Apri l'app

Materie

1696

29 dic 2025

3 pagine

Il Bilancio d'Esercizio: Guida Essenziale

user profile picture

Luca Neri

@appunti_a_colori

Il bilancio d'esercizio è il documento che ogni azienda deve... Mostra di più

Page 1
Page 2
Page 3
1 / 3
# TECNICHE
# AMMINISTRATIVE
# A Colort
# IL BILANCIO D'ESERCIZIO
## Il Bilancio d'Esercizio
### BILANCIO D'ESERCIZIO
II BILANCIO D'ESERCIZIO

Il Bilancio d'Esercizio: Cos'è e a Cosa Serve

Immagina il bilancio d'esercizio come una fotografia completa della tua azienda scattata il 31 dicembre. Questo documento ti dice esattamente quanto vale il patrimonio aziendale e se hai guadagnato o perso soldi durante l'anno.

Il bilancio ha una doppia funzione: è uno strumento decisionale per chi gestisce l'azienda e uno strumento di informazione per tutti gli stakeholder esterni. In pratica, serve per capire se l'impresa ha fatto utili o perdite e qual è il valore del suo patrimonio.

Per arrivare al bilancio finale devi seguire questi passi: prima le scritture di assestamento, poi la situazione patrimoniale ed economica, e infine il bilancio vero e proprio.

💡 Nota importante: Per le società di capitali il bilancio deve essere pubblico e depositato al Registro delle Imprese entro 30 giorni dall'approvazione!

# TECNICHE
# AMMINISTRATIVE
# A Colort
# IL BILANCIO D'ESERCIZIO
## Il Bilancio d'Esercizio
### BILANCIO D'ESERCIZIO
II BILANCIO D'ESERCIZIO

