Il moto uniformemente acceleratoรจ uno dei concetti fondamentali della... Mostra di piรน
Iscriviti per mostrare il contenutoร gratis!
Accesso a tutti i documenti
Migliora i tuoi voti
Unisciti a milioni di studenti
Knowunity AI
Materie
Triangle Congruence and Similarity Theorems
Triangle Properties and Classification
Linear Equations and Graphs
Geometric Angle Relationships
Trigonometric Functions and Identities
Equation Solving Techniques
Circle Geometry Fundamentals
Division Operations and Methods
Basic Differentiation Rules
Exponent and Logarithm Properties
Mostra tutti gli argomenti
Human Organ Systems
Reproductive Cell Cycles
Biological Sciences Subdisciplines
Cellular Energy Metabolism
Autotrophic Energy Processes
Inheritance Patterns and Principles
Biomolecular Structure and Organization
Cell Cycle and Division Mechanics
Cellular Organization and Development
Biological Structural Organization
Mostra tutti gli argomenti
Chemical Sciences and Applications
Atomic Structure and Composition
Molecular Electron Structure Representation
Atomic Electron Behavior
Matter Properties and Water
Mole Concept and Calculations
Gas Laws and Behavior
Periodic Table Organization
Chemical Thermodynamics Fundamentals
Chemical Bond Types and Properties
Mostra tutti gli argomenti
European Renaissance and Enlightenment
European Cultural Movements 800-1920
American Revolution Era 1763-1797
American Civil War 1861-1865
Global Imperial Systems
Mongol and Chinese Dynasties
U.S. Presidents and World Leaders
Historical Sources and Documentation
World Wars Era and Impact
World Religious Systems
Mostra tutti gli argomenti
Classic and Contemporary Novels
Literary Character Analysis
Rhetorical Theory and Practice
Classic Literary Narratives
Reading Analysis and Interpretation
Narrative Structure and Techniques
English Language Components
Influential English-Language Authors
Basic Sentence Structure
Narrative Voice and Perspective
Mostra tutti gli argomenti
784
โข
Aggiornato Apr 12, 2026
โข
pattyโค๏ธโ๐ฅ
@_iampatty
Il moto uniformemente acceleratoรจ uno dei concetti fondamentali della... Mostra di piรน

Tutto parte da una formula che giร conosci: la velocitร media. Quando un oggetto si muove da una posizione iniziale a una posizione finale in un certo tempo, la velocitร media รจ semplicemente .
Da questa definizione possiamo ricavare una relazione super utile. Con alcuni passaggi matematici arriviamo alla relazione spazio-tempo: . Questa formula ci dice dove si trova un oggetto in un certo istante!
๐ก Ricorda: Nel moto uniformemente accelerato, la velocitร media si calcola come la media aritmetica tra velocitร iniziale e finale:
La chiave รจ capire che nel moto uniformemente accelerato la velocitร cambia in modo costante nel tempo, seguendo la legge .

Ora arriva il bello! Sostituiamo la formula della velocitร media nella nostra relazione spazio-tempo. Otteniamo: .
Ma possiamo fare di meglio. Siccome nel moto uniformemente accelerato sappiamo che , sostituiamo anche questa. Dopo alcuni calcoli matematici (che sembrano complicati ma sono solo algebra!) arriviamo alla legge oraria del moto uniformemente accelerato.
La formula finale รจ: . Questa รจ una delle equazioni piรน importanti della cinematica!
โก Trucco per l'esame: Questa formula ha tre termini: posizione iniziale, contributo della velocitร iniziale e contributo dell'accelerazione. Ciascuno ha un significato fisico preciso!
Il nostro assistente AI รจ costruito specificamente per le esigenze degli studenti. Sulla base dei milioni di contenuti presenti sulla piattaforma, possiamo fornire agli studenti risposte davvero significative e pertinenti. Ma non si tratta solo di risposte, l'assistente รจ in grado di guidare gli studenti attraverso le loro sfide quotidiane di studio, con piani di studio personalizzati, quiz o contenuti nella chat e una personalizzazione al 100% basata sulle competenze e sugli sviluppi degli studenti.
