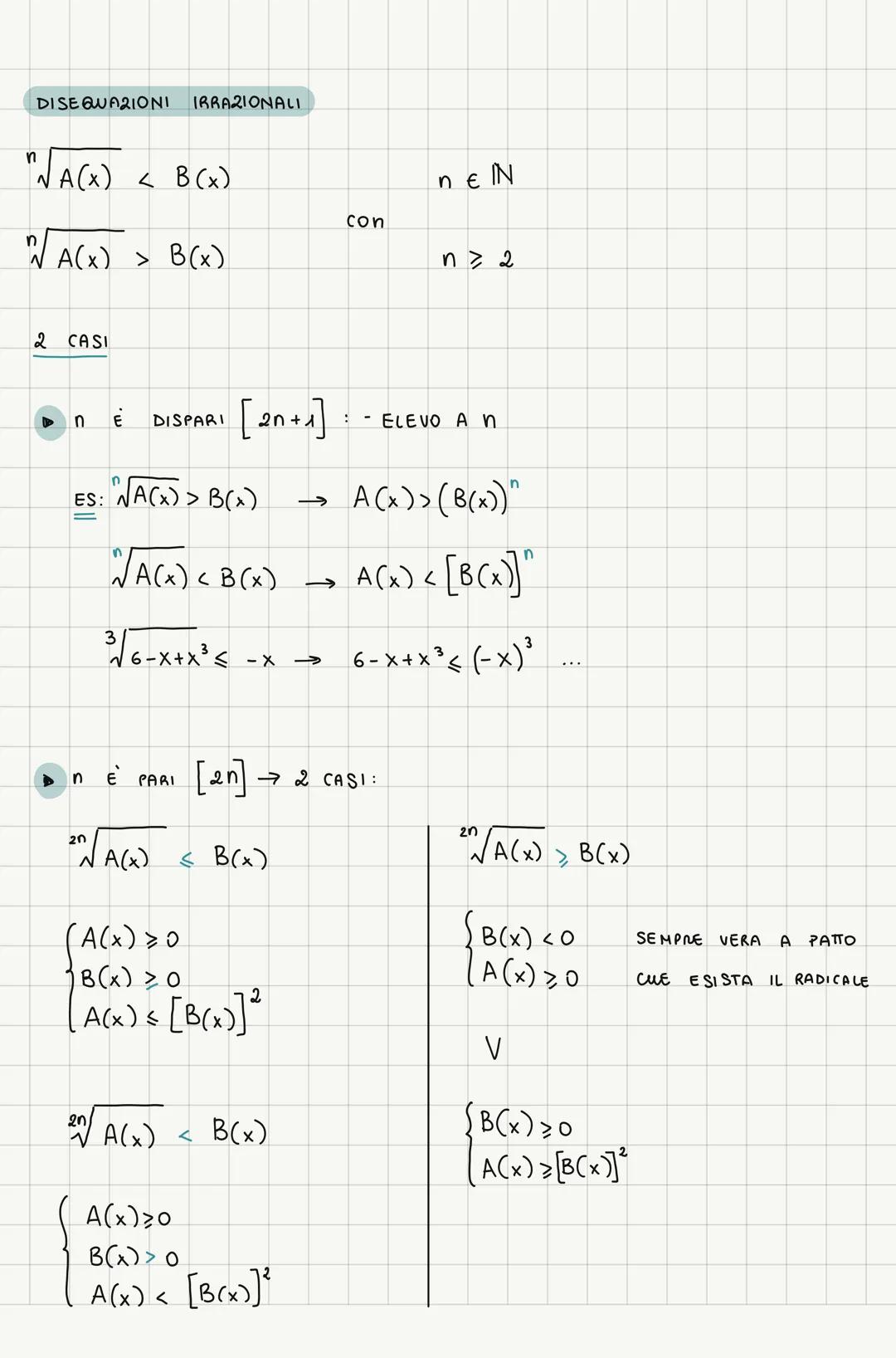
Equazioni e disequazioni irrazionali, con radici pari e dispari e con disequazioni maggiori/minori
Iscriviti per mostrare il contenutoÈ gratis!