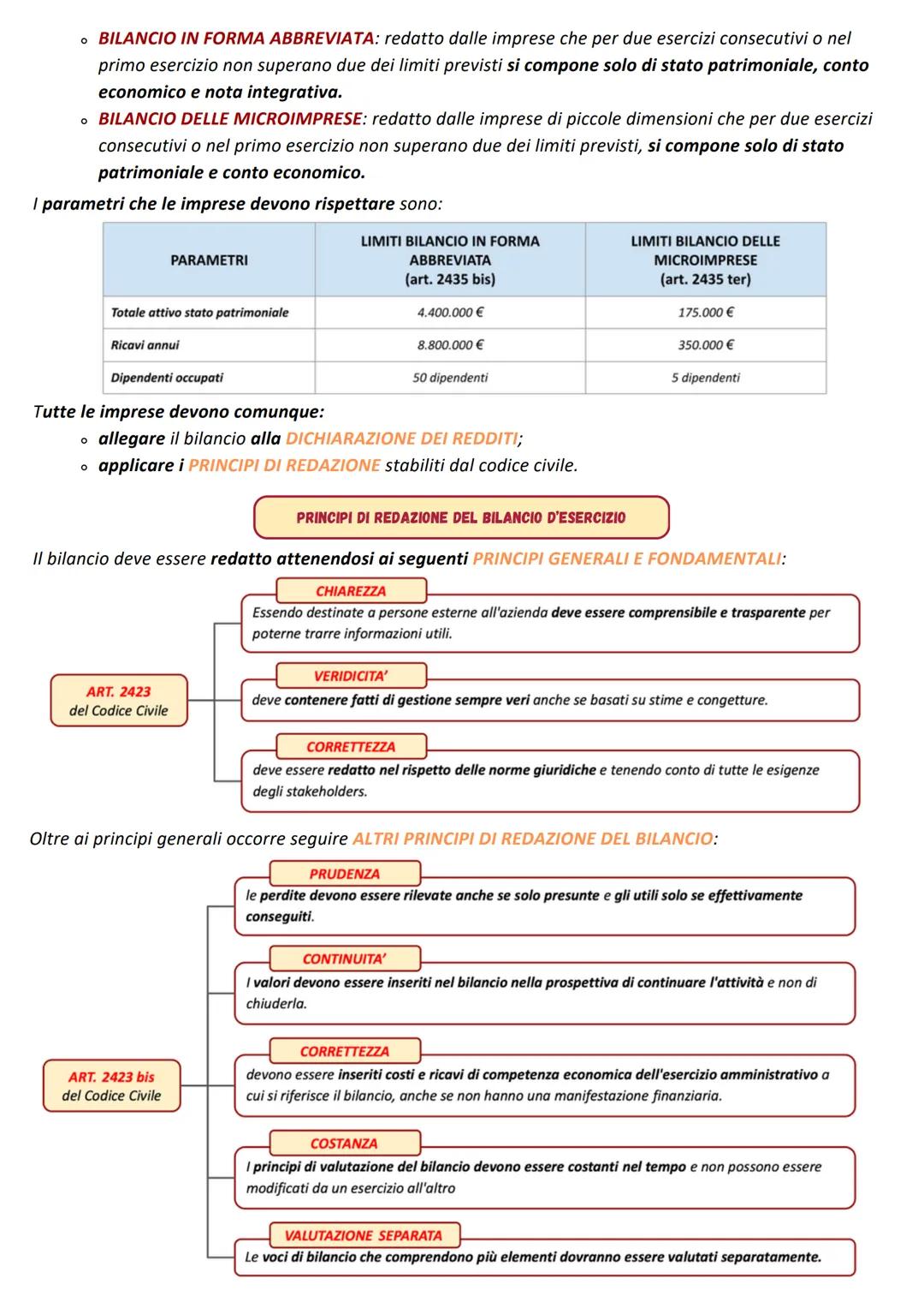
Tipi di Bilancio e Parametri

Non tutte le aziende fanno lo stesso bilancio! Esistono tre forme diverse a seconda delle dimensioni dell'impresa. Il bilancio in forma ordinaria include tutti e quattro i documenti, quello abbreviato solo tre, mentre il bilancio delle microimprese ne ha solo due.

I parametri che determinano quale forma usare sono chiari: per il bilancio abbreviato non devi superare due su tre limiti (4,4 milioni di attivo, 8,8 milioni di ricavi, 50 dipendenti). Per le microimprese i limiti scendono drasticamente (175.000€ di attivo, 350.000€ di ricavi, 5 dipendenti).

Indipendentemente dalla forma, tutte le imprese devono allegare il bilancio alla dichiarazione dei redditi e seguire i principi di redazione stabiliti dal codice civile.

⚖️ Regola fondamentale: I parametri vanno rispettati per due esercizi consecutivi o nel primo esercizio per poter usare le forme semplificate!

# TECNICHE
# AMMINISTRATIVE
# A Colort
# IL BILANCIO D'ESERCIZIO
## Il Bilancio d'Esercizio
### BILANCIO D'ESERCIZIO
II BILANCIO D'ESERCIZIO

Principi di Redazione e Documenti

Il bilancio deve rispettare tre principi fondamentali: chiarezza (deve essere comprensibile), veridicità (contenere solo fatti veri) e correttezza (rispettare le norme). Questi sono stabiliti dall'art. 2423 del Codice Civile.

Ci sono poi altri cinque principi importanti: prudenza (rilevare anche le perdite presunte), continuità (valutare nell'ottica di proseguire l'attività), competenza economica, costanza nei criteri di valutazione e valutazione separata degli elementi.

Il bilancio ordinario include quattro documenti: lo stato patrimoniale (situazione patrimoniale e finanziaria), il conto economico (utili o perdite), la nota integrativa (chiarimenti aggiuntivi) e il rendiconto finanziario (flussi di liquidità).

📊 Ricorda: Lo stato patrimoniale usa lo schema a sezioni contrapposte, mentre il conto economico usa quello a scalare!



