Limits in Mathematics: A Comprehensive Guide
This document provides a... Mostra di più
Decadenza dell’impero romano
L'età moderna
La grande guerra e le sue conseguenze
L'italia e l'europa nel mondo
Il mondo dell’ottocento
Il medioevo
Dall'alto medioevo al basso medioevo
Verso un nuovo secolo
Le antiche civiltà
Il nazionalismo e la prima guerra mondiale
L’età dei totalitarismi
Il risorgimento e l’unità d’italia
Dalla guerra fredda alle svolte di fine novecento
La civiltà greca
La civiltà romana
Mostra tutti gli argomenti
Processo magmatico e rocce ignee
L’atmosfera
La genetica
I vulcani
Processo sedimentario e rocce sedimentarie
La terra: uno sguardo introduttivo
Apparato circolatorio e sistema linfatico
Il sistema solare e il sole
I sistemi di regolazione e gli organi di senso
Le acque oceaniche
La terra deformata: faglue, pieghe
Nell'universo
La dinamica delle placche
Le acque continentali
Storia geologica della terra e dell'italia
Mostra tutti gli argomenti
La ricerca dell'assoluto e il rapporto io-natura nell'idealismo tedesco
Il metodo fenomenologico come scienza rigorosa in e. husserl
L'illuminismo:
La negazione del sistema e le filosofie della crisi: schopenhauer, kierkegaard, nietzsche
Platone
I molteplici principi della realtà.
L'indagine sull'essere.
Filosofie della coscienza: libertà umana, analitica esistenziale e riflessioni sul tempo in heidegger e bergson
Aristotele.
Aspetti filosofici dell'umanesimo e del rinascimento
La società e la cultura in età ellenistica.
La rivoluzione scientifica e le sue dimensioni filosofico- antropologiche
Cenni sul pensiero medievale
Filosofia della storia e teoria del progresso dal positivismo a feuerbach
La ricerca del principio di tutte le cose.
Mostra tutti gli argomenti

196
0
arianna de caro
20/12/2025
Matematica
i limiti
5032
•
20 dic 2025
•
arianna de caro
@ariannadecaro
Limits in Mathematics: A Comprehensive Guide
This document provides a... Mostra di più





This page discusses the concept of infinite limits as x approaches a finite value. It introduces the notation and definition for both positive and negative infinite limits.
Definition: An infinite limit occurs when the function values grow without bound as x approaches a specific value.
The page presents the notation for infinite limits:
lim f(x) = +∞ or lim f(x) = -∞ x→x₀ x→x₀
Highlight: For an infinite limit, we show that for any large positive number M, there exists a δ > 0 such that f(x) > M whenever |x - x₀| < δ.
An example is provided to illustrate the verification of an infinite limit:
lim ² = +∞ x→1
Example: The verification process involves finding a suitable δ for any given M > 0, such that ² > M when |x-1| < δ.
The page also introduces the concept of vertical asymptotes, which are related to infinite limits.
Vocabulary: Limite infinito per x che tende a un valore finito describes the situation where a function approaches infinity as x approaches a finite value, often resulting in a vertical asymptote.

This page covers the behavior of functions as x approaches infinity, discussing both finite and infinite limits in this context.
For finite limits as x approaches infinity, the notation is:
lim f(x) = l x→∞
Definition: A function has a finite limit at infinity if its values approach a specific number l as x grows arbitrarily large.
Highlight: When a function has a finite limit at infinity, the line y = l becomes a horizontal asymptote of the function.
The page then moves on to infinite limits as x approaches infinity, using the notation:
lim f(x) = +∞ or lim f(x) = -∞ x→∞ x→∞
Vocabulary: Limite che tende a infinito esercizi svolti refers to solved exercises involving limits as x approaches infinity, which are crucial for understanding this concept.
The page provides examples of different scenarios, including limits approaching positive infinity, negative infinity, and cases where the limit depends on the direction of approach .
Example: lim √(x) = +∞ as x→+∞, demonstrating that the square root function grows without bound as x increases. x→+∞

The final page discusses one-sided limits and the conditions for the existence of a limit. It introduces the concepts of right-hand and left-hand limits.
Definition: A right-hand limit is the limit of a function as x approaches a value from the right, while a left-hand limit approaches from the left.