Accesso a tutti i documenti
Migliora i tuoi voti
Unisciti a milioni di studenti
Iscrivendosi si accettano i Termini di servizio e la Informativa sulla privacy.

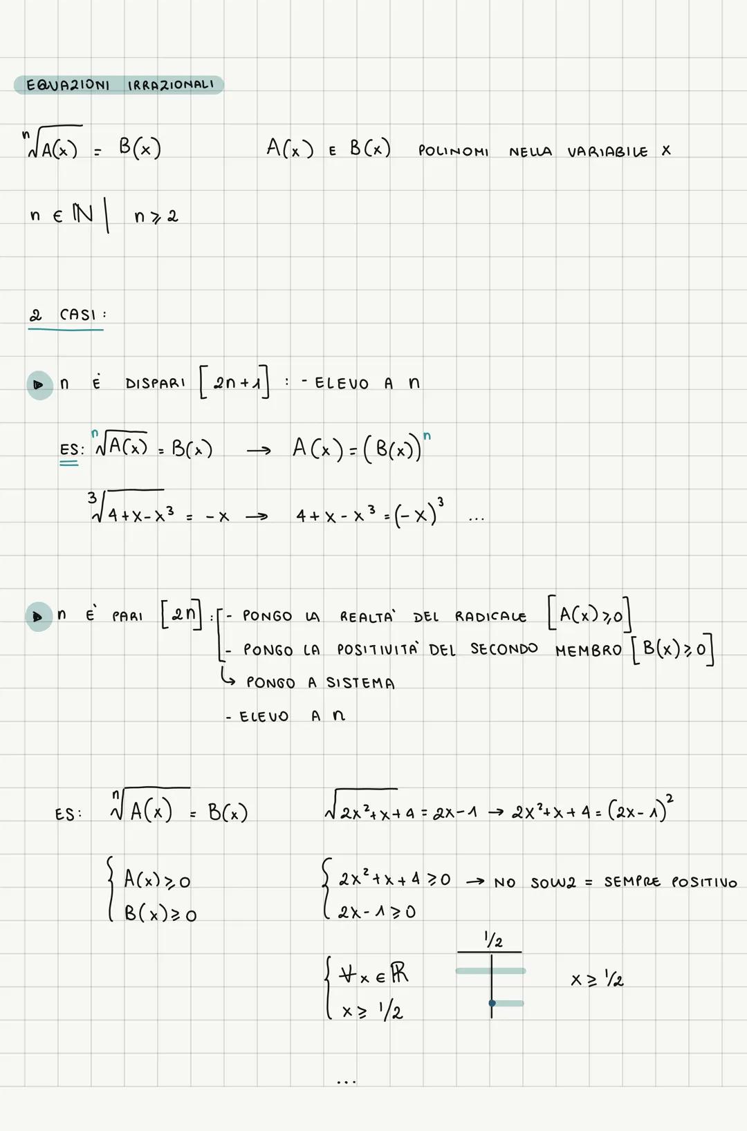
![EQUAZIONI IRRAZIONALI
n
"√A(x) = B(x)
nEN | n=₂
2
CASI :
n € DISPARI
ES:
n
ES:
√A(X) = B(x)
3/4+x-x3
'w
PARI
[20+1]
[an]
A(x) E B(x)