Pensavamo che non l'avreste mai chiesto....

Che cos'è l'assistente AI di Knowunity?

Il nostro assistente AI è costruito specificamente per le esigenze degli studenti. Sulla base dei milioni di contenuti presenti sulla piattaforma, possiamo fornire agli studenti risposte davvero significative e pertinenti. Ma non si tratta solo di risposte, l'assistente è in grado di guidare gli studenti attraverso le loro sfide quotidiane di studio, con piani di studio personalizzati, quiz o contenuti nella chat e una personalizzazione al 100% basata sulle competenze e sugli sviluppi degli studenti.

Dove posso scaricare l'applicazione Knowunity?

È possibile scaricare l'applicazione dal Google Play Store e dall'Apple App Store.

Knowunity è davvero gratuita?

Sì, hai accesso completamente gratuito a tutti i contenuti nell'app e puoi chattare o seguire i Creatori in qualsiasi momento. Sbloccherai nuove funzioni crescendo il tuo numero di follower. Inoltre, offriamo Knowunity Premium, che consente di studiare senza alcun limite!!

Non c'è niente di adatto? Esplorare altre aree tematiche.

Recensioni dei nostri utenti. Ci adorano - e anche tu, vedrai .

4.9/5

App Store

4.8/5

Google Play

L'applicazione è molto facile da usare e ben progettata. Finora ho trovato tutto quello che cercavo e ho potuto imparare molto dalle presentazioni! Utilizzerò sicuramente l'app per i compiti in classe! È molto utile anche come fonte di ispirazione.

Stefano S

utente iOS

Questa applicazione è davvero grande! Ci sono tantissimi appunti e aiuti con lo studio [...]. La mia materia problematica, per esempio, è il francese e l'app ha così tante opzioni per aiutarmi. Grazie a questa app ho migliorato il mio francese. La consiglio a tutti.

Samantha Klich

utente Android

Wow, sono davvero stupita. Ho appena provato l'app perché l'ho vista pubblicizzata molte volte e sono rimasta assolutamente sbalordita. Questa app è L'AIUTO che cercate per la scuola e soprattutto offre tantissime cose, come allenamenti e schede, che a me personalmente sono state MOLTO utili.

Anna

utente iOS

È bellissima questa app, la adoro. È utilissima per lo studio e mi aiuta molto, anzi moltissimo, ma soprattutto mi aiutano molto i quiz, per memorizzare anche quello che non sapevo

Anastasia

utente Android

Fantastica per qualsiasi materia avere gli appunti anche di altre persone è molto utile perchè posso confrontarmi e vedere come migliorarmi. con i quiz riesco ad apprendere al meglio.

Francesca

utente Android

moooolto utile,gli appunti sono belli e funzionanti,schoolGPT da dei consigli formidabili!!

Marianna

utente Android

L'applicazione è semplicemente fantastica! Tutto ciò che devo fare è inserire l'argomento nella barra di ricerca e ottengo la risposta molto velocemente. Non devo guardare 10 video di YouTube per capire qualcosa, quindi risparmio tempo. Consigliatissima!

Sudenaz Ocak

utente Android

A scuola andavo malissimo in matematica, ma grazie a questa applicazione ora vado meglio. Vi sono molto grato per aver creato questa app.

Greenlight Bonnie

utente Android

Knowunity è un applicazione fantastica,considerando che ha degli schemi veramente molto carini e sfiziosi e che ci sono dei quiz,oltre al fatto che questa cosa dell intelligenza artificiale "school gpt" è almeno per me molto utile, perché a differenza di Chatgpt ti da le spiegazioni, ti spiega ciò che non è chiaro! Posso studiare più velocemente tramite gli schemi e che posso pubblicare io stessa gli schemi è una funzione utilissima per gli altri studenti. Knowunity è PERFETTA

Aurora

utente Android

L’app funziona benissimo e puoi trovare qualsiasi tipo di informazione. Non ho l’abbonamento ma la parte gratuita è sufficiente per uno studio approfondito.

