Scopriamo il mondo delle forze che agiscono intorno a noi... Mostra di più
Iscriviti per mostrare il contenutoÈ gratis!
Accesso a tutti i documenti
Migliora i tuoi voti
Unisciti a milioni di studenti
Knowunity AI
Materie
Triangle Congruence and Similarity Theorems
Triangle Properties and Classification
Linear Equations and Graphs
Geometric Angle Relationships
Trigonometric Functions and Identities
Equation Solving Techniques
Circle Geometry Fundamentals
Division Operations and Methods
Basic Differentiation Rules
Exponent and Logarithm Properties
Mostra tutti gli argomenti
Human Organ Systems
Reproductive Cell Cycles
Biological Sciences Subdisciplines
Cellular Energy Metabolism
Autotrophic Energy Processes
Inheritance Patterns and Principles
Biomolecular Structure and Organization
Cell Cycle and Division Mechanics
Cellular Organization and Development
Biological Structural Organization
Mostra tutti gli argomenti
Chemical Sciences and Applications
Atomic Structure and Composition
Molecular Electron Structure Representation
Atomic Electron Behavior
Matter Properties and Water
Mole Concept and Calculations
Gas Laws and Behavior
Periodic Table Organization
Chemical Thermodynamics Fundamentals
Chemical Bond Types and Properties
Mostra tutti gli argomenti
European Renaissance and Enlightenment
European Cultural Movements 800-1920
American Revolution Era 1763-1797
American Civil War 1861-1865
Global Imperial Systems
Mongol and Chinese Dynasties
U.S. Presidents and World Leaders
Historical Sources and Documentation
World Wars Era and Impact
World Religious Systems
Mostra tutti gli argomenti
Classic and Contemporary Novels
Literary Character Analysis
Rhetorical Theory and Practice
Classic Literary Narratives
Reading Analysis and Interpretation
Narrative Structure and Techniques
English Language Components
Influential English-Language Authors
Basic Sentence Structure
Narrative Voice and Perspective
Mostra tutti gli argomenti
4,694
•
Aggiornato May 17, 2026
•
Irene
@irelop
Scopriamo il mondo delle forze che agiscono intorno a noi... Mostra di più







Ti sei mai chiesto perché cadi sempre verso il basso quando salti? È tutta colpa della forza peso! Questa forza agisce su qualsiasi cosa abbia una massa e punta sempre verso il centro della Terra. Si calcola con la formula P = mg, dove g è l'accelerazione gravitazionale .
Quando appoggi un libro sul tavolo, succede qualcosa di interessante. Il tavolo "risponde" al peso del libro con una forza uguale e contraria chiamata reazione vincolare. È come se il tavolo dicesse al libro: "Non ti faccio cadere attraverso di me!"
La forza di attrito è la tua migliore amica quando cammini e la tua peggiore nemica quando devi spostare mobili pesanti. Si oppone sempre al movimento e ha due facce: l'attrito statico (quando l'oggetto è fermo) e l'attrito dinamico (quando l'oggetto si muove).
Ricorda: Senza attrito non potresti nemmeno camminare - scivoleresti come sul ghiaccio!

L'attrito statico entra in azione quando provi a spingere qualcosa che non si muove. La formula è F_as = μ_s · R_v, dove μ_s è il coefficiente di attrito statico che dipende dal materiale (gomma su asfalto ha più attrito di ghiaccio su ghiaccio).
Quando finalmente riesci a far muovere quell'oggetto, cambia tutto! Ora entra in gioco l'attrito dinamico con la formula F_ad = μ_d · R_v. Ecco perché è più difficile iniziare a spingere un mobile che continuare a spingerlo una volta in movimento.
Il coefficiente di attrito (μ) è un numero senza unità di misura che ti dice quanto è "appiccicoso" il contatto tra due superfici. Più alto è il valore, più attrito c'è.
Trucco per i problemi: L'attrito dinamico è quasi sempre minore di quello statico!

Le molle sono ovunque: negli ammortizzatori, nei materassi, perfino nei trampolini! La forza elastica segue la Legge di Hooke: F_e = K · x. Più allunghi o comprimi la molla (x), più forza fa per tornare alla posizione originale.