The notation for one-sided limits is:
lim+ f(x) x→x₀
lim- f(x) x→x₀
Highlight: For a limit to exist, both the left-hand and right-hand limits must exist and be equal.
The page explains that if the one-sided limits are not equal, mathematicians say that the limit does not exist.
Example: An example is provided where lim+ f(x) = 4 as x→1, but lim- f(x) does not exist as x→1, resulting in the non-existence of the overall limit.
Vocabulary: Definizione rigorosa di limite encompasses the formal definition of limits, including the concepts of one-sided limits and limit existence.
This page emphasizes the importance of considering both sides when evaluating limits, especially for functions with discontinuities or different behaviors on either side of a point.

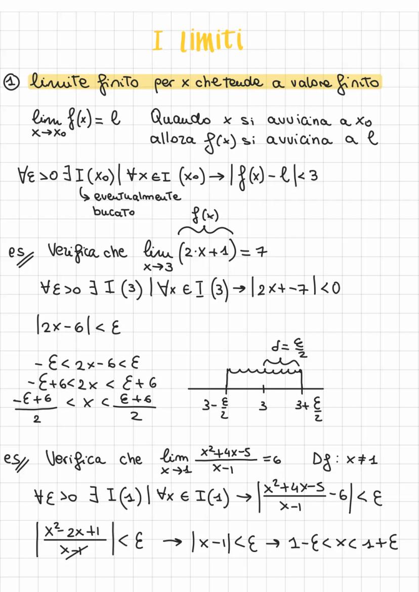
This page introduces the concept of limits and focuses on finite limits as x approaches a finite value. It provides a formal definition and examples of limit verification.
Definition: A limit is the value that a function approaches as the input (usually x) gets closer to a specific value.
The page explains the notation for limits:
lim f(x) = l x→x₀
This means that as x approaches x₀, f(x) approaches l.
Highlight: The formal definition of a limit involves the use of epsilon (ε) and delta (δ) to describe the behavior of the function near the limit point.
An example is provided to verify the limit:
lim = 7 x→3
Example: The verification process involves showing that for any ε > 0, there exists a δ > 0 such that |f(x) - l| < ε whenever |x - x₀| < δ.
The page concludes with another example of limit verification, demonstrating the step-by-step process for a more complex function.
Vocabulary: Limite di una funzione definizione refers to the formal definition of a limit of a function, which is crucial for understanding the concept rigorously.
Il nostro assistente AI è costruito specificamente per le esigenze degli studenti. Sulla base dei milioni di contenuti presenti sulla piattaforma, possiamo fornire agli studenti risposte davvero significative e pertinenti. Ma non si tratta solo di risposte, l'assistente è in grado di guidare gli studenti attraverso le loro sfide quotidiane di studio, con piani di studio personalizzati, quiz o contenuti nella chat e una personalizzazione al 100% basata sulle competenze e sugli sviluppi degli studenti.
È possibile scaricare l'applicazione dal Google Play Store e dall'Apple App Store.
Sì, hai accesso completamente gratuito a tutti i contenuti nell'app e puoi chattare o seguire i Creatori in qualsiasi momento. Sbloccherai nuove funzioni crescendo il tuo numero di follower. Inoltre, offriamo Knowunity Premium, che consente di studiare senza alcun limite!!
App Store
Google Play
L'applicazione è molto facile da usare e ben progettata. Finora ho trovato tutto quello che cercavo e ho potuto imparare molto dalle presentazioni! Utilizzerò sicuramente l'app per i compiti in classe! È molto utile anche come fonte di ispirazione.
Stefano S
utente iOS
Questa applicazione è davvero grande! Ci sono tantissimi appunti e aiuti con lo studio [...]. La mia materia problematica, per esempio, è il francese e l'app ha così tante opzioni per aiutarmi. Grazie a questa app ho migliorato il mio francese. La consiglio a tutti.
Samantha Klich
utente Android
Wow, sono davvero stupita. Ho appena provato l'app perché l'ho vista pubblicizzata molte volte e sono rimasta assolutamente sbalordita. Questa app è L'AIUTO che cercate per la scuola e soprattutto offre tantissime cose, come allenamenti e schede, che a me personalmente sono state MOLTO utili.