Martina

utente iOS

in questi ultimi mesi di scuola dove il tempo è ormai poco, mi sta aiutando molto perché piuttosto che farmi io gli schemi su quello che leggo sul libro guardo questi già fatti e li uso come ripasso piuttosto che rileggermi tutto il libro

Chiara

utente IOS

Questa app è una delle migliori, nient’altro da dire.

Andrea

utente iOS

L'applicazione è molto facile da usare e ben progettata. Finora ho trovato tutto quello che cercavo e ho potuto imparare molto dalle presentazioni! Utilizzerò sicuramente l'app per i compiti in classe! È molto utile anche come fonte di ispirazione.

Stefano S

utente iOS

Questa applicazione è davvero grande! Ci sono tantissimi appunti e aiuti con lo studio [...]. La mia materia problematica, per esempio, è il francese e l'app ha così tante opzioni per aiutarmi. Grazie a questa app ho migliorato il mio francese. La consiglio a tutti.

Samantha Klich

utente Android

Wow, sono davvero stupita. Ho appena provato l'app perché l'ho vista pubblicizzata molte volte e sono rimasta assolutamente sbalordita. Questa app è L'AIUTO che cercate per la scuola e soprattutto offre tantissime cose, come allenamenti e schede, che a me personalmente sono state MOLTO utili.

Anna

utente iOS

È bellissima questa app, la adoro. È utilissima per lo studio e mi aiuta molto, anzi moltissimo, ma soprattutto mi aiutano molto i quiz, per memorizzare anche quello che non sapevo

Anastasia

utente Android

Fantastica per qualsiasi materia avere gli appunti anche di altre persone è molto utile perchè posso confrontarmi e vedere come migliorarmi. con i quiz riesco ad apprendere al meglio.

Francesca

utente Android

moooolto utile,gli appunti sono belli e funzionanti,schoolGPT da dei consigli formidabili!!

Marianna

utente Android

L'applicazione è semplicemente fantastica! Tutto ciò che devo fare è inserire l'argomento nella barra di ricerca e ottengo la risposta molto velocemente. Non devo guardare 10 video di YouTube per capire qualcosa, quindi risparmio tempo. Consigliatissima!

Sudenaz Ocak

utente Android

A scuola andavo malissimo in matematica, ma grazie a questa applicazione ora vado meglio. Vi sono molto grato per aver creato questa app.

Greenlight Bonnie

utente Android

Knowunity è un applicazione fantastica,considerando che ha degli schemi veramente molto carini e sfiziosi e che ci sono dei quiz,oltre al fatto che questa cosa dell intelligenza artificiale "school gpt" è almeno per me molto utile, perché a differenza di Chatgpt ti da le spiegazioni, ti spiega ciò che non è chiaro! Posso studiare più velocemente tramite gli schemi e che posso pubblicare io stessa gli schemi è una funzione utilissima per gli altri studenti. Knowunity è PERFETTA

Aurora

utente Android

L’app funziona benissimo e puoi trovare qualsiasi tipo di informazione. Non ho l’abbonamento ma la parte gratuita è sufficiente per uno studio approfondito.

Martina

utente iOS

in questi ultimi mesi di scuola dove il tempo è ormai poco, mi sta aiutando molto perché piuttosto che farmi io gli schemi su quello che leggo sul libro guardo questi già fatti e li uso come ripasso piuttosto che rileggermi tutto il libro

Chiara

utente IOS

Questa app è una delle migliori, nient’altro da dire.