La costante elastica K ti dice quanto è "dura" la molla. Una molla con K alto è difficile da deformare, una con K basso è morbida come un cuscino.
La tensione è la forza che fa una corda quando la tiri. Immagina di giocare a tiro alla fune: la tensione è la forza che senti nelle tue mani! La tensione ha sempre la direzione della corda e si oppone alla forza che la sta tirando.
Attenzione: La formula per la tensione cambia sempre a seconda del problema - non esiste una formula unica!

Quando una forza non va dritta lungo un asse, devi "spacchettarla" usando la trigonometria. È come dividere una forza obliqua in due pezzi: uno che va in orizzontale (Fx) e uno in verticale (Fy).
Le formule magiche sono: Fx = F · cos α e Fy = F · sin α. Se hai le componenti e vuoi la forza totale, usi Pitagora: F = √. Per trovare l'angolo: α = tan⁻¹.
La seconda legge della dinamica è il cuore della fisica: F_TOT = m · a. Se la forza totale è zero, l'accelerazione è zero e l'oggetto sta fermo o si muove a velocità costante (equilibrio).
Tip da ricordare: Sin per l'altezza (y), cos per la base (x) - come i lati di un triangolo rettangolo!

Vediamo un esempio di equilibrio su un piano inclinato. Un oggetto di 7 kg è fermo su una rampa di 30°, collegato a una molla. Per risolverlo, scomponi il peso in due parti: Px (parallela al piano) e Py (perpendicolare).
Applichi l'equilibrio su entrambi gli assi: sull'asse y la reazione vincolare bilancia la componente perpendicolare del peso. Sull'asse x la forza elastica e l'attrito statico bilanciano la componente parallela del peso.
Con le carrucole le cose si complicano ma diventano più interessanti! La tensione nella corda è uguale da entrambe le parti . Scrivi l'equazione del moto per ogni massa e poi risolvi il sistema.
Strategia vincente: Prima disegna tutte le forze, poi scrivi le equazioni per ogni asse!

Nell'esempio finale risolviamo un sistema con due masse collegate da una corda: una da 4 kg (orizzontale) e una da 16 kg (verticale). Il trucco è scrivere le equazioni del moto per entrambe le masse.
Per la massa orizzontale: la tensione deve vincere l'attrito per far accelerare la massa. Per la massa verticale: il peso meno la tensione deve dare l'accelerazione verso il basso.
L'accelerazione finale è a = 7,81 m/s². Questo significa che il sistema si muove perché la massa da 16 kg è abbastanza pesante da trascinare quella da 4 kg nonostante l'attrito.
Chiave del successo: Nei problemi con carrucole, l'accelerazione è la stessa per entrambe le masse!
Il nostro assistente AI è costruito specificamente per le esigenze degli studenti. Sulla base dei milioni di contenuti presenti sulla piattaforma, possiamo fornire agli studenti risposte davvero significative e pertinenti. Ma non si tratta solo di risposte, l'assistente è in grado di guidare gli studenti attraverso le loro sfide quotidiane di studio, con piani di studio personalizzati, quiz o contenuti nella chat e una personalizzazione al 100% basata sulle competenze e sugli sviluppi degli studenti.
È possibile scaricare l'applicazione dal Google Play Store e dall'Apple App Store.
Sì, hai accesso completamente gratuito a tutti i contenuti nell'app e puoi chattare o seguire i Creatori in qualsiasi momento. Sbloccherai nuove funzioni crescendo il tuo numero di follower. Inoltre, offriamo Knowunity Premium, che consente di studiare senza alcun limite!!
App Store
Google Play
L'applicazione è molto facile da usare e ben progettata. Finora ho trovato tutto quello che cercavo e ho potuto imparare molto dalle presentazioni! Utilizzerò sicuramente l'app per i compiti in classe! È molto utile anche come fonte di ispirazione.
Stefano S
utente iOS
Questa applicazione è davvero grande! Ci sono tantissimi appunti e aiuti con lo studio [...]. La mia materia problematica, per esempio, è il francese e l'app ha così tante opzioni per aiutarmi. Grazie a questa app ho migliorato il mio francese. La consiglio a tutti.