ร possibile scaricare l'applicazione dal Google Play Store e dall'Apple App Store.
Sรฌ, hai accesso completamente gratuito a tutti i contenuti nell'app e puoi chattare o seguire i Creatori in qualsiasi momento. Sbloccherai nuove funzioni crescendo il tuo numero di follower. Inoltre, offriamo Knowunity Premium, che consente di studiare senza alcun limite!!
App Store
Google Play
L'applicazione รจ molto facile da usare e ben progettata. Finora ho trovato tutto quello che cercavo e ho potuto imparare molto dalle presentazioni! Utilizzerรฒ sicuramente l'app per i compiti in classe! ร molto utile anche come fonte di ispirazione.
Stefano S
utente iOS
Questa applicazione รจ davvero grande! Ci sono tantissimi appunti e aiuti con lo studio [...]. La mia materia problematica, per esempio, รจ il francese e l'app ha cosรฌ tante opzioni per aiutarmi. Grazie a questa app ho migliorato il mio francese. La consiglio a tutti.
Samantha Klich
utente Android
Wow, sono davvero stupita. Ho appena provato l'app perchรฉ l'ho vista pubblicizzata molte volte e sono rimasta assolutamente sbalordita. Questa app รจ L'AIUTO che cercate per la scuola e soprattutto offre tantissime cose, come allenamenti e schede, che a me personalmente sono state MOLTO utili.
Anna
utente iOS
ร bellissima questa app, la adoro. ร utilissima per lo studio e mi aiuta molto, anzi moltissimo, ma soprattutto mi aiutano molto i quiz, per memorizzare anche quello che non sapevo
Anastasia
utente Android
Fantastica per qualsiasi materia avere gli appunti anche di altre persone รจ molto utile perchรจ posso confrontarmi e vedere come migliorarmi. con i quiz riesco ad apprendere al meglio.
Francesca
utente Android
moooolto utile,gli appunti sono belli e funzionanti,schoolGPT da dei consigli formidabili!!
Marianna
utente Android
L'applicazione รจ semplicemente fantastica! Tutto ciรฒ che devo fare รจ inserire l'argomento nella barra di ricerca e ottengo la risposta molto velocemente. Non devo guardare 10 video di YouTube per capire qualcosa, quindi risparmio tempo. Consigliatissima!
Sudenaz Ocak
utente Android
A scuola andavo malissimo in matematica, ma grazie a questa applicazione ora vado meglio. Vi sono molto grato per aver creato questa app.
Greenlight Bonnie
utente Android
Knowunity รจ un applicazione fantastica,considerando che ha degli schemi veramente molto carini e sfiziosi e che ci sono dei quiz,oltre al fatto che questa cosa dell intelligenza artificiale "school gpt" รจ almeno per me molto utile, perchรฉ a differenza di Chatgpt ti da le spiegazioni, ti spiega ciรฒ che non รจ chiaro! Posso studiare piรน velocemente tramite gli schemi e che posso pubblicare io stessa gli schemi รจ una funzione utilissima per gli altri studenti. Knowunity รจ PERFETTA
Aurora
utente Android
Lโapp funziona benissimo e puoi trovare qualsiasi tipo di informazione. Non ho lโabbonamento ma la parte gratuita รจ sufficiente per uno studio approfondito.
Martina
utente iOS
I quiz E LE flashcard SONO COSร UTILI E ADORO Knowunity IA. ร ANCHE LETTERALMENTE COME CHATGPT MA PIร INTELLIGENTE!! MI HA AIUTATO ANCHE COI MIEI PROBLEMI DI MASCARA!! E ANCHE CON LE MIE VERE MATERIE! OVVIO ๐๐๐ฒ๐ค๐โจ๐๐ฎ
Chiara
utente IOS
Questa app รจ una delle migliori, nientโaltro da dire.
Andrea
utente iOS
L'applicazione รจ molto facile da usare e ben progettata. Finora ho trovato tutto quello che cercavo e ho potuto imparare molto dalle presentazioni! Utilizzerรฒ sicuramente l'app per i compiti in classe! ร molto utile anche come fonte di ispirazione.
