Le equazioni e disequazioni irrazionali sono quelle che contengono almeno... Mostra di più
Iscriviti per mostrare il contenutoÈ gratis!
Accesso a tutti i documenti
Migliora i tuoi voti
Unisciti a milioni di studenti
Knowunity AI
Materie
Triangle Congruence and Similarity Theorems
Triangle Properties and Classification
Linear Equations and Graphs
Geometric Angle Relationships
Trigonometric Functions and Identities
Equation Solving Techniques
Circle Geometry Fundamentals
Division Operations and Methods
Basic Differentiation Rules
Exponent and Logarithm Properties
Mostra tutti gli argomenti
Human Organ Systems
Reproductive Cell Cycles
Biological Sciences Subdisciplines
Cellular Energy Metabolism
Autotrophic Energy Processes
Inheritance Patterns and Principles
Biomolecular Structure and Organization
Cell Cycle and Division Mechanics
Cellular Organization and Development
Biological Structural Organization
Mostra tutti gli argomenti
Chemical Sciences and Applications
Atomic Structure and Composition
Molecular Electron Structure Representation
Atomic Electron Behavior
Matter Properties and Water
Mole Concept and Calculations
Gas Laws and Behavior
Periodic Table Organization
Chemical Thermodynamics Fundamentals
Chemical Bond Types and Properties
Mostra tutti gli argomenti
European Renaissance and Enlightenment
European Cultural Movements 800-1920
American Revolution Era 1763-1797
American Civil War 1861-1865
Global Imperial Systems
Mongol and Chinese Dynasties
U.S. Presidents and World Leaders
Historical Sources and Documentation
World Wars Era and Impact
World Religious Systems
Mostra tutti gli argomenti
Classic and Contemporary Novels
Literary Character Analysis
Rhetorical Theory and Practice
Classic Literary Narratives
Reading Analysis and Interpretation
Narrative Structure and Techniques
English Language Components
Influential English-Language Authors
Basic Sentence Structure
Narrative Voice and Perspective
Mostra tutti gli argomenti
909
•
Aggiornato May 17, 2026
•
Patrizio
@jerry88
Le equazioni e disequazioni irrazionali sono quelle che contengono almeno... Mostra di più










Quando hai un'equazione con radici di indice pari (come √), devi sempre ricordare due regole fondamentali. L'argomento sotto radice deve essere ≥ 0, e il secondo membro dell'equazione deve essere ≥ 0 (una radice pari non può mai essere negativa).
Prima di tutto, imposti il sistema delle condizioni di esistenza. Per esempio, con √ = x, scrivi: x + 2 ≥ 0 e x ≥ 0, che ti dà x ≥ 0.
Dopo aver trovato le condizioni, elevi al quadrato entrambi i membri e risolvi l'equazione risultante. Nell'esempio ottieni x² - x - 2 = 0, con soluzioni x = 2 e x = -1. Solo x = 2 è valida perché rispetta la condizione x ≥ 0.
Attenzione! Quando elevi al quadrato puoi introdurre soluzioni spurie, quindi verifica sempre che le soluzioni rispettino le condizioni iniziali.

Le radici di indice dispari (come ∛) sono molto più semplici da gestire! L'argomento può essere qualsiasi numero reale, anche negativo, quindi non devi impostare sistemi di condizioni particolari.
Puoi elevare direttamente entrambi i membri alla potenza corrispondente all'indice. Per esempio, con ∛ = 1/2, elevi al cubo: x - 2 = 1/8, quindi x = 17/8.
L'unica eccezione è quando hai frazioni con x al denominatore. In quel caso devi comunque escludere i valori che annullano il denominatore.
Trucco! Le radici dispari ti semplificano la vita: niente sistemi complicati, vai dritto alla risoluzione!