Samantha Klich
utente Android
Wow, sono davvero stupita. Ho appena provato l'app perché l'ho vista pubblicizzata molte volte e sono rimasta assolutamente sbalordita. Questa app è L'AIUTO che cercate per la scuola e soprattutto offre tantissime cose, come allenamenti e schede, che a me personalmente sono state MOLTO utili.
Anna
utente iOS
È bellissima questa app, la adoro. È utilissima per lo studio e mi aiuta molto, anzi moltissimo, ma soprattutto mi aiutano molto i quiz, per memorizzare anche quello che non sapevo
Anastasia
utente Android
Fantastica per qualsiasi materia avere gli appunti anche di altre persone è molto utile perchè posso confrontarmi e vedere come migliorarmi. con i quiz riesco ad apprendere al meglio.
Francesca
utente Android
moooolto utile,gli appunti sono belli e funzionanti,schoolGPT da dei consigli formidabili!!
Marianna
utente Android
L'applicazione è semplicemente fantastica! Tutto ciò che devo fare è inserire l'argomento nella barra di ricerca e ottengo la risposta molto velocemente. Non devo guardare 10 video di YouTube per capire qualcosa, quindi risparmio tempo. Consigliatissima!
Sudenaz Ocak
utente Android
A scuola andavo malissimo in matematica, ma grazie a questa applicazione ora vado meglio. Vi sono molto grato per aver creato questa app.
Greenlight Bonnie
utente Android
Knowunity è un applicazione fantastica,considerando che ha degli schemi veramente molto carini e sfiziosi e che ci sono dei quiz,oltre al fatto che questa cosa dell intelligenza artificiale "school gpt" è almeno per me molto utile, perché a differenza di Chatgpt ti da le spiegazioni, ti spiega ciò che non è chiaro! Posso studiare più velocemente tramite gli schemi e che posso pubblicare io stessa gli schemi è una funzione utilissima per gli altri studenti. Knowunity è PERFETTA
Aurora
utente Android
L’app funziona benissimo e puoi trovare qualsiasi tipo di informazione. Non ho l’abbonamento ma la parte gratuita è sufficiente per uno studio approfondito.
Martina
utente iOS
I quiz E LE flashcard SONO COSÌ UTILI E ADORO Knowunity IA. È ANCHE LETTERALMENTE COME CHATGPT MA PIÙ INTELLIGENTE!! MI HA AIUTATO ANCHE COI MIEI PROBLEMI DI MASCARA!! E ANCHE CON LE MIE VERE MATERIE! OVVIO 😍😁😲🤑💗✨🎀😮
Chiara
utente IOS
Questa app è una delle migliori, nient’altro da dire.
Andrea
utente iOS
L'applicazione è molto facile da usare e ben progettata. Finora ho trovato tutto quello che cercavo e ho potuto imparare molto dalle presentazioni! Utilizzerò sicuramente l'app per i compiti in classe! È molto utile anche come fonte di ispirazione.
Stefano S
utente iOS
Questa applicazione è davvero grande! Ci sono tantissimi appunti e aiuti con lo studio [...]. La mia materia problematica, per esempio, è il francese e l'app ha così tante opzioni per aiutarmi. Grazie a questa app ho migliorato il mio francese. La consiglio a tutti.
Samantha Klich
utente Android
Wow, sono davvero stupita. Ho appena provato l'app perché l'ho vista pubblicizzata molte volte e sono rimasta assolutamente sbalordita. Questa app è L'AIUTO che cercate per la scuola e soprattutto offre tantissime cose, come allenamenti e schede, che a me personalmente sono state MOLTO utili.
Anna
utente iOS
È bellissima questa app, la adoro. È utilissima per lo studio e mi aiuta molto, anzi moltissimo, ma soprattutto mi aiutano molto i quiz, per memorizzare anche quello che non sapevo
Anastasia
utente Android
Fantastica per qualsiasi materia avere gli appunti anche di altre persone è molto utile perchè posso confrontarmi e vedere come migliorarmi. con i quiz riesco ad apprendere al meglio.
Francesca
utente Android
moooolto utile,gli appunti sono belli e funzionanti,schoolGPT da dei consigli formidabili!!