Stefano S
utente iOS
Questa applicazione รจ davvero grande! Ci sono tantissimi appunti e aiuti con lo studio [...]. La mia materia problematica, per esempio, รจ il francese e l'app ha cosรฌ tante opzioni per aiutarmi. Grazie a questa app ho migliorato il mio francese. La consiglio a tutti.
Samantha Klich
utente Android
Wow, sono davvero stupita. Ho appena provato l'app perchรฉ l'ho vista pubblicizzata molte volte e sono rimasta assolutamente sbalordita. Questa app รจ L'AIUTO che cercate per la scuola e soprattutto offre tantissime cose, come allenamenti e schede, che a me personalmente sono state MOLTO utili.
Anna
utente iOS
ร bellissima questa app, la adoro. ร utilissima per lo studio e mi aiuta molto, anzi moltissimo, ma soprattutto mi aiutano molto i quiz, per memorizzare anche quello che non sapevo
Anastasia
utente Android
Fantastica per qualsiasi materia avere gli appunti anche di altre persone รจ molto utile perchรจ posso confrontarmi e vedere come migliorarmi. con i quiz riesco ad apprendere al meglio.
Francesca
utente Android
moooolto utile,gli appunti sono belli e funzionanti,schoolGPT da dei consigli formidabili!!
Marianna
utente Android
L'applicazione รจ semplicemente fantastica! Tutto ciรฒ che devo fare รจ inserire l'argomento nella barra di ricerca e ottengo la risposta molto velocemente. Non devo guardare 10 video di YouTube per capire qualcosa, quindi risparmio tempo. Consigliatissima!
Sudenaz Ocak
utente Android
A scuola andavo malissimo in matematica, ma grazie a questa applicazione ora vado meglio. Vi sono molto grato per aver creato questa app.
Greenlight Bonnie
utente Android
Knowunity รจ un applicazione fantastica,considerando che ha degli schemi veramente molto carini e sfiziosi e che ci sono dei quiz,oltre al fatto che questa cosa dell intelligenza artificiale "school gpt" รจ almeno per me molto utile, perchรฉ a differenza di Chatgpt ti da le spiegazioni, ti spiega ciรฒ che non รจ chiaro! Posso studiare piรน velocemente tramite gli schemi e che posso pubblicare io stessa gli schemi รจ una funzione utilissima per gli altri studenti. Knowunity รจ PERFETTA
Aurora
utente Android
Lโapp funziona benissimo e puoi trovare qualsiasi tipo di informazione. Non ho lโabbonamento ma la parte gratuita รจ sufficiente per uno studio approfondito.
Martina
utente iOS
I quiz E LE flashcard SONO COSร UTILI E ADORO Knowunity IA. ร ANCHE LETTERALMENTE COME CHATGPT MA PIร INTELLIGENTE!! MI HA AIUTATO ANCHE COI MIEI PROBLEMI DI MASCARA!! E ANCHE CON LE MIE VERE MATERIE! OVVIO ๐๐๐ฒ๐ค๐โจ๐๐ฎ
Chiara
utente IOS
Questa app รจ una delle migliori, nientโaltro da dire.