Andrea

utente iOS

 

Economia

1696

29 dic 2025

3 pagine

Il Bilancio d'Esercizio: Guida Essenziale

user profile picture

Luca Neri

@appunti_a_colori

Il bilancio d'esercizio è il documento che ogni azienda deve compilare al 31 dicembre per fotografare la sua situazione economica e patrimoniale. È fondamentale sia per chi gestisce l'impresa per prendere decisioni, sia per chi dall'esterno vuole capire se l'azienda... Mostra di più

# TECNICHE
# AMMINISTRATIVE
# A Colort
# IL BILANCIO D'ESERCIZIO
## Il Bilancio d'Esercizio
### BILANCIO D'ESERCIZIO
II BILANCIO D'ESERCIZIO

Iscriviti per mostrare il contenutoÈ gratis!

Accesso a tutti i documenti

Migliora i tuoi voti

Unisciti a milioni di studenti

Iscrivendosi si accettano i Termini di servizio e la Informativa sulla privacy.

Il Bilancio d'Esercizio: Cos'è e a Cosa Serve

Immagina il bilancio d'esercizio come una fotografia completa della tua azienda scattata il 31 dicembre. Questo documento ti dice esattamente quanto vale il patrimonio aziendale e se hai guadagnato o perso soldi durante l'anno.

Il bilancio ha una doppia funzione: è uno strumento decisionale per chi gestisce l'azienda e uno strumento di informazione per tutti gli stakeholder esterni. In pratica, serve per capire se l'impresa ha fatto utili o perdite e qual è il valore del suo patrimonio.

Per arrivare al bilancio finale devi seguire questi passi: prima le scritture di assestamento, poi la situazione patrimoniale ed economica, e infine il bilancio vero e proprio.

💡 Nota importante: Per le società di capitali il bilancio deve essere pubblico e depositato al Registro delle Imprese entro 30 giorni dall'approvazione!

# TECNICHE
# AMMINISTRATIVE
# A Colort
# IL BILANCIO D'ESERCIZIO
## Il Bilancio d'Esercizio
### BILANCIO D'ESERCIZIO
II BILANCIO D'ESERCIZIO

Iscriviti per mostrare il contenutoÈ gratis!

Accesso a tutti i documenti

Migliora i tuoi voti

Unisciti a milioni di studenti

Iscrivendosi si accettano i Termini di servizio e la Informativa sulla privacy.