Marianna
utente Android
L'applicazione è semplicemente fantastica! Tutto ciò che devo fare è inserire l'argomento nella barra di ricerca e ottengo la risposta molto velocemente. Non devo guardare 10 video di YouTube per capire qualcosa, quindi risparmio tempo. Consigliatissima!
Sudenaz Ocak
utente Android
A scuola andavo malissimo in matematica, ma grazie a questa applicazione ora vado meglio. Vi sono molto grato per aver creato questa app.
Greenlight Bonnie
utente Android
Knowunity è un applicazione fantastica,considerando che ha degli schemi veramente molto carini e sfiziosi e che ci sono dei quiz,oltre al fatto che questa cosa dell intelligenza artificiale "school gpt" è almeno per me molto utile, perché a differenza di Chatgpt ti da le spiegazioni, ti spiega ciò che non è chiaro! Posso studiare più velocemente tramite gli schemi e che posso pubblicare io stessa gli schemi è una funzione utilissima per gli altri studenti. Knowunity è PERFETTA
Aurora
utente Android
L’app funziona benissimo e puoi trovare qualsiasi tipo di informazione. Non ho l’abbonamento ma la parte gratuita è sufficiente per uno studio approfondito.
Martina
utente iOS
I quiz E LE flashcard SONO COSÌ UTILI E ADORO Knowunity IA. È ANCHE LETTERALMENTE COME CHATGPT MA PIÙ INTELLIGENTE!! MI HA AIUTATO ANCHE COI MIEI PROBLEMI DI MASCARA!! E ANCHE CON LE MIE VERE MATERIE! OVVIO 😍😁😲🤑💗✨🎀😮
Chiara
utente IOS
Questa app è una delle migliori, nient’altro da dire.
Andrea
utente iOS
Irene
@irelop
Scopriamo il mondo delle forze che agiscono intorno a noi ogni giorno! Dalla forza peso che ci tiene con i piedi per terra all'attrito che ci permette di camminare senza scivolare, queste forze determinano come gli oggetti si muovono e... Mostra di più

Accesso a tutti i documenti
Migliora i tuoi voti
Unisciti a milioni di studenti
Ti sei mai chiesto perché cadi sempre verso il basso quando salti? È tutta colpa della forza peso! Questa forza agisce su qualsiasi cosa abbia una massa e punta sempre verso il centro della Terra. Si calcola con la formula P = mg, dove g è l'accelerazione gravitazionale .
Quando appoggi un libro sul tavolo, succede qualcosa di interessante. Il tavolo "risponde" al peso del libro con una forza uguale e contraria chiamata reazione vincolare. È come se il tavolo dicesse al libro: "Non ti faccio cadere attraverso di me!"
La forza di attrito è la tua migliore amica quando cammini e la tua peggiore nemica quando devi spostare mobili pesanti. Si oppone sempre al movimento e ha due facce: l'attrito statico (quando l'oggetto è fermo) e l'attrito dinamico (quando l'oggetto si muove).
Ricorda: Senza attrito non potresti nemmeno camminare - scivoleresti come sul ghiaccio!

Accesso a tutti i documenti
Migliora i tuoi voti
Unisciti a milioni di studenti
L'attrito statico entra in azione quando provi a spingere qualcosa che non si muove. La formula è F_as = μ_s · R_v, dove μ_s è il coefficiente di attrito statico che dipende dal materiale (gomma su asfalto ha più attrito di ghiaccio su ghiaccio).
Quando finalmente riesci a far muovere quell'oggetto, cambia tutto! Ora entra in gioco l'attrito dinamico con la formula F_ad = μ_d · R_v. Ecco perché è più difficile iniziare a spingere un mobile che continuare a spingerlo una volta in movimento.
Il coefficiente di attrito (μ) è un numero senza unità di misura che ti dice quanto è "appiccicoso" il contatto tra due superfici. Più alto è il valore, più attrito c'è.
Trucco per i problemi: L'attrito dinamico è quasi sempre minore di quello statico!

Accesso a tutti i documenti
Migliora i tuoi voti
Unisciti a milioni di studenti
Le molle sono ovunque: negli ammortizzatori, nei materassi, perfino nei trampolini! La forza elastica segue la Legge di Hooke: F_e = K · x. Più allunghi o comprimi la molla (x), più forza fa per tornare alla posizione originale.
