Il bilancio d'esercizio è il documento più importante che racconta... Mostra di più
Iscriviti per mostrare il contenutoÈ gratis!
Accesso a tutti i documenti
Migliora i tuoi voti
Unisciti a milioni di studenti
Knowunity AI
Materie
Triangle Congruence and Similarity Theorems
Triangle Properties and Classification
Linear Equations and Graphs
Geometric Angle Relationships
Trigonometric Functions and Identities
Equation Solving Techniques
Circle Geometry Fundamentals
Division Operations and Methods
Basic Differentiation Rules
Exponent and Logarithm Properties
Mostra tutti gli argomenti
Human Organ Systems
Reproductive Cell Cycles
Biological Sciences Subdisciplines
Cellular Energy Metabolism
Autotrophic Energy Processes
Inheritance Patterns and Principles
Biomolecular Structure and Organization
Cell Cycle and Division Mechanics
Cellular Organization and Development
Biological Structural Organization
Mostra tutti gli argomenti
Chemical Sciences and Applications
Atomic Structure and Composition
Molecular Electron Structure Representation
Atomic Electron Behavior
Matter Properties and Water
Mole Concept and Calculations
Gas Laws and Behavior
Periodic Table Organization
Chemical Thermodynamics Fundamentals
Chemical Bond Types and Properties
Mostra tutti gli argomenti
European Renaissance and Enlightenment
European Cultural Movements 800-1920
American Revolution Era 1763-1797
American Civil War 1861-1865
Global Imperial Systems
Mongol and Chinese Dynasties
U.S. Presidents and World Leaders
Historical Sources and Documentation
World Wars Era and Impact
World Religious Systems
Mostra tutti gli argomenti
Classic and Contemporary Novels
Literary Character Analysis
Rhetorical Theory and Practice
Classic Literary Narratives
Reading Analysis and Interpretation
Narrative Structure and Techniques
English Language Components
Influential English-Language Authors
