presentazioni! Utilizzerò sicuramente l'app per i compiti in classe! È molto utile anche come fonte di ispirazione.
Stefano S
utente iOS
Questa applicazione è davvero grande! Ci sono tantissimi appunti e aiuti con lo studio [...]. La mia materia problematica, per esempio, è il francese e l'app ha così tante opzioni per aiutarmi. Grazie a questa app ho migliorato il mio francese. La consiglio a tutti.
Samantha Klich
utente Android
Wow, sono davvero stupita. Ho appena provato l'app perché l'ho vista pubblicizzata molte volte e sono rimasta assolutamente sbalordita. Questa app è L'AIUTO che cercate per la scuola e soprattutto offre tantissime cose, come allenamenti e schede, che a me personalmente sono state MOLTO utili.
Anna
utente iOS
È bellissima questa app, la adoro. È utilissima per lo studio e mi aiuta molto, anzi moltissimo, ma soprattutto mi aiutano molto i quiz, per memorizzare anche quello che non sapevo
Anastasia
utente Android
Fantastica per qualsiasi materia avere gli appunti anche di altre persone è molto utile perchè posso confrontarmi e vedere come migliorarmi. con i quiz riesco ad apprendere al meglio.
Francesca
utente Android
moooolto utile,gli appunti sono belli e funzionanti,schoolGPT da dei consigli formidabili!!
Marianna
utente Android
L'applicazione è semplicemente fantastica! Tutto ciò che devo fare è inserire l'argomento nella barra di ricerca e ottengo la risposta molto velocemente. Non devo guardare 10 video di YouTube per capire qualcosa, quindi risparmio tempo. Consigliatissima!
Sudenaz Ocak
utente Android
A scuola andavo malissimo in matematica, ma grazie a questa applicazione ora vado meglio. Vi sono molto grato per aver creato questa app.
Greenlight Bonnie
utente Android
Knowunity è un applicazione fantastica,considerando che ha degli schemi veramente molto carini e sfiziosi e che ci sono dei quiz,oltre al fatto che questa cosa dell intelligenza artificiale "school gpt" è almeno per me molto utile, perché a differenza di Chatgpt ti da le spiegazioni, ti spiega ciò che non è chiaro! Posso studiare più velocemente tramite gli schemi e che posso pubblicare io stessa gli schemi è una funzione utilissima per gli altri studenti. Knowunity è PERFETTA
Aurora
utente Android
L’app funziona benissimo e puoi trovare qualsiasi tipo di informazione. Non ho l’abbonamento ma la parte gratuita è sufficiente per uno studio approfondito.
Martina
utente iOS
I quiz E LE flashcard SONO COSÌ UTILI E ADORO Knowunity IA. È ANCHE LETTERALMENTE COME CHATGPT MA PIÙ INTELLIGENTE!! MI HA AIUTATO ANCHE COI MIEI PROBLEMI DI MASCARA!! E ANCHE CON LE MIE VERE MATERIE! OVVIO 😍😁😲🤑💗✨🎀😮
Chiara
utente IOS
Questa app è una delle migliori, nient’altro da dire.
Andrea
utente iOS
L'applicazione è molto facile da usare e ben progettata. Finora ho trovato tutto quello che cercavo e ho potuto imparare molto dalle presentazioni! Utilizzerò sicuramente l'app per i compiti in classe! È molto utile anche come fonte di ispirazione.
Stefano S
utente iOS
Questa applicazione è davvero grande! Ci sono tantissimi appunti e aiuti con lo studio [...]. La mia materia problematica, per esempio, è il francese e l'app ha così tante opzioni per aiutarmi. Grazie a questa app ho migliorato il mio francese. La consiglio a tutti.
Samantha Klich
utente Android
Wow, sono davvero stupita. Ho appena provato l'app perché l'ho vista pubblicizzata molte volte e sono rimasta assolutamente sbalordita. Questa app è L'AIUTO che cercate per la scuola e soprattutto offre tantissime cose, come allenamenti e schede, che a me personalmente sono state MOLTO utili.
Anna
utente iOS
È bellissima questa app, la adoro. È utilissima per lo studio e mi aiuta molto, anzi moltissimo, ma soprattutto mi aiutano molto i quiz, per memorizzare anche quello che non sapevo
Anastasia
utente Android
Fantastica per qualsiasi materia avere gli appunti anche di altre persone è molto utile perchè posso confrontarmi e vedere come migliorarmi. con i quiz riesco ad apprendere al meglio.
Francesca
utente Android
moooolto utile,gli appunti sono belli e funzionanti,schoolGPT da dei consigli formidabili!!
Marianna
utente Android
L'applicazione è semplicemente fantastica! Tutto ciò che devo fare è inserire l'argomento nella barra di ricerca e ottengo la risposta molto velocemente. Non devo guardare 10 video di YouTube per capire qualcosa, quindi risparmio tempo. Consigliatissima!
Sudenaz Ocak
utente Android
A scuola andavo malissimo in matematica, ma grazie a questa applicazione ora vado meglio. Vi sono molto grato per aver creato questa app.
Greenlight Bonnie
utente Android
Knowunity è un applicazione fantastica,considerando che ha degli schemi veramente molto carini e sfiziosi e che ci sono dei quiz,oltre al fatto che questa cosa dell intelligenza artificiale "school gpt" è almeno per me molto utile, perché a differenza di Chatgpt ti da le spiegazioni, ti spiega ciò che non è chiaro! Posso studiare più velocemente tramite gli schemi e che posso pubblicare io stessa gli schemi è una funzione utilissima per gli altri studenti. Knowunity è PERFETTA
Aurora
utente Android
L’app funziona benissimo e puoi trovare qualsiasi tipo di informazione. Non ho l’abbonamento ma la parte gratuita è sufficiente per uno studio approfondito.
Martina
utente iOS
I quiz E LE flashcard SONO COSÌ UTILI E ADORO Knowunity IA. È ANCHE LETTERALMENTE COME CHATGPT MA PIÙ INTELLIGENTE!! MI HA AIUTATO ANCHE COI MIEI PROBLEMI DI MASCARA!! E ANCHE CON LE MIE VERE MATERIE! OVVIO 😍😁😲🤑💗✨🎀😮
Chiara
utente IOS
Questa app è una delle migliori, nient’altro da dire.
Andrea
utente iOS