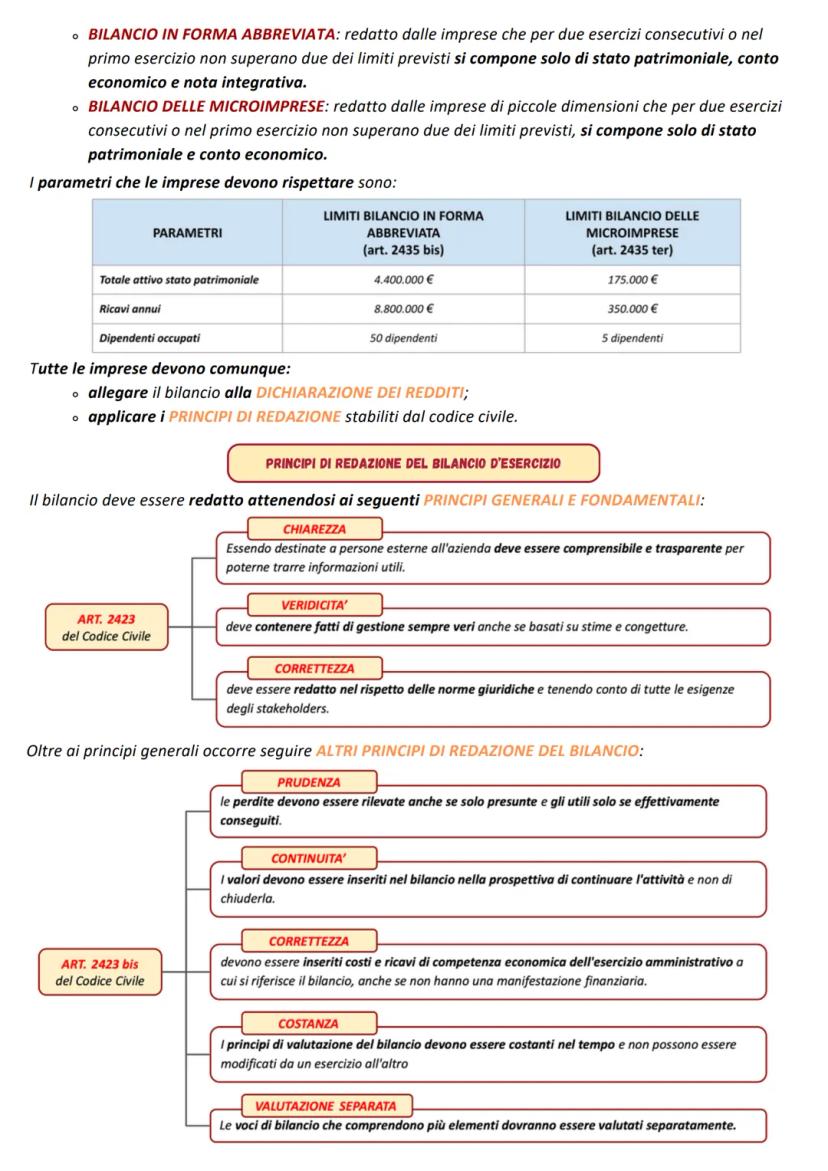
Tipi di Bilancio e Parametri

Non tutte le aziende fanno lo stesso bilancio! Esistono tre forme diverse a seconda delle dimensioni dell'impresa. Il bilancio in forma ordinaria include tutti e quattro i documenti, quello abbreviato solo tre, mentre il bilancio delle microimprese ne ha solo due.

I parametri che determinano quale forma usare sono chiari: per il bilancio abbreviato non devi superare due su tre limiti (4,4 milioni di attivo, 8,8 milioni di ricavi, 50 dipendenti). Per le microimprese i limiti scendono drasticamente (175.000€ di attivo, 350.000€ di ricavi, 5 dipendenti).

Indipendentemente dalla forma, tutte le imprese devono allegare il bilancio alla dichiarazione dei redditi e seguire i principi di redazione stabiliti dal codice civile.

⚖️ Regola fondamentale: I parametri vanno rispettati per due esercizi consecutivi o nel primo esercizio per poter usare le forme semplificate!

# TECNICHE
# AMMINISTRATIVE
# A Colort
# IL BILANCIO D'ESERCIZIO
## Il Bilancio d'Esercizio
### BILANCIO D'ESERCIZIO
II BILANCIO D'ESERCIZIO

Iscriviti per mostrare il contenutoÈ gratis!

Accesso a tutti i documenti

Migliora i tuoi voti

Unisciti a milioni di studenti

Iscrivendosi si accettano i Termini di servizio e la Informativa sulla privacy.

Principi di Redazione e Documenti

Il bilancio deve rispettare tre principi fondamentali: chiarezza (deve essere comprensibile), veridicità (contenere solo fatti veri) e correttezza (rispettare le norme). Questi sono stabiliti dall'art. 2423 del Codice Civile.

Ci sono poi altri cinque principi importanti: prudenza (rilevare anche le perdite presunte), continuità (valutare nell'ottica di proseguire l'attività), competenza economica, costanza nei criteri di valutazione e valutazione separata degli elementi.

Il bilancio ordinario include quattro documenti: lo stato patrimoniale (situazione patrimoniale e finanziaria), il conto economico (utili o perdite), la nota integrativa (chiarimenti aggiuntivi) e il rendiconto finanziario (flussi di liquidità).

📊 Ricorda: Lo stato patrimoniale usa lo schema a sezioni contrapposte, mentre il conto economico usa quello a scalare!

Pensavamo che non l'avreste mai chiesto....