Basic Sentence Structure
Narrative Voice and Perspective
Mostra tutti gli argomenti
4,358
•
Aggiornato Apr 30, 2026
•
Lorenzo
@lorenzofincato_qfoy
Il bilancio d'esercizio è il documento più importante che racconta... Mostra di più






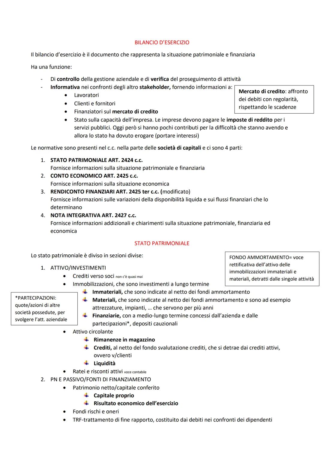
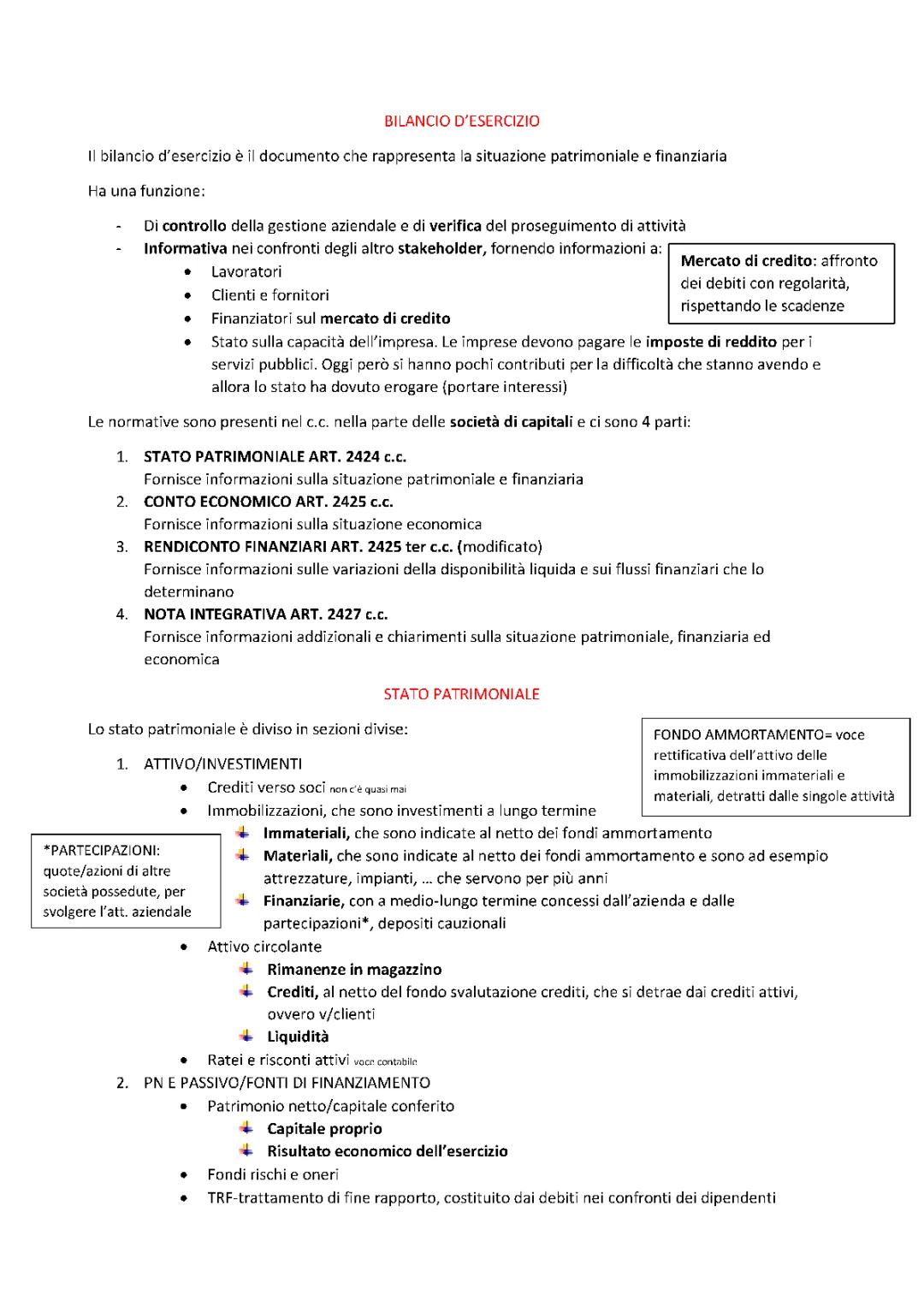
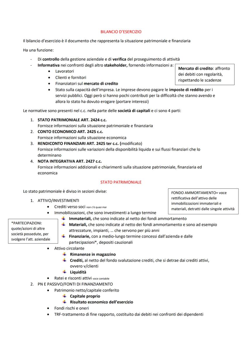
Quando un'azienda vuole mostrare a tutti come sta andando, prepara il bilancio d'esercizio. È un po' come quando devi spiegare ai tuoi genitori come hai speso la paghetta: devi essere trasparente!
Il bilancio ha due funzioni principali. Prima di tutto serve per controllare la gestione aziendale - i manager possono capire se stanno facendo un buon lavoro. Poi ha una funzione informativa: lavoratori, clienti, banche e perfino lo Stato vogliono sapere se l'azienda è solida e affidabile.
Il Codice Civile prevede quattro documenti obbligatori. Lo Stato Patrimoniale (art. 2424) mostra cosa possiede l'azienda e come si è finanziata. Il Conto Economico (art. 2425) rivela se ha guadagnato o perso soldi. Il Rendiconto Finanziario traccia i movimenti di liquidità, mentre la Nota Integrativa spiega tutto nei dettagli.
💡 Ricorda: Il bilancio è come una foto dell'azienda scattata il 31 dicembre - mostra la situazione in quel momento preciso!
Lo Stato Patrimoniale si divide in due parti che devono sempre essere uguali. Nell'Attivo trovi tutti gli investimenti: immobilizzazioni (beni che durano anni), attivo circolante (magazzino, crediti, liquidità). Nel Passivo ci sono le fonti di finanziamento: patrimonio netto (soldi dei proprietari) e debiti vari.

Un concetto fondamentale è capire se un'azienda ha una struttura rigida o elastica. Negli alberghi, ad esempio, prevalgono le immobilizzazioni (edifici, arredi) sull'attivo circolante - questo significa struttura rigida.