Anna
utente iOS
È bellissima questa app, la adoro. È utilissima per lo studio e mi aiuta molto, anzi moltissimo, ma soprattutto mi aiutano molto i quiz, per memorizzare anche quello che non sapevo
Anastasia
utente Android
Fantastica per qualsiasi materia avere gli appunti anche di altre persone è molto utile perchè posso confrontarmi e vedere come migliorarmi. con i quiz riesco ad apprendere al meglio.
Francesca
utente Android
moooolto utile,gli appunti sono belli e funzionanti,schoolGPT da dei consigli formidabili!!
Marianna
utente Android
L'applicazione è semplicemente fantastica! Tutto ciò che devo fare è inserire l'argomento nella barra di ricerca e ottengo la risposta molto velocemente. Non devo guardare 10 video di YouTube per capire qualcosa, quindi risparmio tempo. Consigliatissima!
Sudenaz Ocak
utente Android
A scuola andavo malissimo in matematica, ma grazie a questa applicazione ora vado meglio. Vi sono molto grato per aver creato questa app.
Greenlight Bonnie
utente Android
Knowunity è un applicazione fantastica,considerando che ha degli schemi veramente molto carini e sfiziosi e che ci sono dei quiz,oltre al fatto che questa cosa dell intelligenza artificiale "school gpt" è almeno per me molto utile, perché a differenza di Chatgpt ti da le spiegazioni, ti spiega ciò che non è chiaro! Posso studiare più velocemente tramite gli schemi e che posso pubblicare io stessa gli schemi è una funzione utilissima per gli altri studenti. Knowunity è PERFETTA
Aurora
utente Android
L’app funziona benissimo e puoi trovare qualsiasi tipo di informazione. Non ho l’abbonamento ma la parte gratuita è sufficiente per uno studio approfondito.
Martina
utente iOS
in questi ultimi mesi di scuola dove il tempo è ormai poco, mi sta aiutando molto perché piuttosto che farmi io gli schemi su quello che leggo sul libro guardo questi già fatti e li uso come ripasso piuttosto che rileggermi tutto il libro
Chiara
utente IOS
Questa app è una delle migliori, nient’altro da dire.
Andrea
utente iOS
L'applicazione è molto facile da usare e ben progettata. Finora ho trovato tutto quello che cercavo e ho potuto imparare molto dalle presentazioni! Utilizzerò sicuramente l'app per i compiti in classe! È molto utile anche come fonte di ispirazione.
Stefano S
utente iOS
Questa applicazione è davvero grande! Ci sono tantissimi appunti e aiuti con lo studio [...]. La mia materia problematica, per esempio, è il francese e l'app ha così tante opzioni per aiutarmi. Grazie a questa app ho migliorato il mio francese. La consiglio a tutti.
Samantha Klich
utente Android
Wow, sono davvero stupita. Ho appena provato l'app perché l'ho vista pubblicizzata molte volte e sono rimasta assolutamente sbalordita. Questa app è L'AIUTO che cercate per la scuola e soprattutto offre tantissime cose, come allenamenti e schede, che a me personalmente sono state MOLTO utili.
Anna
utente iOS
È bellissima questa app, la adoro. È utilissima per lo studio e mi aiuta molto, anzi moltissimo, ma soprattutto mi aiutano molto i quiz, per memorizzare anche quello che non sapevo
Anastasia
utente Android
Fantastica per qualsiasi materia avere gli appunti anche di altre persone è molto utile perchè posso confrontarmi e vedere come migliorarmi. con i quiz riesco ad apprendere al meglio.
Francesca
utente Android
moooolto utile,gli appunti sono belli e funzionanti,schoolGPT da dei consigli formidabili!!
Marianna
utente Android
L'applicazione è semplicemente fantastica! Tutto ciò che devo fare è inserire l'argomento nella barra di ricerca e ottengo la risposta molto velocemente. Non devo guardare 10 video di YouTube per capire qualcosa, quindi risparmio tempo. Consigliatissima!
Sudenaz Ocak
utente Android
A scuola andavo malissimo in matematica, ma grazie a questa applicazione ora vado meglio. Vi sono molto grato per aver creato questa app.