La costante elastica K ti dice quanto è "dura" la molla. Una molla con K alto è difficile da deformare, una con K basso è morbida come un cuscino.
La tensione è la forza che fa una corda quando la tiri. Immagina di giocare a tiro alla fune: la tensione è la forza che senti nelle tue mani! La tensione ha sempre la direzione della corda e si oppone alla forza che la sta tirando.
Attenzione: La formula per la tensione cambia sempre a seconda del problema - non esiste una formula unica!

Accesso a tutti i documenti
Migliora i tuoi voti
Unisciti a milioni di studenti
Quando una forza non va dritta lungo un asse, devi "spacchettarla" usando la trigonometria. È come dividere una forza obliqua in due pezzi: uno che va in orizzontale (Fx) e uno in verticale (Fy).
Le formule magiche sono: Fx = F · cos α e Fy = F · sin α. Se hai le componenti e vuoi la forza totale, usi Pitagora: F = √. Per trovare l'angolo: α = tan⁻¹.
La seconda legge della dinamica è il cuore della fisica: F_TOT = m · a. Se la forza totale è zero, l'accelerazione è zero e l'oggetto sta fermo o si muove a velocità costante (equilibrio).
Tip da ricordare: Sin per l'altezza (y), cos per la base (x) - come i lati di un triangolo rettangolo!

Accesso a tutti i documenti
Migliora i tuoi voti
Unisciti a milioni di studenti
Vediamo un esempio di equilibrio su un piano inclinato. Un oggetto di 7 kg è fermo su una rampa di 30°, collegato a una molla. Per risolverlo, scomponi il peso in due parti: Px (parallela al piano) e Py (perpendicolare).
Applichi l'equilibrio su entrambi gli assi: sull'asse y la reazione vincolare bilancia la componente perpendicolare del peso. Sull'asse x la forza elastica e l'attrito statico bilanciano la componente parallela del peso.
Con le carrucole le cose si complicano ma diventano più interessanti! La tensione nella corda è uguale da entrambe le parti . Scrivi l'equazione del moto per ogni massa e poi risolvi il sistema.
Strategia vincente: Prima disegna tutte le forze, poi scrivi le equazioni per ogni asse!

Accesso a tutti i documenti
Migliora i tuoi voti
Unisciti a milioni di studenti
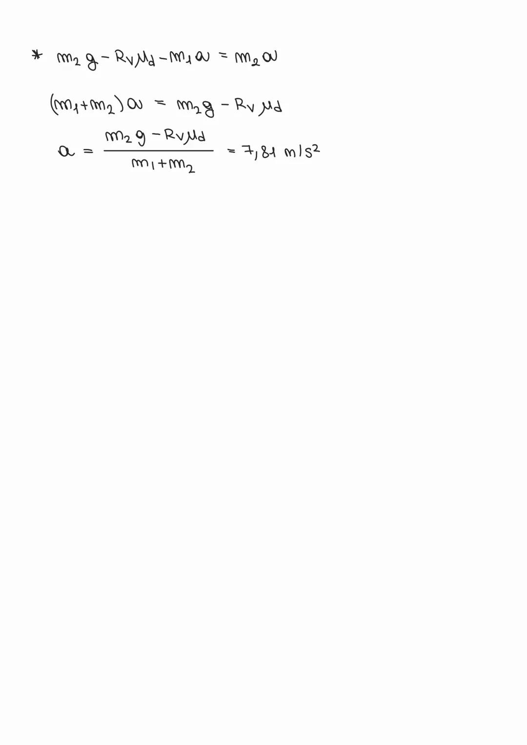
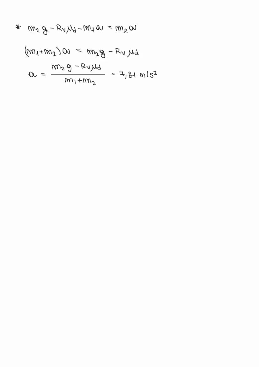
Nell'esempio finale risolviamo un sistema con due masse collegate da una corda: una da 4 kg (orizzontale) e una da 16 kg (verticale). Il trucco è scrivere le equazioni del moto per entrambe le masse.
Per la massa orizzontale: la tensione deve vincere l'attrito per far accelerare la massa. Per la massa verticale: il peso meno la tensione deve dare l'accelerazione verso il basso.