Quando prevalgono le attività immobilizzate, l'azienda fa più fatica ad adattarsi ai cambiamenti di mercato. Pensa a un albergo termale che passa di moda: ci vuole tempo e soldi per riconvertirlo. Al contrario, le agenzie di viaggio hanno strutture più elastiche e si adattano meglio.
Il Fondo Svalutazione Crediti è un trucco contabile intelligente. Dato che alcuni clienti potrebbero non pagare, l'azienda mette da parte dei soldi come "cuscinetto di sicurezza". È pura prudenza!
💡 Attenzione: I crediti verso clienti non sono mai certi al 100% - per questo esistono i fondi di svalutazione!
Nel Conto Economico troviamo tutti i costi dell'attività tipica dell'impresa, chiamata gestione caratteristica. Per un albergo sono i costi per lavanderia, personale, ammortamenti. Tutto quello che è inevitabile per far funzionare il business.
La cosa interessante è che i debiti vengono raggruppati tutti insieme, senza distinguere le scadenze o la natura. Questo può creare qualche problema nell'analisi, ma è così che vuole la legge.

Il Conto Economico organizza tutte le operazioni aziendali in diverse "gestioni" - è come dividere le spese in categorie per capire meglio da dove arrivano guadagni e perdite.
Le gestioni ordinarie includono tutto quello che succede normalmente. La gestione caratteristica comprende l'attività principale (per un tour operator sono i viaggi, per un hotel le camere). La gestione finanziaria riguarda interessi attivi e passivi sui prestiti. La gestione fiscale sono semplicemente le tasse.
C'è poi la gestione accessoria - attività secondarie che portano qualche ricavo extra. Ad esempio, un albergo che affitta spazi a terzi o un tour operator specializzato che importa anche tappeti.
La gestione straordinaria include eventi occasionali ed eccezionali. Plusvalenze da vendite impreviste, sopravvenienze attive - tutto quello che esula dalla routine quotidiana.
💡 Curiosità: L'articolo 2425 bis prevede che il conto economico sia scritto in un'unica colonna verticale, partendo dai ricavi e togliendo i costi!
La struttura parte dal Valore della Produzione (tutti i ricavi), sottrae i Costi di Produzione, aggiunge o toglie Proventi e Oneri Finanziari, e infine sottrae le imposte per arrivare al Risultato Economico.

La sezione Proventi e Oneri Finanziari è dove si vedono gli effetti di prestiti e investimenti finanziari. Gli interessi attivi sono soldi che l'azienda guadagna (ad esempio dai depositi bancari), mentre gli oneri finanziari sono quello che paga sui prestiti.
Una voce particolare sono le variazioni delle rimanenze. Si fa la differenza tra quello che c'era in magazzino a inizio anno e quello che c'è alla fine. Se aumentano le scorte, è un costo (ho speso per comprarle), se diminuiscono è un ricavo (ho venduto la merce).
Dopo aver sottratto le imposte IRES, ottieni il Risultato Economico finale - il famoso utile o perdita dell'anno. È il numero che tutti guardano per capire se l'azienda ha fatto bene o male.
💡 Attenzione all'inflazione: Con l'inflazione alta, anche gli interessi attivi stanno salendo, ma il potere d'acquisto si riduce!
Il Patrimonio Netto ha due componenti principali. Il capitale proprio conferito inizialmente dai soci, e il risultato economico d'esercizio che si aggiunge (se è utile) o si sottrae (se è perdita) ogni anno.
Nelle S.p.A. il patrimonio netto è più articolato: capitale sociale, riserva legale (5% degli utili che per legge non si può distribuire), riserve statutarie, utili portati a nuovo e utili dell'esercizio corrente.

Per classificare le aziende si usano tre criteri di grandezza: numero di dipendenti, fatturato (ricavi delle vendite principali) e capitale investito (totale degli investimenti nell'attivo dello stato patrimoniale). Questi parametri aiutano a capire se un'azienda è piccola, media o grande.
Il Rendiconto Finanziario è il documento che traccia tutti i movimenti di liquidità. Confronta i dati dell'anno corrente con quelli precedenti (stati comparati) per capire come si generano e si usano i flussi di cassa.