Greenlight Bonnie
utente Android
Knowunity è un applicazione fantastica,considerando che ha degli schemi veramente molto carini e sfiziosi e che ci sono dei quiz,oltre al fatto che questa cosa dell intelligenza artificiale "school gpt" è almeno per me molto utile, perché a differenza di Chatgpt ti da le spiegazioni, ti spiega ciò che non è chiaro! Posso studiare più velocemente tramite gli schemi e che posso pubblicare io stessa gli schemi è una funzione utilissima per gli altri studenti. Knowunity è PERFETTA
Aurora
utente Android
L’app funziona benissimo e puoi trovare qualsiasi tipo di informazione. Non ho l’abbonamento ma la parte gratuita è sufficiente per uno studio approfondito.
Martina
utente iOS
in questi ultimi mesi di scuola dove il tempo è ormai poco, mi sta aiutando molto perché piuttosto che farmi io gli schemi su quello che leggo sul libro guardo questi già fatti e li uso come ripasso piuttosto che rileggermi tutto il libro
Chiara
utente IOS
Questa app è una delle migliori, nient’altro da dire.
Andrea
utente iOS
arianna de caro
@ariannadecaro
Limits in Mathematics: A Comprehensive Guide
This document provides a detailed explanation of mathematical limits, covering key concepts and definitions. It explores various types of limits, including finite and infinite limits, and their behavior as x approaches different values.

Accesso a tutti i documenti
Migliora i tuoi voti
Unisciti a milioni di studenti
Iscrivendosi si accettano i Termini di servizio e la Informativa sulla privacy.
This page discusses the concept of infinite limits as x approaches a finite value. It introduces the notation and definition for both positive and negative infinite limits.
Definition: An infinite limit occurs when the function values grow without bound as x approaches a specific value.
The page presents the notation for infinite limits:
lim f(x) = +∞ or lim f(x) = -∞ x→x₀ x→x₀
Highlight: For an infinite limit, we show that for any large positive number M, there exists a δ > 0 such that f(x) > M whenever |x - x₀| < δ.
An example is provided to illustrate the verification of an infinite limit:
lim ² = +∞ x→1
Example: The verification process involves finding a suitable δ for any given M > 0, such that ² > M when |x-1| < δ.
The page also introduces the concept of vertical asymptotes, which are related to infinite limits.
Vocabulary: Limite infinito per x che tende a un valore finito describes the situation where a function approaches infinity as x approaches a finite value, often resulting in a vertical asymptote.

Accesso a tutti i documenti
Migliora i tuoi voti
Unisciti a milioni di studenti
Iscrivendosi si accettano i Termini di servizio e la Informativa sulla privacy.
This page covers the behavior of functions as x approaches infinity, discussing both finite and infinite limits in this context.
For finite limits as x approaches infinity, the notation is:
lim f(x) = l x→∞
Definition: A function has a finite limit at infinity if its values approach a specific number l as x grows arbitrarily large.
Highlight: When a function has a finite limit at infinity, the line y = l becomes a horizontal asymptote of the function.
The page then moves on to infinite limits as x approaches infinity, using the notation:
lim f(x) = +∞ or lim f(x) = -∞ x→∞ x→∞
Vocabulary: Limite che tende a infinito esercizi svolti refers to solved exercises involving limits as x approaches infinity, which are crucial for understanding this concept.
The page provides examples of different scenarios, including limits approaching positive infinity, negative infinity, and cases where the limit depends on the direction of approach .
Example: lim √(x) = +∞ as x→+∞, demonstrating that the square root function grows without bound as x increases. x→+∞

Accesso a tutti i documenti
Migliora i tuoi voti
Unisciti a milioni di studenti
Iscrivendosi si accettano i Termini di servizio e la Informativa sulla privacy.
The final page discusses one-sided limits and the conditions for the existence of a limit. It introduces the concepts of right-hand and left-hand limits.
Definition: A right-hand limit is the limit of a function as x approaches a value from the right, while a left-hand limit approaches from the left.
The notation for one-sided limits is:
lim+ f(x) x→x₀
lim- f(x) x→x₀
Highlight: For a limit to exist, both the left-hand and right-hand limits must exist and be equal.
The page explains that if the one-sided limits are not equal, mathematicians say that the limit does not exist.
Example: An example is provided where lim+ f(x) = 4 as x→1, but lim- f(x) does not exist as x→1, resulting in the non-existence of the overall limit.
Vocabulary: Definizione rigorosa di limite encompasses the formal definition of limits, including the concepts of one-sided limits and limit existence.
This page emphasizes the importance of considering both sides when evaluating limits, especially for functions with discontinuities or different behaviors on either side of a point.