Andrea
utente iOS
pattyโค๏ธโ๐ฅ
@_iampatty
Il moto uniformemente acceleratoรจ uno dei concetti fondamentali della fisica che incontrerai spesso nei tuoi studi. Oggi scopriamo come ricavare la famosa legge oraria che ci permette di calcolare la posizione di un oggetto in qualsiasi momento quando si... Mostra di piรน

Accesso a tutti i documenti
Migliora i tuoi voti
Unisciti a milioni di studenti
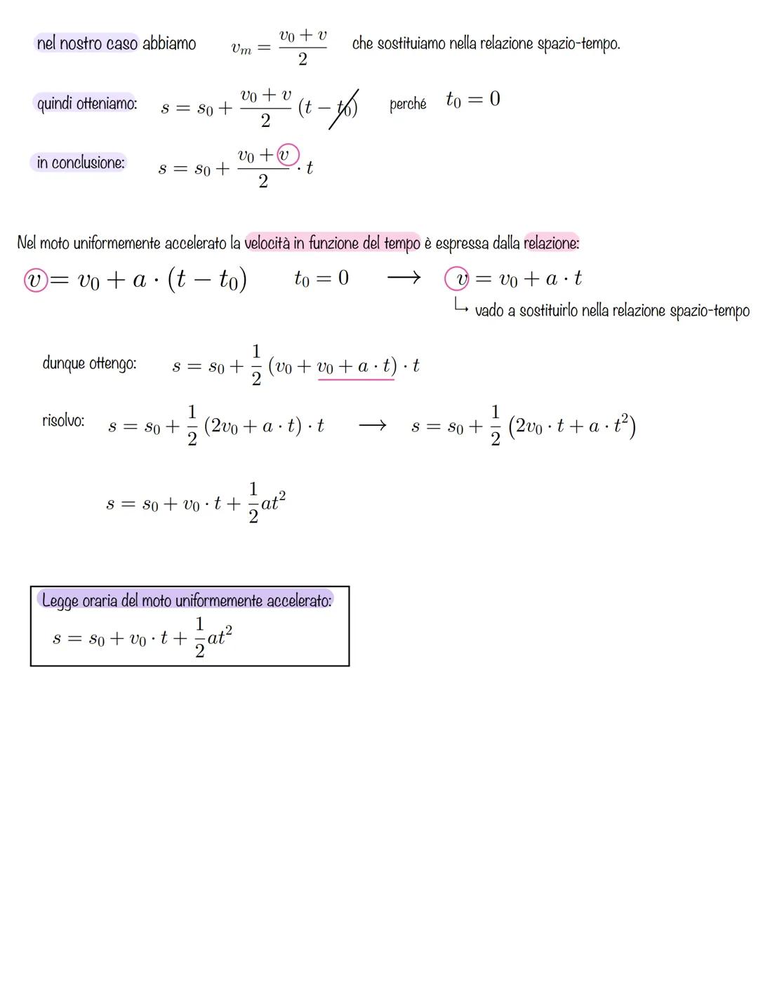
Tutto parte da una formula che giร conosci: la velocitร media. Quando un oggetto si muove da una posizione iniziale a una posizione finale in un certo tempo, la velocitร media รจ semplicemente .
Da questa definizione possiamo ricavare una relazione super utile. Con alcuni passaggi matematici arriviamo alla relazione spazio-tempo: . Questa formula ci dice dove si trova un oggetto in un certo istante!
๐ก Ricorda: Nel moto uniformemente accelerato, la velocitร media si calcola come la media aritmetica tra velocitร iniziale e finale:
La chiave รจ capire che nel moto uniformemente accelerato la velocitร cambia in modo costante nel tempo, seguendo la legge .

Accesso a tutti i documenti
Migliora i tuoi voti
Unisciti a milioni di studenti
Ora arriva il bello! Sostituiamo la formula della velocitร media nella nostra relazione spazio-tempo. Otteniamo: .
Ma possiamo fare di meglio. Siccome nel moto uniformemente accelerato sappiamo che , sostituiamo anche questa. Dopo alcuni calcoli matematici (che sembrano complicati ma sono solo algebra!) arriviamo alla legge oraria del moto uniformemente accelerato.
La formula finale รจ: . Questa รจ una delle equazioni piรน importanti della cinematica!
โก Trucco per l'esame: Questa formula ha tre termini: posizione iniziale, contributo della velocitร iniziale e contributo dell'accelerazione. Ciascuno ha un significato fisico preciso!
Il nostro assistente AI รจ costruito specificamente per le esigenze degli studenti. Sulla base dei milioni di contenuti presenti sulla piattaforma, possiamo fornire agli studenti risposte davvero significative e pertinenti. Ma non si tratta solo di risposte, l'assistente รจ in grado di guidare gli studenti attraverso le loro sfide quotidiane di studio, con piani di studio personalizzati, quiz o contenuti nella chat e una personalizzazione al 100% basata sulle competenze e sugli sviluppi degli studenti.