L'obiettivo è verificare se l'azienda riesce a creare liquidità sufficiente per pagare stipendi, bollette e fornitori. La liquidità si genera principalmente incassando le vendite e recuperando i crediti dai clienti.
💡 Fondamentale: Il rendiconto finanziario ti dice se l'azienda riesce a "far girare" il denaro nel modo giusto!
La Nota Integrativa è come il "manuale di istruzioni" del bilancio. Spiega i criteri di valutazione usati: alcune voci sono al valore nominale (come i conti bancari), altre al presunto valore di realizzo (crediti), altre ancora al costo storico (immobilizzazioni).
Nella nota trovi anche informazioni su partecipazioni, composizione del patrimonio netto, garanzie prestate o ricevute, numero medio di dipendenti. È tutto quello che serve per interpretare correttamente i numeri del bilancio.
Il nostro assistente AI è costruito specificamente per le esigenze degli studenti. Sulla base dei milioni di contenuti presenti sulla piattaforma, possiamo fornire agli studenti risposte davvero significative e pertinenti. Ma non si tratta solo di risposte, l'assistente è in grado di guidare gli studenti attraverso le loro sfide quotidiane di studio, con piani di studio personalizzati, quiz o contenuti nella chat e una personalizzazione al 100% basata sulle competenze e sugli sviluppi degli studenti.
È possibile scaricare l'applicazione dal Google Play Store e dall'Apple App Store.
Sì, hai accesso completamente gratuito a tutti i contenuti nell'app e puoi chattare o seguire i Creatori in qualsiasi momento. Sbloccherai nuove funzioni crescendo il tuo numero di follower. Inoltre, offriamo Knowunity Premium, che consente di studiare senza alcun limite!!
App Store
Google Play
L'applicazione è molto facile da usare e ben progettata. Finora ho trovato tutto quello che cercavo e ho potuto imparare molto dalle presentazioni! Utilizzerò sicuramente l'app per i compiti in classe! È molto utile anche come fonte di ispirazione.
Stefano S
utente iOS
Questa applicazione è davvero grande! Ci sono tantissimi appunti e aiuti con lo studio [...]. La mia materia problematica, per esempio, è il francese e l'app ha così tante opzioni per aiutarmi. Grazie a questa app ho migliorato il mio francese. La consiglio a tutti.
Samantha Klich
utente Android
Wow, sono davvero stupita. Ho appena provato l'app perché l'ho vista pubblicizzata molte volte e sono rimasta assolutamente sbalordita. Questa app è L'AIUTO che cercate per la scuola e soprattutto offre tantissime cose, come allenamenti e schede, che a me personalmente sono state MOLTO utili.
Anna
utente iOS
È bellissima questa app, la adoro. È utilissima per lo studio e mi aiuta molto, anzi moltissimo, ma soprattutto mi aiutano molto i quiz, per memorizzare anche quello che non sapevo
Anastasia
utente Android
Fantastica per qualsiasi materia avere gli appunti anche di altre persone è molto utile perchè posso confrontarmi e vedere come migliorarmi. con i quiz riesco ad apprendere al meglio.
Francesca
utente Android
moooolto utile,gli appunti sono belli e funzionanti,schoolGPT da dei consigli formidabili!!
Marianna
utente Android
L'applicazione è semplicemente fantastica! Tutto ciò che devo fare è inserire l'argomento nella barra di ricerca e ottengo la risposta molto velocemente. Non devo guardare 10 video di YouTube per capire qualcosa, quindi risparmio tempo. Consigliatissima!
Sudenaz Ocak
utente Android
A scuola andavo malissimo in matematica, ma grazie a questa applicazione ora vado meglio. Vi sono molto grato per aver creato questa app.
Greenlight Bonnie
utente Android
Knowunity è un applicazione fantastica,considerando che ha degli schemi veramente molto carini e sfiziosi e che ci sono dei quiz,oltre al fatto che questa cosa dell intelligenza artificiale "school gpt" è almeno per me molto utile, perché a differenza di Chatgpt ti da le spiegazioni, ti spiega ciò che non è chiaro! Posso studiare più velocemente tramite gli schemi e che posso pubblicare io stessa gli schemi è una funzione utilissima per gli altri studenti. Knowunity è PERFETTA
Aurora
utente Android
L’app funziona benissimo e puoi trovare qualsiasi tipo di informazione. Non ho l’abbonamento ma la parte gratuita è sufficiente per uno studio approfondito.