Accesso a tutti i documenti
Migliora i tuoi voti
Unisciti a milioni di studenti
Iscrivendosi si accettano i Termini di servizio e la Informativa sulla privacy.
This page introduces the concept of limits and focuses on finite limits as x approaches a finite value. It provides a formal definition and examples of limit verification.
Definition: A limit is the value that a function approaches as the input (usually x) gets closer to a specific value.
The page explains the notation for limits:
lim f(x) = l x→x₀
This means that as x approaches x₀, f(x) approaches l.
Highlight: The formal definition of a limit involves the use of epsilon (ε) and delta (δ) to describe the behavior of the function near the limit point.
An example is provided to verify the limit:
lim = 7 x→3
Example: The verification process involves showing that for any ε > 0, there exists a δ > 0 such that |f(x) - l| < ε whenever |x - x₀| < δ.
The page concludes with another example of limit verification, demonstrating the step-by-step process for a more complex function.
Vocabulary: Limite di una funzione definizione refers to the formal definition of a limit of a function, which is crucial for understanding the concept rigorously.
Il nostro assistente AI è costruito specificamente per le esigenze degli studenti. Sulla base dei milioni di contenuti presenti sulla piattaforma, possiamo fornire agli studenti risposte davvero significative e pertinenti. Ma non si tratta solo di risposte, l'assistente è in grado di guidare gli studenti attraverso le loro sfide quotidiane di studio, con piani di studio personalizzati, quiz o contenuti nella chat e una personalizzazione al 100% basata sulle competenze e sugli sviluppi degli studenti.
È possibile scaricare l'applicazione dal Google Play Store e dall'Apple App Store.
Sì, hai accesso completamente gratuito a tutti i contenuti nell'app e puoi chattare o seguire i Creatori in qualsiasi momento. Sbloccherai nuove funzioni crescendo il tuo numero di follower. Inoltre, offriamo Knowunity Premium, che consente di studiare senza alcun limite!!
196
Strumenti Intelligenti NUOVO
Trasforma questi appunti in: ✓ 50+ Domande di Pratica ✓ Flashcard Interattive ✓ Simulazione Completa d'Esame ✓ Schemi per Saggi
riassunto completo
Appunti sui limiti, gli intorni e gli estremi (presi su goodnotes)
Analisi
Asintoti
limiti notevoli, forme indeterminate
limiti indeterminati
App Store
Google Play
L'applicazione è molto facile da usare e ben progettata. Finora ho trovato tutto quello che cercavo e ho potuto imparare molto dalle presentazioni! Utilizzerò sicuramente l'app per i compiti in classe! È molto utile anche come fonte di ispirazione.
Stefano S
utente iOS
Questa applicazione è davvero grande! Ci sono tantissimi appunti e aiuti con lo studio [...]. La mia materia problematica, per esempio, è il francese e l'app ha così tante opzioni per aiutarmi. Grazie a questa app ho migliorato il mio francese. La consiglio a tutti.
Samantha Klich
utente Android
Wow, sono davvero stupita. Ho appena provato l'app perché l'ho vista pubblicizzata molte volte e sono rimasta assolutamente sbalordita. Questa app è L'AIUTO che cercate per la scuola e soprattutto offre tantissime cose, come allenamenti e schede, che a me personalmente sono state MOLTO utili.
Anna
utente iOS
È bellissima questa app, la adoro. È utilissima per lo studio e mi aiuta molto, anzi moltissimo, ma soprattutto mi aiutano molto i quiz, per memorizzare anche quello che non sapevo
Anastasia
utente Android
Fantastica per qualsiasi materia avere gli appunti anche di altre persone è molto utile perchè posso confrontarmi e vedere come migliorarmi. con i quiz riesco ad apprendere al meglio.
Francesca
utente Android
moooolto utile,gli appunti sono belli e funzionanti,schoolGPT da dei consigli formidabili!!
Marianna
utente Android
L'applicazione è semplicemente fantastica! Tutto ciò che devo fare è inserire l'argomento nella barra di ricerca e ottengo la risposta molto velocemente. Non devo guardare 10 video di YouTube per capire qualcosa, quindi risparmio tempo. Consigliatissima!
Sudenaz Ocak
utente Android
A scuola andavo malissimo in matematica, ma grazie a questa applicazione ora vado meglio. Vi sono molto grato per aver creato questa app.