Quando hai radici pari da entrambi i lati dell'equazione, devi impostare le condizioni di esistenza per tutti gli argomenti delle radici. Nell'esempio √ = √x, hai tre condizioni: 2 - 1/x ≥ 0, x ≥ 0, e x ≠ 0.
La prima condizione ti porta a risolvere una disequazione fratta: /x ≥ 0. Con il metodo del segno trovi x < 0 oppure x ≥ 1/2.
Intersecando tutte le condizioni ottieni x ≥ 1/2. Ora puoi elevare al quadrato entrambi i membri e risolvere normalmente: 2 - 1/x = x porta a x = 1, che rispetta la condizione.
Ricorda! Più radici = più condizioni da verificare, ma il procedimento rimane sempre lo stesso.

Quando hai radici di indice diverso nella stessa equazione, prima separi le radici: porta quelle dispari al secondo membro. Poi imponi le condizioni solo per le radici pari e per il fatto che il secondo membro deve essere ≥ 0.
Il trucco sta nell'elevare a una potenza comune: il minimo comune multiplo degli indici. Nell'esempio con √ = ∛, elevi alla sesta potenza entrambi i membri.
Dopo aver semplificato ottieni un'equazione più complessa, ma gestibile con le tecniche standard. Le soluzioni vanno sempre confrontate con le condizioni iniziali.
Strategia vincente! Separare le radici e trovare la potenza comune ti permette di trasformare anche le equazioni più complicate in forme risolubili.

Le disequazioni irrazionali del tipo √f(x) > g(x) richiedono un approccio sistematico. Devi considerare due scenari diversi in base al segno di g(x).
Se g(x) < 0, la disequazione è sempre vera (una quantità positiva è sempre maggiore di una negativa). Le condizioni sono: f(x) ≥ 0 e g(x) < 0.
Se g(x) ≥ 0, devi elevare al quadrato entrambi i membri. Le condizioni diventano: g(x) ≥ 0 e f(x) > [g(x)]². La soluzione finale è l'unione dei due sistemi.
Punto chiave! Il segno del secondo membro determina completamente la strategia di risoluzione.

Per le disequazioni del tipo √f(x) < g(x), la logica si inverte. Se g(x) ≤ 0, non ci sono soluzioni perché una quantità positiva non può essere minore di una negativa.
Devi quindi studiare un solo sistema: f(x) ≥ 0, g(x) > 0, e f(x) < [g(x)]². Tutte e tre le condizioni devono essere soddisfatte contemporaneamente.
Nell'esempio √ ≤ 2x + 6, risolvi separatamente ogni disequazione e poi fai l'intersezione grafica per trovare la soluzione finale.
Attenzione! In questo caso non hai l'unione di sistemi, ma un unico sistema con tre condizioni da rispettare tutte insieme.

Vediamo come applicare concretamente il metodo. Per √ ≤ 2x + 6, inizi scomponendo x² - x - 2 = , che ti dà x ≤ -1 oppure x ≥ 2.
La condizione 2x + 6 ≥ 0 ti dà x ≥ -3. La terza disequazione x² - x - 2 ≤ ² diventa 3x² + 25x + 38 ≥ 0, con soluzioni x ≤ -19/3 oppure x ≥ -2.
Facendo l'intersezione grafica di tutte le condizioni ottieni -2 ≤ x ≤ -1 oppure x ≥ 2. Questo esempio mostra l'importanza di visualizzare le soluzioni su una retta numerica.
Consiglio pratico! Usa sempre la rappresentazione grafica per evitare errori nell'intersezione delle condizioni.