= -X →>](/_next/image?url=https%3A%2F%2Fcontent-eu-central-1.knowunity.com%2FCONTENT%2FLToQwUfOJNMcanHgGsZR_image_page_1.webp&w=2048&q=75)
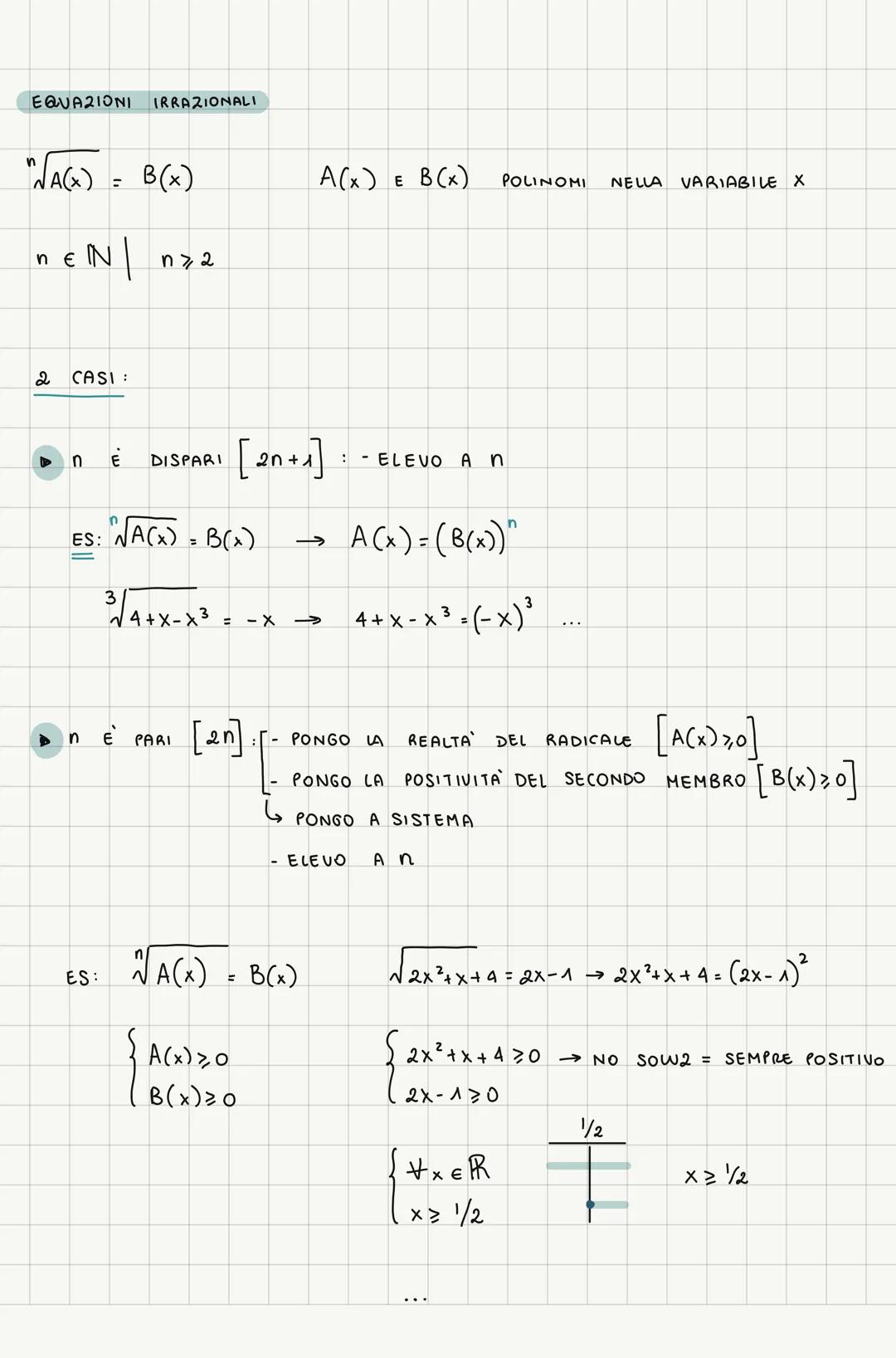
![EQUAZIONI IRRAZIONALI
n
"√A(x) = B(x)
nEN | n=₂
2
CASI :
n € DISPARI
ES:
n
ES:
√A(X) = B(x)
3/4+x-x3
'w
PARI
[20+1]
[an]
A(x) E B(x)
= -X →>](/_next/image?url=https%3A%2F%2Fcontent-eu-central-1.knowunity.com%2FCONTENT%2FLToQwUfOJNMcanHgGsZR_image_page_2.webp&w=2048&q=75)