Che cos'è l'assistente AI di Knowunity?

Il nostro assistente AI è costruito specificamente per le esigenze degli studenti. Sulla base dei milioni di contenuti presenti sulla piattaforma, possiamo fornire agli studenti risposte davvero significative e pertinenti. Ma non si tratta solo di risposte, l'assistente è in grado di guidare gli studenti attraverso le loro sfide quotidiane di studio, con piani di studio personalizzati, quiz o contenuti nella chat e una personalizzazione al 100% basata sulle competenze e sugli sviluppi degli studenti.

Dove posso scaricare l'applicazione Knowunity?

È possibile scaricare l'applicazione dal Google Play Store e dall'Apple App Store.

Knowunity è davvero gratuita?

Sì, hai accesso completamente gratuito a tutti i contenuti nell'app e puoi chattare o seguire i Creatori in qualsiasi momento. Sbloccherai nuove funzioni crescendo il tuo numero di follower. Inoltre, offriamo Knowunity Premium, che consente di studiare senza alcun limite!!

25

Strumenti Intelligenti NUOVO

Trasforma questi appunti in: ✓ 50+ Domande di Pratica ✓ Flashcard Interattive ✓ Simulazione Completa d'Esame ✓ Schemi per Saggi

Simulazione d'Esame
Quiz
Flashcard
Saggio

Non c'è niente di adatto? Esplorare altre aree tematiche.

Recensioni dei nostri utenti. Ci adorano - e anche tu, vedrai .

4.9/5

App Store

4.8/5

Google Play

L'applicazione è molto facile da usare e ben progettata. Finora ho trovato tutto quello che cercavo e ho potuto imparare molto dalle presentazioni! Utilizzerò sicuramente l'app per i compiti in classe! È molto utile anche come fonte di ispirazione.

Stefano S

utente iOS

Questa applicazione è davvero grande! Ci sono tantissimi appunti e aiuti con lo studio [...]. La mia materia problematica, per esempio, è il francese e l'app ha così tante opzioni per aiutarmi. Grazie a questa app ho migliorato il mio francese. La consiglio a tutti.

Samantha Klich

utente Android

Wow, sono davvero stupita. Ho appena provato l'app perché l'ho vista pubblicizzata molte volte e sono rimasta assolutamente sbalordita. Questa app è L'AIUTO che cercate per la scuola e soprattutto offre tantissime cose, come allenamenti e schede, che a me personalmente sono state MOLTO utili.

Anna

utente iOS

È bellissima questa app, la adoro. È utilissima per lo studio e mi aiuta molto, anzi moltissimo, ma soprattutto mi aiutano molto i quiz, per memorizzare anche quello che non sapevo

Anastasia

utente Android

Fantastica per qualsiasi materia avere gli appunti anche di altre persone è molto utile perchè posso confrontarmi e vedere come migliorarmi. con i quiz riesco ad apprendere al meglio.

Francesca

utente Android

moooolto utile,gli appunti sono belli e funzionanti,schoolGPT da dei consigli formidabili!!

Marianna

utente Android

L'applicazione è semplicemente fantastica! Tutto ciò che devo fare è inserire l'argomento nella barra di ricerca e ottengo la risposta molto velocemente. Non devo guardare 10 video di YouTube per capire qualcosa, quindi risparmio tempo. Consigliatissima!

Sudenaz Ocak

utente Android

A scuola andavo malissimo in matematica, ma grazie a questa applicazione ora vado meglio. Vi sono molto grato per aver creato questa app.