Il nostro assistente AI è costruito specificamente per le esigenze degli studenti. Sulla base dei milioni di contenuti presenti sulla piattaforma, possiamo fornire agli studenti risposte davvero significative e pertinenti. Ma non si tratta solo di risposte, l'assistente è in grado di guidare gli studenti attraverso le loro sfide quotidiane di studio, con piani di studio personalizzati, quiz o contenuti nella chat e una personalizzazione al 100% basata sulle competenze e sugli sviluppi degli studenti.
È possibile scaricare l'applicazione dal Google Play Store e dall'Apple App Store.
Sì, hai accesso completamente gratuito a tutti i contenuti nell'app e puoi chattare o seguire i Creatori in qualsiasi momento. Sbloccherai nuove funzioni crescendo il tuo numero di follower. Inoltre, offriamo Knowunity Premium, che consente di studiare senza alcun limite!!
App Store
Google Play
L'applicazione è molto facile da usare e ben progettata. Finora ho trovato tutto quello che cercavo e ho potuto imparare molto dalle presentazioni! Utilizzerò sicuramente l'app per i compiti in classe! È molto utile anche come fonte di ispirazione.
Stefano S
utente iOS
Questa applicazione è davvero grande! Ci sono tantissimi appunti e aiuti con lo studio [...]. La mia materia problematica, per esempio, è il francese e l'app ha così tante opzioni per aiutarmi. Grazie a questa app ho migliorato il mio francese. La consiglio a tutti.
Samantha Klich
utente Android
Wow, sono davvero stupita. Ho appena provato l'app perché l'ho vista pubblicizzata molte volte e sono rimasta assolutamente sbalordita. Questa app è L'AIUTO che cercate per la scuola e soprattutto offre tantissime cose, come allenamenti e schede, che a me personalmente sono state MOLTO utili.
Anna
utente iOS
È bellissima questa app, la adoro. È utilissima per lo studio e mi aiuta molto, anzi moltissimo, ma soprattutto mi aiutano molto i quiz, per memorizzare anche quello che non sapevo
Anastasia
utente Android
Fantastica per qualsiasi materia avere gli appunti anche di altre persone è molto utile perchè posso confrontarmi e vedere come migliorarmi. con i quiz riesco ad apprendere al meglio.
Francesca
utente Android
moooolto utile,gli appunti sono belli e funzionanti,schoolGPT da dei consigli formidabili!!
Marianna
utente Android
L'applicazione è semplicemente fantastica! Tutto ciò che devo fare è inserire l'argomento nella barra di ricerca e ottengo la risposta molto velocemente. Non devo guardare 10 video di YouTube per capire qualcosa, quindi risparmio tempo. Consigliatissima!
Sudenaz Ocak
utente Android
A scuola andavo malissimo in matematica, ma grazie a questa applicazione ora vado meglio. Vi sono molto grato per aver creato questa app.
Greenlight Bonnie
utente Android
Knowunity è un applicazione fantastica,considerando che ha degli schemi veramente molto carini e sfiziosi e che ci sono dei quiz,oltre al fatto che questa cosa dell intelligenza artificiale "school gpt" è almeno per me molto utile, perché a differenza di Chatgpt ti da le spiegazioni, ti spiega ciò che non è chiaro! Posso studiare più velocemente tramite gli schemi e che posso pubblicare io stessa gli schemi è una funzione utilissima per gli altri studenti. Knowunity è PERFETTA
Aurora
utente Android
L’app funziona benissimo e puoi trovare qualsiasi tipo di informazione. Non ho l’abbonamento ma la parte gratuita è sufficiente per uno studio approfondito.
Martina
utente iOS
I quiz E LE flashcard SONO COSÌ UTILI E ADORO Knowunity IA. È ANCHE LETTERALMENTE COME CHATGPT MA PIÙ INTELLIGENTE!! MI HA AIUTATO ANCHE COI MIEI PROBLEMI DI MASCARA!! E ANCHE CON LE MIE VERE MATERIE! OVVIO 😍😁😲🤑💗✨🎀😮
Chiara
utente IOS
Questa app è una delle migliori, nient’altro da dire.
Andrea
utente iOS
L'applicazione è molto facile da usare e ben progettata. Finora ho trovato tutto quello che cercavo e ho potuto imparare molto dalle presentazioni! Utilizzerò sicuramente l'app per i compiti in classe! È molto utile anche come fonte di ispirazione.
Stefano S
utente iOS
Questa applicazione è davvero grande! Ci sono tantissimi appunti e aiuti con lo studio [...]. La mia materia problematica, per esempio, è il francese e l'app ha così tante opzioni per aiutarmi. Grazie a questa app ho migliorato il mio francese. La consiglio a tutti.
Samantha Klich
utente Android
Wow, sono davvero stupita. Ho appena provato l'app perché l'ho vista pubblicizzata molte volte e sono rimasta assolutamente sbalordita. Questa app è L'AIUTO che cercate per la scuola e soprattutto offre tantissime cose, come allenamenti e schede, che a me personalmente sono state MOLTO utili.
Anna
utente iOS
È bellissima questa app, la adoro. È utilissima per lo studio e mi aiuta molto, anzi moltissimo, ma soprattutto mi aiutano molto i quiz, per memorizzare anche quello che non sapevo
Anastasia
utente Android
Fantastica per qualsiasi materia avere gli appunti anche di altre persone è molto utile perchè posso confrontarmi e vedere come migliorarmi. con i quiz riesco ad apprendere al meglio.
Francesca
utente Android
moooolto utile,gli appunti sono belli e funzionanti,schoolGPT da dei consigli formidabili!!
Marianna
utente Android
L'applicazione è semplicemente fantastica! Tutto ciò che devo fare è inserire l'argomento nella barra di ricerca e ottengo la risposta molto velocemente. Non devo guardare 10 video di YouTube per capire qualcosa, quindi risparmio tempo. Consigliatissima!
Sudenaz Ocak
utente Android
A scuola andavo malissimo in matematica, ma grazie a questa applicazione ora vado meglio. Vi sono molto grato per aver creato questa app.
Greenlight Bonnie
utente Android
Knowunity è un applicazione fantastica,considerando che ha degli schemi veramente molto carini e sfiziosi e che ci sono dei quiz,oltre al fatto che questa cosa dell intelligenza artificiale "school gpt" è almeno per me molto utile, perché a differenza di Chatgpt ti da le spiegazioni, ti spiega ciò che non è chiaro! Posso studiare più velocemente tramite gli schemi e che posso pubblicare io stessa gli schemi è una funzione utilissima per gli altri studenti. Knowunity è PERFETTA
Aurora
utente Android
L’app funziona benissimo e puoi trovare qualsiasi tipo di informazione. Non ho l’abbonamento ma la parte gratuita è sufficiente per uno studio approfondito.
Martina
utente iOS
I quiz E LE flashcard SONO COSÌ UTILI E ADORO Knowunity IA. È ANCHE LETTERALMENTE COME CHATGPT MA PIÙ INTELLIGENTE!! MI HA AIUTATO ANCHE COI MIEI PROBLEMI DI MASCARA!! E ANCHE CON LE MIE VERE MATERIE! OVVIO 😍😁😲🤑💗✨🎀😮
Chiara
utente IOS
Questa app è una delle migliori, nient’altro da dire.
Andrea
utente iOS
Patrizio
@jerry88
Le equazioni e disequazioni irrazionali sono quelle che contengono almeno una radice con l'incognita sotto il segno di radice. La strategia per risolverle dipende dall'indice della radice e richiede sempre attenzione al campo di esistenza.

