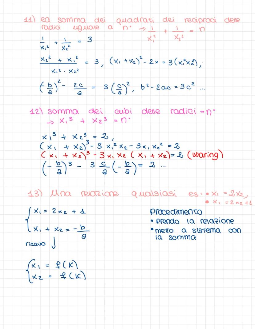
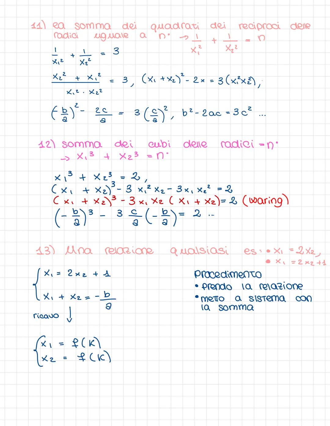
Equazioni di 2 grado: monomia, pura ,spuria, completa. Equazioni di 2 grado letterali e parametriche, scomposizione del trinomio, regola di cartesio, relazioni tra soluzionine coefficienti, la parabola, parabole in base ai coefficienti
Iscriviti per mostrare il contenutoÈ gratis!
Accesso a tutti i documenti
Migliora i tuoi voti
Unisciti a milioni di studenti



