ร possibile scaricare l'applicazione dal Google Play Store e dall'Apple App Store.
Sรฌ, hai accesso completamente gratuito a tutti i contenuti nell'app e puoi chattare o seguire i Creatori in qualsiasi momento. Sbloccherai nuove funzioni crescendo il tuo numero di follower. Inoltre, offriamo Knowunity Premium, che consente di studiare senza alcun limite!!
9
Strumenti Intelligenti NUOVO
Trasforma questi appunti in: โ 50+ Domande di Pratica โ Flashcard Interattive โ Simulazione d'esame completa โ Schemi per Saggi
il punto materiale in movimento, traiettoria, velocitร media, trasformazione da m/s a k/h, grafico spazio tempo, velocitร istantanea, moto rettilineo uniforme, legge oraria del mru, la pendenza
moto vario, accelerazione, grafici, Moto rettilineo uniformemente accelerato, legge oraria, accelerazione media e istantanea
appunti di fisica
moto circolare uniforme
Appunti su MRU e MRUA, fisica
Esercizi svolti sul moto rettilineo uniforme e moto rettilineo uniformemente accelerato
App Store
Google Play
L'applicazione รจ molto facile da usare e ben progettata. Finora ho trovato tutto quello che cercavo e ho potuto imparare molto dalle presentazioni! Utilizzerรฒ sicuramente l'app per i compiti in classe! ร molto utile anche come fonte di ispirazione.
Stefano S
utente iOS
Questa applicazione รจ davvero grande! Ci sono tantissimi appunti e aiuti con lo studio [...]. La mia materia problematica, per esempio, รจ il francese e l'app ha cosรฌ tante opzioni per aiutarmi. Grazie a questa app ho migliorato il mio francese. La consiglio a tutti.
Samantha Klich
utente Android
Wow, sono davvero stupita. Ho appena provato l'app perchรฉ l'ho vista pubblicizzata molte volte e sono rimasta assolutamente sbalordita. Questa app รจ L'AIUTO che cercate per la scuola e soprattutto offre tantissime cose, come allenamenti e schede, che a me personalmente sono state MOLTO utili.
Anna
utente iOS
ร bellissima questa app, la adoro. ร utilissima per lo studio e mi aiuta molto, anzi moltissimo, ma soprattutto mi aiutano molto i quiz, per memorizzare anche quello che non sapevo
Anastasia
utente Android
Fantastica per qualsiasi materia avere gli appunti anche di altre persone รจ molto utile perchรจ posso confrontarmi e vedere come migliorarmi. con i quiz riesco ad apprendere al meglio.
Francesca
utente Android
moooolto utile,gli appunti sono belli e funzionanti,schoolGPT da dei consigli formidabili!!
Marianna
utente Android
L'applicazione รจ semplicemente fantastica! Tutto ciรฒ che devo fare รจ inserire l'argomento nella barra di ricerca e ottengo la risposta molto velocemente. Non devo guardare 10 video di YouTube per capire qualcosa, quindi risparmio tempo. Consigliatissima!
Sudenaz Ocak
utente Android
A scuola andavo malissimo in matematica, ma grazie a questa applicazione ora vado meglio. Vi sono molto grato per aver creato questa app.
Greenlight Bonnie
utente Android
Knowunity รจ un applicazione fantastica,considerando che ha degli schemi veramente molto carini e sfiziosi e che ci sono dei quiz,oltre al fatto che questa cosa dell intelligenza artificiale "school gpt" รจ almeno per me molto utile, perchรฉ a differenza di Chatgpt ti da le spiegazioni, ti spiega ciรฒ che non รจ chiaro! Posso studiare piรน velocemente tramite gli schemi e che posso pubblicare io stessa gli schemi รจ una funzione utilissima per gli altri studenti. Knowunity รจ PERFETTA
Aurora
utente Android
Lโapp funziona benissimo e puoi trovare qualsiasi tipo di informazione. Non ho lโabbonamento ma la parte gratuita รจ sufficiente per uno studio approfondito.