Accesso a tutti i documenti
Migliora i tuoi voti
Unisciti a milioni di studenti
Quando hai un'equazione con radici di indice pari (come √), devi sempre ricordare due regole fondamentali. L'argomento sotto radice deve essere ≥ 0, e il secondo membro dell'equazione deve essere ≥ 0 (una radice pari non può mai essere negativa).
Prima di tutto, imposti il sistema delle condizioni di esistenza. Per esempio, con √ = x, scrivi: x + 2 ≥ 0 e x ≥ 0, che ti dà x ≥ 0.
Dopo aver trovato le condizioni, elevi al quadrato entrambi i membri e risolvi l'equazione risultante. Nell'esempio ottieni x² - x - 2 = 0, con soluzioni x = 2 e x = -1. Solo x = 2 è valida perché rispetta la condizione x ≥ 0.
Attenzione! Quando elevi al quadrato puoi introdurre soluzioni spurie, quindi verifica sempre che le soluzioni rispettino le condizioni iniziali.

Accesso a tutti i documenti
Migliora i tuoi voti
Unisciti a milioni di studenti
Le radici di indice dispari (come ∛) sono molto più semplici da gestire! L'argomento può essere qualsiasi numero reale, anche negativo, quindi non devi impostare sistemi di condizioni particolari.
Puoi elevare direttamente entrambi i membri alla potenza corrispondente all'indice. Per esempio, con ∛ = 1/2, elevi al cubo: x - 2 = 1/8, quindi x = 17/8.
L'unica eccezione è quando hai frazioni con x al denominatore. In quel caso devi comunque escludere i valori che annullano il denominatore.
Trucco! Le radici dispari ti semplificano la vita: niente sistemi complicati, vai dritto alla risoluzione!