L'accelerazione finale è a = 7,81 m/s². Questo significa che il sistema si muove perché la massa da 16 kg è abbastanza pesante da trascinare quella da 4 kg nonostante l'attrito.
Chiave del successo: Nei problemi con carrucole, l'accelerazione è la stessa per entrambe le masse!
Il nostro assistente AI è costruito specificamente per le esigenze degli studenti. Sulla base dei milioni di contenuti presenti sulla piattaforma, possiamo fornire agli studenti risposte davvero significative e pertinenti. Ma non si tratta solo di risposte, l'assistente è in grado di guidare gli studenti attraverso le loro sfide quotidiane di studio, con piani di studio personalizzati, quiz o contenuti nella chat e una personalizzazione al 100% basata sulle competenze e sugli sviluppi degli studenti.
È possibile scaricare l'applicazione dal Google Play Store e dall'Apple App Store.
Sì, hai accesso completamente gratuito a tutti i contenuti nell'app e puoi chattare o seguire i Creatori in qualsiasi momento. Sbloccherai nuove funzioni crescendo il tuo numero di follower. Inoltre, offriamo Knowunity Premium, che consente di studiare senza alcun limite!!
145
Strumenti Intelligenti NUOVO
Trasforma questi appunti in: ✓ 50+ Domande di Pratica ✓ Flashcard Interattive ✓ Simulazione d'esame completa ✓ Schemi per Saggi
APPUNTI SULLE LEGGI DELLA DINAMICA E LE SUE CARATTERISTICHE
il piano inclinato
primo, secondo e terzo rpincipio della dinamica, forza centripeta e centrifuga.
Equilibrio dei corpi, piano inclinato, attrito, forza peso, forza elastica, le forze, tensione di una fune, reazioni vincolari
formule su meccanica (vari moti), forze, lavoro, energia, leggi di Newton
appunti
App Store
Google Play
L'applicazione è molto facile da usare e ben progettata. Finora ho trovato tutto quello che cercavo e ho potuto imparare molto dalle presentazioni! Utilizzerò sicuramente l'app per i compiti in classe! È molto utile anche come fonte di ispirazione.
Stefano S
utente iOS
Questa applicazione è davvero grande! Ci sono tantissimi appunti e aiuti con lo studio [...]. La mia materia problematica, per esempio, è il francese e l'app ha così tante opzioni per aiutarmi. Grazie a questa app ho migliorato il mio francese. La consiglio a tutti.
Samantha Klich
utente Android
Wow, sono davvero stupita. Ho appena provato l'app perché l'ho vista pubblicizzata molte volte e sono rimasta assolutamente sbalordita. Questa app è L'AIUTO che cercate per la scuola e soprattutto offre tantissime cose, come allenamenti e schede, che a me personalmente sono state MOLTO utili.
Anna
utente iOS
È bellissima questa app, la adoro. È utilissima per lo studio e mi aiuta molto, anzi moltissimo, ma soprattutto mi aiutano molto i quiz, per memorizzare anche quello che non sapevo
Anastasia
utente Android
Fantastica per qualsiasi materia avere gli appunti anche di altre persone è molto utile perchè posso confrontarmi e vedere come migliorarmi. con i quiz riesco ad apprendere al meglio.
Francesca
utente Android
moooolto utile,gli appunti sono belli e funzionanti,schoolGPT da dei consigli formidabili!!
Marianna
utente Android
L'applicazione è semplicemente fantastica! Tutto ciò che devo fare è inserire l'argomento nella barra di ricerca e ottengo la risposta molto velocemente. Non devo guardare 10 video di YouTube per capire qualcosa, quindi risparmio tempo. Consigliatissima!
Sudenaz Ocak
utente Android
A scuola andavo malissimo in matematica, ma grazie a questa applicazione ora vado meglio. Vi sono molto grato per aver creato questa app.