Greenlight Bonnie

utente Android

Knowunity è un applicazione fantastica,considerando che ha degli schemi veramente molto carini e sfiziosi e che ci sono dei quiz,oltre al fatto che questa cosa dell intelligenza artificiale "school gpt" è almeno per me molto utile, perché a differenza di Chatgpt ti da le spiegazioni, ti spiega ciò che non è chiaro! Posso studiare più velocemente tramite gli schemi e che posso pubblicare io stessa gli schemi è una funzione utilissima per gli altri studenti. Knowunity è PERFETTA

Aurora

utente Android

L’app funziona benissimo e puoi trovare qualsiasi tipo di informazione. Non ho l’abbonamento ma la parte gratuita è sufficiente per uno studio approfondito.

Martina

utente iOS

in questi ultimi mesi di scuola dove il tempo è ormai poco, mi sta aiutando molto perché piuttosto che farmi io gli schemi su quello che leggo sul libro guardo questi già fatti e li uso come ripasso piuttosto che rileggermi tutto il libro

Chiara

utente IOS

Questa app è una delle migliori, nient’altro da dire.

Andrea

utente iOS

L'applicazione è molto facile da usare e ben progettata. Finora ho trovato tutto quello che cercavo e ho potuto imparare molto dalle presentazioni! Utilizzerò sicuramente l'app per i compiti in classe! È molto utile anche come fonte di ispirazione.

Stefano S

utente iOS

Questa applicazione è davvero grande! Ci sono tantissimi appunti e aiuti con lo studio [...]. La mia materia problematica, per esempio, è il francese e l'app ha così tante opzioni per aiutarmi. Grazie a questa app ho migliorato il mio francese. La consiglio a tutti.

Samantha Klich

utente Android

Wow, sono davvero stupita. Ho appena provato l'app perché l'ho vista pubblicizzata molte volte e sono rimasta assolutamente sbalordita. Questa app è L'AIUTO che cercate per la scuola e soprattutto offre tantissime cose, come allenamenti e schede, che a me personalmente sono state MOLTO utili.

Anna

utente iOS

È bellissima questa app, la adoro. È utilissima per lo studio e mi aiuta molto, anzi moltissimo, ma soprattutto mi aiutano molto i quiz, per memorizzare anche quello che non sapevo

Anastasia

utente Android

Fantastica per qualsiasi materia avere gli appunti anche di altre persone è molto utile perchè posso confrontarmi e vedere come migliorarmi. con i quiz riesco ad apprendere al meglio.

Francesca

utente Android

moooolto utile,gli appunti sono belli e funzionanti,schoolGPT da dei consigli formidabili!!

Marianna

utente Android

L'applicazione è semplicemente fantastica! Tutto ciò che devo fare è inserire l'argomento nella barra di ricerca e ottengo la risposta molto velocemente. Non devo guardare 10 video di YouTube per capire qualcosa, quindi risparmio tempo. Consigliatissima!

Sudenaz Ocak

utente Android

A scuola andavo malissimo in matematica, ma grazie a questa applicazione ora vado meglio. Vi sono molto grato per aver creato questa app.

Greenlight Bonnie

utente Android

Knowunity è un applicazione fantastica,considerando che ha degli schemi veramente molto carini e sfiziosi e che ci sono dei quiz,oltre al fatto che questa cosa dell intelligenza artificiale "school gpt" è almeno per me molto utile, perché a differenza di Chatgpt ti da le spiegazioni, ti spiega ciò che non è chiaro! Posso studiare più velocemente tramite gli schemi e che posso pubblicare io stessa gli schemi è una funzione utilissima per gli altri studenti. Knowunity è PERFETTA

Aurora

utente Android

L’app funziona benissimo e puoi trovare qualsiasi tipo di informazione. Non ho l’abbonamento ma la parte gratuita è sufficiente per uno studio approfondito.

Martina

utente iOS

in questi ultimi mesi di scuola dove il tempo è ormai poco, mi sta aiutando molto perché piuttosto che farmi io gli schemi su quello che leggo sul libro guardo questi già fatti e li uso come ripasso piuttosto che rileggermi tutto il libro

Chiara

utente IOS

Questa app è una delle migliori, nient’altro da dire.

Andrea

utente iOS