Accesso a tutti i documenti
Migliora i tuoi voti
Unisciti a milioni di studenti
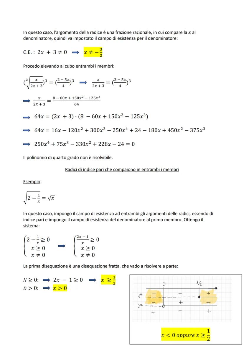
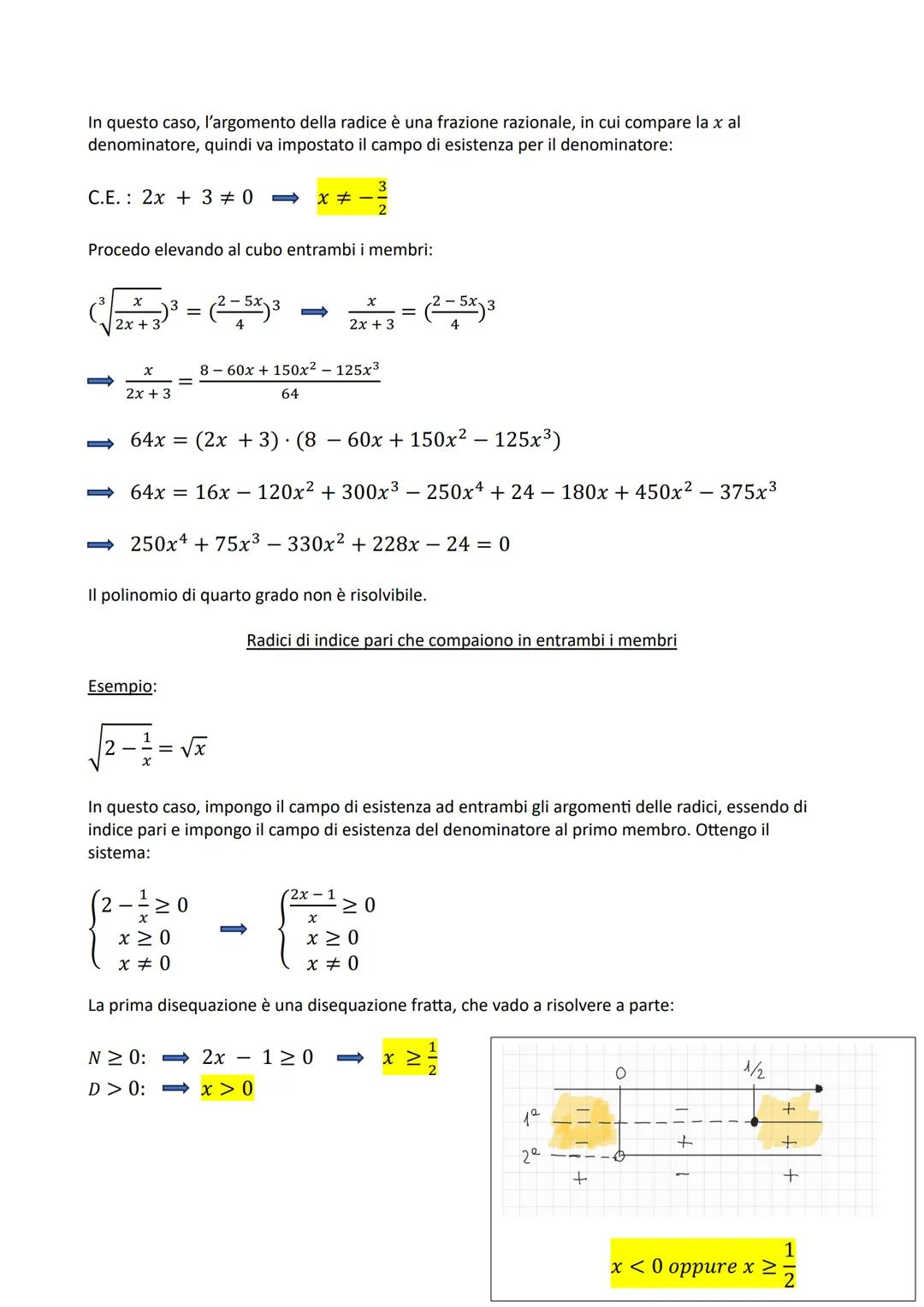
Quando hai radici pari da entrambi i lati dell'equazione, devi impostare le condizioni di esistenza per tutti gli argomenti delle radici. Nell'esempio √ = √x, hai tre condizioni: 2 - 1/x ≥ 0, x ≥ 0, e x ≠ 0.
La prima condizione ti porta a risolvere una disequazione fratta: /x ≥ 0. Con il metodo del segno trovi x < 0 oppure x ≥ 1/2.
Intersecando tutte le condizioni ottieni x ≥ 1/2. Ora puoi elevare al quadrato entrambi i membri e risolvere normalmente: 2 - 1/x = x porta a x = 1, che rispetta la condizione.
Ricorda! Più radici = più condizioni da verificare, ma il procedimento rimane sempre lo stesso.