Martina
utente iOS
I quiz E LE flashcard SONO COSÌ UTILI E ADORO Knowunity IA. È ANCHE LETTERALMENTE COME CHATGPT MA PIÙ INTELLIGENTE!! MI HA AIUTATO ANCHE COI MIEI PROBLEMI DI MASCARA!! E ANCHE CON LE MIE VERE MATERIE! OVVIO 😍😁😲🤑💗✨🎀😮
Chiara
utente IOS
Questa app è una delle migliori, nient’altro da dire.
Andrea
utente iOS
L'applicazione è molto facile da usare e ben progettata. Finora ho trovato tutto quello che cercavo e ho potuto imparare molto dalle presentazioni! Utilizzerò sicuramente l'app per i compiti in classe! È molto utile anche come fonte di ispirazione.
Stefano S
utente iOS
Questa applicazione è davvero grande! Ci sono tantissimi appunti e aiuti con lo studio [...]. La mia materia problematica, per esempio, è il francese e l'app ha così tante opzioni per aiutarmi. Grazie a questa app ho migliorato il mio francese. La consiglio a tutti.
Samantha Klich
utente Android
Wow, sono davvero stupita. Ho appena provato l'app perché l'ho vista pubblicizzata molte volte e sono rimasta assolutamente sbalordita. Questa app è L'AIUTO che cercate per la scuola e soprattutto offre tantissime cose, come allenamenti e schede, che a me personalmente sono state MOLTO utili.
Anna
utente iOS
È bellissima questa app, la adoro. È utilissima per lo studio e mi aiuta molto, anzi moltissimo, ma soprattutto mi aiutano molto i quiz, per memorizzare anche quello che non sapevo
Anastasia
utente Android
Fantastica per qualsiasi materia avere gli appunti anche di altre persone è molto utile perchè posso confrontarmi e vedere come migliorarmi. con i quiz riesco ad apprendere al meglio.
Francesca
utente Android
moooolto utile,gli appunti sono belli e funzionanti,schoolGPT da dei consigli formidabili!!
Marianna
utente Android
L'applicazione è semplicemente fantastica! Tutto ciò che devo fare è inserire l'argomento nella barra di ricerca e ottengo la risposta molto velocemente. Non devo guardare 10 video di YouTube per capire qualcosa, quindi risparmio tempo. Consigliatissima!
Sudenaz Ocak
utente Android
A scuola andavo malissimo in matematica, ma grazie a questa applicazione ora vado meglio. Vi sono molto grato per aver creato questa app.
Greenlight Bonnie
utente Android
Knowunity è un applicazione fantastica,considerando che ha degli schemi veramente molto carini e sfiziosi e che ci sono dei quiz,oltre al fatto che questa cosa dell intelligenza artificiale "school gpt" è almeno per me molto utile, perché a differenza di Chatgpt ti da le spiegazioni, ti spiega ciò che non è chiaro! Posso studiare più velocemente tramite gli schemi e che posso pubblicare io stessa gli schemi è una funzione utilissima per gli altri studenti. Knowunity è PERFETTA
Aurora
utente Android
L’app funziona benissimo e puoi trovare qualsiasi tipo di informazione. Non ho l’abbonamento ma la parte gratuita è sufficiente per uno studio approfondito.
Martina
utente iOS
I quiz E LE flashcard SONO COSÌ UTILI E ADORO Knowunity IA. È ANCHE LETTERALMENTE COME CHATGPT MA PIÙ INTELLIGENTE!! MI HA AIUTATO ANCHE COI MIEI PROBLEMI DI MASCARA!! E ANCHE CON LE MIE VERE MATERIE! OVVIO 😍😁😲🤑💗✨🎀😮
Chiara
utente IOS
Questa app è una delle migliori, nient’altro da dire.
Andrea
utente iOS
Lorenzo
@lorenzofincato_qfoy
Il bilancio d'esercizio è il documento più importante che racconta la "storia finanziaria" di un'azienda in un anno. Pensalo come una radiografia completa che mostra quanto vale l'azienda, se guadagna o perde soldi, e come gestisce i suoi flussi di... Mostra di più

Accesso a tutti i documenti
Migliora i tuoi voti
Unisciti a milioni di studenti
Quando un'azienda vuole mostrare a tutti come sta andando, prepara il bilancio d'esercizio. È un po' come quando devi spiegare ai tuoi genitori come hai speso la paghetta: devi essere trasparente!
