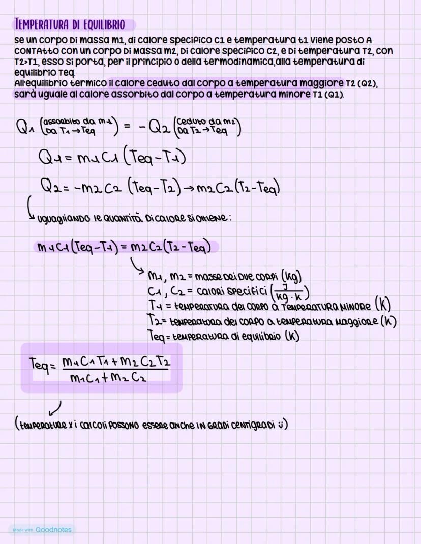
appunti di fisica. argomenti: calore, principio 0 della termodinamica, calore specifico, calorie, capacità termica, temperatura di equilibrio, la propagazione del calore (conduzione, convezione, irraggiamento), passaggi di stato
Iscriviti per mostrare il contenutoÈ gratis!
Accesso a tutti i documenti
Migliora i tuoi voti
Unisciti a milioni di studenti