Accesso a tutti i documenti
Migliora i tuoi voti
Unisciti a milioni di studenti
Quando hai radici di indice diverso nella stessa equazione, prima separi le radici: porta quelle dispari al secondo membro. Poi imponi le condizioni solo per le radici pari e per il fatto che il secondo membro deve essere ≥ 0.
Il trucco sta nell'elevare a una potenza comune: il minimo comune multiplo degli indici. Nell'esempio con √ = ∛, elevi alla sesta potenza entrambi i membri.
Dopo aver semplificato ottieni un'equazione più complessa, ma gestibile con le tecniche standard. Le soluzioni vanno sempre confrontate con le condizioni iniziali.
Strategia vincente! Separare le radici e trovare la potenza comune ti permette di trasformare anche le equazioni più complicate in forme risolubili.

Accesso a tutti i documenti
Migliora i tuoi voti
Unisciti a milioni di studenti
Le disequazioni irrazionali del tipo √f(x) > g(x) richiedono un approccio sistematico. Devi considerare due scenari diversi in base al segno di g(x).
Se g(x) < 0, la disequazione è sempre vera (una quantità positiva è sempre maggiore di una negativa). Le condizioni sono: f(x) ≥ 0 e g(x) < 0.
Se g(x) ≥ 0, devi elevare al quadrato entrambi i membri. Le condizioni diventano: g(x) ≥ 0 e f(x) > [g(x)]². La soluzione finale è l'unione dei due sistemi.
Punto chiave! Il segno del secondo membro determina completamente la strategia di risoluzione.

Accesso a tutti i documenti
Migliora i tuoi voti
Unisciti a milioni di studenti
Per le disequazioni del tipo √f(x) < g(x), la logica si inverte. Se g(x) ≤ 0, non ci sono soluzioni perché una quantità positiva non può essere minore di una negativa.
Devi quindi studiare un solo sistema: f(x) ≥ 0, g(x) > 0, e f(x) < [g(x)]². Tutte e tre le condizioni devono essere soddisfatte contemporaneamente.
Nell'esempio √ ≤ 2x + 6, risolvi separatamente ogni disequazione e poi fai l'intersezione grafica per trovare la soluzione finale.
Attenzione! In questo caso non hai l'unione di sistemi, ma un unico sistema con tre condizioni da rispettare tutte insieme.

Accesso a tutti i documenti
Migliora i tuoi voti
Unisciti a milioni di studenti
Vediamo come applicare concretamente il metodo. Per √ ≤ 2x + 6, inizi scomponendo x² - x - 2 = , che ti dà x ≤ -1 oppure x ≥ 2.
La condizione 2x + 6 ≥ 0 ti dà x ≥ -3. La terza disequazione x² - x - 2 ≤ ² diventa 3x² + 25x + 38 ≥ 0, con soluzioni x ≤ -19/3 oppure x ≥ -2.
Facendo l'intersezione grafica di tutte le condizioni ottieni -2 ≤ x ≤ -1 oppure x ≥ 2. Questo esempio mostra l'importanza di visualizzare le soluzioni su una retta numerica.
Consiglio pratico! Usa sempre la rappresentazione grafica per evitare errori nell'intersezione delle condizioni.