Greenlight Bonnie
utente Android
Knowunity è un applicazione fantastica,considerando che ha degli schemi veramente molto carini e sfiziosi e che ci sono dei quiz,oltre al fatto che questa cosa dell intelligenza artificiale "school gpt" è almeno per me molto utile, perché a differenza di Chatgpt ti da le spiegazioni, ti spiega ciò che non è chiaro! Posso studiare più velocemente tramite gli schemi e che posso pubblicare io stessa gli schemi è una funzione utilissima per gli altri studenti. Knowunity è PERFETTA
Aurora
utente Android
L’app funziona benissimo e puoi trovare qualsiasi tipo di informazione. Non ho l’abbonamento ma la parte gratuita è sufficiente per uno studio approfondito.
Martina
utente iOS
in questi ultimi mesi di scuola dove il tempo è ormai poco, mi sta aiutando molto perché piuttosto che farmi io gli schemi su quello che leggo sul libro guardo questi già fatti e li uso come ripasso piuttosto che rileggermi tutto il libro
Chiara
utente IOS
Questa app è una delle migliori, nient’altro da dire.
Andrea
utente iOS
L'applicazione è molto facile da usare e ben progettata. Finora ho trovato tutto quello che cercavo e ho potuto imparare molto dalle presentazioni! Utilizzerò sicuramente l'app per i compiti in classe! È molto utile anche come fonte di ispirazione.
Stefano S
utente iOS
Questa applicazione è davvero grande! Ci sono tantissimi appunti e aiuti con lo studio [...]. La mia materia problematica, per esempio, è il francese e l'app ha così tante opzioni per aiutarmi. Grazie a questa app ho migliorato il mio francese. La consiglio a tutti.
Samantha Klich
utente Android
Wow, sono davvero stupita. Ho appena provato l'app perché l'ho vista pubblicizzata molte volte e sono rimasta assolutamente sbalordita. Questa app è L'AIUTO che cercate per la scuola e soprattutto offre tantissime cose, come allenamenti e schede, che a me personalmente sono state MOLTO utili.
Anna
utente iOS
È bellissima questa app, la adoro. È utilissima per lo studio e mi aiuta molto, anzi moltissimo, ma soprattutto mi aiutano molto i quiz, per memorizzare anche quello che non sapevo
Anastasia
utente Android
Fantastica per qualsiasi materia avere gli appunti anche di altre persone è molto utile perchè posso confrontarmi e vedere come migliorarmi. con i quiz riesco ad apprendere al meglio.
Francesca
utente Android
moooolto utile,gli appunti sono belli e funzionanti,schoolGPT da dei consigli formidabili!!
Marianna
utente Android
L'applicazione è semplicemente fantastica! Tutto ciò che devo fare è inserire l'argomento nella barra di ricerca e ottengo la risposta molto velocemente. Non devo guardare 10 video di YouTube per capire qualcosa, quindi risparmio tempo. Consigliatissima!
Sudenaz Ocak
utente Android
A scuola andavo malissimo in matematica, ma grazie a questa applicazione ora vado meglio. Vi sono molto grato per aver creato questa app.
Greenlight Bonnie
utente Android
Knowunity è un applicazione fantastica,considerando che ha degli schemi veramente molto carini e sfiziosi e che ci sono dei quiz,oltre al fatto che questa cosa dell intelligenza artificiale "school gpt" è almeno per me molto utile, perché a differenza di Chatgpt ti da le spiegazioni, ti spiega ciò che non è chiaro! Posso studiare più velocemente tramite gli schemi e che posso pubblicare io stessa gli schemi è una funzione utilissima per gli altri studenti. Knowunity è PERFETTA
Aurora
utente Android
L’app funziona benissimo e puoi trovare qualsiasi tipo di informazione. Non ho l’abbonamento ma la parte gratuita è sufficiente per uno studio approfondito.
Martina
utente iOS
in questi ultimi mesi di scuola dove il tempo è ormai poco, mi sta aiutando molto perché piuttosto che farmi io gli schemi su quello che leggo sul libro guardo questi già fatti e li uso come ripasso piuttosto che rileggermi tutto il libro
Chiara
utente IOS
Questa app è una delle migliori, nient’altro da dire.
Andrea
utente iOS