Greenlight Bonnie
utente Android
Knowunity è un applicazione fantastica,considerando che ha degli schemi veramente molto carini e sfiziosi e che ci sono dei quiz,oltre al fatto che questa cosa dell intelligenza artificiale "school gpt" è almeno per me molto utile, perché a differenza di Chatgpt ti da le spiegazioni, ti spiega ciò che non è chiaro! Posso studiare più velocemente tramite gli schemi e che posso pubblicare io stessa gli schemi è una funzione utilissima per gli altri studenti. Knowunity è PERFETTA
Aurora
utente Android
L’app funziona benissimo e puoi trovare qualsiasi tipo di informazione. Non ho l’abbonamento ma la parte gratuita è sufficiente per uno studio approfondito.
Martina
utente iOS
I quiz E LE flashcard SONO COSÌ UTILI E ADORO Knowunity IA. È ANCHE LETTERALMENTE COME CHATGPT MA PIÙ INTELLIGENTE!! MI HA AIUTATO ANCHE COI MIEI PROBLEMI DI MASCARA!! E ANCHE CON LE MIE VERE MATERIE! OVVIO 😍😁😲🤑💗✨🎀😮
Chiara
utente IOS
Questa app è una delle migliori, nient’altro da dire.
Andrea
utente iOS
L'applicazione è molto facile da usare e ben progettata. Finora ho trovato tutto quello che cercavo e ho potuto imparare molto dalle presentazioni! Utilizzerò sicuramente l'app per i compiti in classe! È molto utile anche come fonte di ispirazione.
Stefano S
utente iOS
Questa applicazione è davvero grande! Ci sono tantissimi appunti e aiuti con lo studio [...]. La mia materia problematica, per esempio, è il francese e l'app ha così tante opzioni per aiutarmi. Grazie a questa app ho migliorato il mio francese. La consiglio a tutti.
Samantha Klich
utente Android
Wow, sono davvero stupita. Ho appena provato l'app perché l'ho vista pubblicizzata molte volte e sono rimasta assolutamente sbalordita. Questa app è L'AIUTO che cercate per la scuola e soprattutto offre tantissime cose, come allenamenti e schede, che a me personalmente sono state MOLTO utili.
Anna
utente iOS
È bellissima questa app, la adoro. È utilissima per lo studio e mi aiuta molto, anzi moltissimo, ma soprattutto mi aiutano molto i quiz, per memorizzare anche quello che non sapevo
Anastasia
utente Android
Fantastica per qualsiasi materia avere gli appunti anche di altre persone è molto utile perchè posso confrontarmi e vedere come migliorarmi. con i quiz riesco ad apprendere al meglio.
Francesca
utente Android
moooolto utile,gli appunti sono belli e funzionanti,schoolGPT da dei consigli formidabili!!
Marianna
utente Android
L'applicazione è semplicemente fantastica! Tutto ciò che devo fare è inserire l'argomento nella barra di ricerca e ottengo la risposta molto velocemente. Non devo guardare 10 video di YouTube per capire qualcosa, quindi risparmio tempo. Consigliatissima!
Sudenaz Ocak
utente Android
A scuola andavo malissimo in matematica, ma grazie a questa applicazione ora vado meglio. Vi sono molto grato per aver creato questa app.
Greenlight Bonnie
utente Android
Knowunity è un applicazione fantastica,considerando che ha degli schemi veramente molto carini e sfiziosi e che ci sono dei quiz,oltre al fatto che questa cosa dell intelligenza artificiale "school gpt" è almeno per me molto utile, perché a differenza di Chatgpt ti da le spiegazioni, ti spiega ciò che non è chiaro! Posso studiare più velocemente tramite gli schemi e che posso pubblicare io stessa gli schemi è una funzione utilissima per gli altri studenti. Knowunity è PERFETTA
Aurora
utente Android
L’app funziona benissimo e puoi trovare qualsiasi tipo di informazione. Non ho l’abbonamento ma la parte gratuita è sufficiente per uno studio approfondito.
Martina
utente iOS
I quiz E LE flashcard SONO COSÌ UTILI E ADORO Knowunity IA. È ANCHE LETTERALMENTE COME CHATGPT MA PIÙ INTELLIGENTE!! MI HA AIUTATO ANCHE COI MIEI PROBLEMI DI MASCARA!! E ANCHE CON LE MIE VERE MATERIE! OVVIO 😍😁😲🤑💗✨🎀😮
Chiara
utente IOS
Questa app è una delle migliori, nient’altro da dire.
Andrea
utente iOS