Accesso a tutti i documenti
Migliora i tuoi voti
Unisciti a milioni di studenti

Accesso a tutti i documenti
Migliora i tuoi voti
Unisciti a milioni di studenti
Il nostro assistente AI è costruito specificamente per le esigenze degli studenti. Sulla base dei milioni di contenuti presenti sulla piattaforma, possiamo fornire agli studenti risposte davvero significative e pertinenti. Ma non si tratta solo di risposte, l'assistente è in grado di guidare gli studenti attraverso le loro sfide quotidiane di studio, con piani di studio personalizzati, quiz o contenuti nella chat e una personalizzazione al 100% basata sulle competenze e sugli sviluppi degli studenti.
È possibile scaricare l'applicazione dal Google Play Store e dall'Apple App Store.
Sì, hai accesso completamente gratuito a tutti i contenuti nell'app e puoi chattare o seguire i Creatori in qualsiasi momento. Sbloccherai nuove funzioni crescendo il tuo numero di follower. Inoltre, offriamo Knowunity Premium, che consente di studiare senza alcun limite!!
8
Strumenti Intelligenti NUOVO
Trasforma questi appunti in: ✓ 50+ Domande di Pratica ✓ Flashcard Interattive ✓ Simulazione d'esame completa ✓ Schemi per Saggi
App Store
Google Play
L'applicazione è molto facile da usare e ben progettata. Finora ho trovato tutto quello che cercavo e ho potuto imparare molto dalle presentazioni! Utilizzerò sicuramente l'app per i compiti in classe! È molto utile anche come fonte di ispirazione.
Stefano S
utente iOS
Questa applicazione è davvero grande! Ci sono tantissimi appunti e aiuti con lo studio [...]. La mia materia problematica, per esempio, è il francese e l'app ha così tante opzioni per aiutarmi. Grazie a questa app ho migliorato il mio francese. La consiglio a tutti.
Samantha Klich
utente Android
Wow, sono davvero stupita. Ho appena provato l'app perché l'ho vista pubblicizzata molte volte e sono rimasta assolutamente sbalordita. Questa app è L'AIUTO che cercate per la scuola e soprattutto offre tantissime cose, come allenamenti e schede, che a me personalmente sono state MOLTO utili.
Anna
utente iOS
È bellissima questa app, la adoro. È utilissima per lo studio e mi aiuta molto, anzi moltissimo, ma soprattutto mi aiutano molto i quiz, per memorizzare anche quello che non sapevo
Anastasia
utente Android
Fantastica per qualsiasi materia avere gli appunti anche di altre persone è molto utile perchè posso confrontarmi e vedere come migliorarmi. con i quiz riesco ad apprendere al meglio.
Francesca
utente Android
moooolto utile,gli appunti sono belli e funzionanti,schoolGPT da dei consigli formidabili!!
Marianna
utente Android
L'applicazione è semplicemente fantastica! Tutto ciò che devo fare è inserire l'argomento nella barra di ricerca e ottengo la risposta molto velocemente. Non devo guardare 10 video di YouTube per capire qualcosa, quindi risparmio tempo. Consigliatissima!
Sudenaz Ocak
utente Android
A scuola andavo malissimo in matematica, ma grazie a questa applicazione ora vado meglio. Vi sono molto grato per aver creato questa app.
Greenlight Bonnie
utente Android
Knowunity è un applicazione fantastica,considerando che ha degli schemi veramente molto carini e sfiziosi e che ci sono dei quiz,oltre al fatto che questa cosa dell intelligenza artificiale "school gpt" è almeno per me molto utile, perché a differenza di Chatgpt ti da le spiegazioni, ti spiega ciò che non è chiaro! Posso studiare più velocemente tramite gli schemi e che posso pubblicare io stessa gli schemi è una funzione utilissima per gli altri studenti. Knowunity è PERFETTA