Martina
utente iOS
I quiz E LE flashcard SONO COSร UTILI E ADORO Knowunity IA. ร ANCHE LETTERALMENTE COME CHATGPT MA PIร INTELLIGENTE!! MI HA AIUTATO ANCHE COI MIEI PROBLEMI DI MASCARA!! E ANCHE CON LE MIE VERE MATERIE! OVVIO ๐๐๐ฒ๐ค๐โจ๐๐ฎ
Chiara
utente IOS
Questa app รจ una delle migliori, nientโaltro da dire.
Andrea
utente iOS
L'applicazione รจ molto facile da usare e ben progettata. Finora ho trovato tutto quello che cercavo e ho potuto imparare molto dalle presentazioni! Utilizzerรฒ sicuramente l'app per i compiti in classe! ร molto utile anche come fonte di ispirazione.
Stefano S
utente iOS
Questa applicazione รจ davvero grande! Ci sono tantissimi appunti e aiuti con lo studio [...]. La mia materia problematica, per esempio, รจ il francese e l'app ha cosรฌ tante opzioni per aiutarmi. Grazie a questa app ho migliorato il mio francese. La consiglio a tutti.
Samantha Klich
utente Android
Wow, sono davvero stupita. Ho appena provato l'app perchรฉ l'ho vista pubblicizzata molte volte e sono rimasta assolutamente sbalordita. Questa app รจ L'AIUTO che cercate per la scuola e soprattutto offre tantissime cose, come allenamenti e schede, che a me personalmente sono state MOLTO utili.
Anna
utente iOS
ร bellissima questa app, la adoro. ร utilissima per lo studio e mi aiuta molto, anzi moltissimo, ma soprattutto mi aiutano molto i quiz, per memorizzare anche quello che non sapevo
Anastasia
utente Android
Fantastica per qualsiasi materia avere gli appunti anche di altre persone รจ molto utile perchรจ posso confrontarmi e vedere come migliorarmi. con i quiz riesco ad apprendere al meglio.
Francesca
utente Android
moooolto utile,gli appunti sono belli e funzionanti,schoolGPT da dei consigli formidabili!!
Marianna
utente Android
L'applicazione รจ semplicemente fantastica! Tutto ciรฒ che devo fare รจ inserire l'argomento nella barra di ricerca e ottengo la risposta molto velocemente. Non devo guardare 10 video di YouTube per capire qualcosa, quindi risparmio tempo. Consigliatissima!
Sudenaz Ocak
utente Android
A scuola andavo malissimo in matematica, ma grazie a questa applicazione ora vado meglio. Vi sono molto grato per aver creato questa app.
Greenlight Bonnie
utente Android
Knowunity รจ un applicazione fantastica,considerando che ha degli schemi veramente molto carini e sfiziosi e che ci sono dei quiz,oltre al fatto che questa cosa dell intelligenza artificiale "school gpt" รจ almeno per me molto utile, perchรฉ a differenza di Chatgpt ti da le spiegazioni, ti spiega ciรฒ che non รจ chiaro! Posso studiare piรน velocemente tramite gli schemi e che posso pubblicare io stessa gli schemi รจ una funzione utilissima per gli altri studenti. Knowunity รจ PERFETTA
Aurora
utente Android
Lโapp funziona benissimo e puoi trovare qualsiasi tipo di informazione. Non ho lโabbonamento ma la parte gratuita รจ sufficiente per uno studio approfondito.
Martina
utente iOS
I quiz E LE flashcard SONO COSร UTILI E ADORO Knowunity IA. ร ANCHE LETTERALMENTE COME CHATGPT MA PIร INTELLIGENTE!! MI HA AIUTATO ANCHE COI MIEI PROBLEMI DI MASCARA!! E ANCHE CON LE MIE VERE MATERIE! OVVIO ๐๐๐ฒ๐ค๐โจ๐๐ฎ
Chiara
utente IOS
Questa app รจ una delle migliori, nientโaltro da dire.
Andrea
utente iOS