Aurora
utente Android
L’app funziona benissimo e puoi trovare qualsiasi tipo di informazione. Non ho l’abbonamento ma la parte gratuita è sufficiente per uno studio approfondito.
Martina
utente iOS
I quiz E LE flashcard SONO COSÌ UTILI E ADORO Knowunity IA. È ANCHE LETTERALMENTE COME CHATGPT MA PIÙ INTELLIGENTE!! MI HA AIUTATO ANCHE COI MIEI PROBLEMI DI MASCARA!! E ANCHE CON LE MIE VERE MATERIE! OVVIO 😍😁😲🤑💗✨🎀😮
Chiara
utente IOS
Questa app è una delle migliori, nient’altro da dire.
Andrea
utente iOS
L'applicazione è molto facile da usare e ben progettata. Finora ho trovato tutto quello che cercavo e ho potuto imparare molto dalle presentazioni! Utilizzerò sicuramente l'app per i compiti in classe! È molto utile anche come fonte di ispirazione.
Stefano S
utente iOS
Questa applicazione è davvero grande! Ci sono tantissimi appunti e aiuti con lo studio [...]. La mia materia problematica, per esempio, è il francese e l'app ha così tante opzioni per aiutarmi. Grazie a questa app ho migliorato il mio francese. La consiglio a tutti.
Samantha Klich
utente Android
Wow, sono davvero stupita. Ho appena provato l'app perché l'ho vista pubblicizzata molte volte e sono rimasta assolutamente sbalordita. Questa app è L'AIUTO che cercate per la scuola e soprattutto offre tantissime cose, come allenamenti e schede, che a me personalmente sono state MOLTO utili.
Anna
utente iOS
È bellissima questa app, la adoro. È utilissima per lo studio e mi aiuta molto, anzi moltissimo, ma soprattutto mi aiutano molto i quiz, per memorizzare anche quello che non sapevo
Anastasia
utente Android
Fantastica per qualsiasi materia avere gli appunti anche di altre persone è molto utile perchè posso confrontarmi e vedere come migliorarmi. con i quiz riesco ad apprendere al meglio.
Francesca
utente Android
moooolto utile,gli appunti sono belli e funzionanti,schoolGPT da dei consigli formidabili!!
Marianna
utente Android
L'applicazione è semplicemente fantastica! Tutto ciò che devo fare è inserire l'argomento nella barra di ricerca e ottengo la risposta molto velocemente. Non devo guardare 10 video di YouTube per capire qualcosa, quindi risparmio tempo. Consigliatissima!
Sudenaz Ocak
utente Android
A scuola andavo malissimo in matematica, ma grazie a questa applicazione ora vado meglio. Vi sono molto grato per aver creato questa app.
Greenlight Bonnie
utente Android
Knowunity è un applicazione fantastica,considerando che ha degli schemi veramente molto carini e sfiziosi e che ci sono dei quiz,oltre al fatto che questa cosa dell intelligenza artificiale "school gpt" è almeno per me molto utile, perché a differenza di Chatgpt ti da le spiegazioni, ti spiega ciò che non è chiaro! Posso studiare più velocemente tramite gli schemi e che posso pubblicare io stessa gli schemi è una funzione utilissima per gli altri studenti. Knowunity è PERFETTA
Aurora
utente Android
L’app funziona benissimo e puoi trovare qualsiasi tipo di informazione. Non ho l’abbonamento ma la parte gratuita è sufficiente per uno studio approfondito.
Martina
utente iOS
I quiz E LE flashcard SONO COSÌ UTILI E ADORO Knowunity IA. È ANCHE LETTERALMENTE COME CHATGPT MA PIÙ INTELLIGENTE!! MI HA AIUTATO ANCHE COI MIEI PROBLEMI DI MASCARA!! E ANCHE CON LE MIE VERE MATERIE! OVVIO 😍😁😲🤑💗✨🎀😮
Chiara
utente IOS
Questa app è una delle migliori, nient’altro da dire.
Andrea
utente iOS