Il bilancio ha due funzioni principali. Prima di tutto serve per controllare la gestione aziendale - i manager possono capire se stanno facendo un buon lavoro. Poi ha una funzione informativa: lavoratori, clienti, banche e perfino lo Stato vogliono sapere se l'azienda è solida e affidabile.
Il Codice Civile prevede quattro documenti obbligatori. Lo Stato Patrimoniale (art. 2424) mostra cosa possiede l'azienda e come si è finanziata. Il Conto Economico (art. 2425) rivela se ha guadagnato o perso soldi. Il Rendiconto Finanziario traccia i movimenti di liquidità, mentre la Nota Integrativa spiega tutto nei dettagli.
💡 Ricorda: Il bilancio è come una foto dell'azienda scattata il 31 dicembre - mostra la situazione in quel momento preciso!
Lo Stato Patrimoniale si divide in due parti che devono sempre essere uguali. Nell'Attivo trovi tutti gli investimenti: immobilizzazioni (beni che durano anni), attivo circolante (magazzino, crediti, liquidità). Nel Passivo ci sono le fonti di finanziamento: patrimonio netto (soldi dei proprietari) e debiti vari.

Accesso a tutti i documenti
Migliora i tuoi voti
Unisciti a milioni di studenti
Un concetto fondamentale è capire se un'azienda ha una struttura rigida o elastica. Negli alberghi, ad esempio, prevalgono le immobilizzazioni (edifici, arredi) sull'attivo circolante - questo significa struttura rigida.
Quando prevalgono le attività immobilizzate, l'azienda fa più fatica ad adattarsi ai cambiamenti di mercato. Pensa a un albergo termale che passa di moda: ci vuole tempo e soldi per riconvertirlo. Al contrario, le agenzie di viaggio hanno strutture più elastiche e si adattano meglio.
Il Fondo Svalutazione Crediti è un trucco contabile intelligente. Dato che alcuni clienti potrebbero non pagare, l'azienda mette da parte dei soldi come "cuscinetto di sicurezza". È pura prudenza!
💡 Attenzione: I crediti verso clienti non sono mai certi al 100% - per questo esistono i fondi di svalutazione!
Nel Conto Economico troviamo tutti i costi dell'attività tipica dell'impresa, chiamata gestione caratteristica. Per un albergo sono i costi per lavanderia, personale, ammortamenti. Tutto quello che è inevitabile per far funzionare il business.
La cosa interessante è che i debiti vengono raggruppati tutti insieme, senza distinguere le scadenze o la natura. Questo può creare qualche problema nell'analisi, ma è così che vuole la legge.

Accesso a tutti i documenti
Migliora i tuoi voti
Unisciti a milioni di studenti
Il Conto Economico organizza tutte le operazioni aziendali in diverse "gestioni" - è come dividere le spese in categorie per capire meglio da dove arrivano guadagni e perdite.
Le gestioni ordinarie includono tutto quello che succede normalmente. La gestione caratteristica comprende l'attività principale (per un tour operator sono i viaggi, per un hotel le camere). La gestione finanziaria riguarda interessi attivi e passivi sui prestiti. La gestione fiscale sono semplicemente le tasse.
C'è poi la gestione accessoria - attività secondarie che portano qualche ricavo extra. Ad esempio, un albergo che affitta spazi a terzi o un tour operator specializzato che importa anche tappeti.
La gestione straordinaria include eventi occasionali ed eccezionali. Plusvalenze da vendite impreviste, sopravvenienze attive - tutto quello che esula dalla routine quotidiana.
💡 Curiosità: L'articolo 2425 bis prevede che il conto economico sia scritto in un'unica colonna verticale, partendo dai ricavi e togliendo i costi!
La struttura parte dal Valore della Produzione (tutti i ricavi), sottrae i Costi di Produzione, aggiunge o toglie Proventi e Oneri Finanziari, e infine sottrae le imposte per arrivare al Risultato Economico.

Accesso a tutti i documenti
Migliora i tuoi voti
Unisciti a milioni di studenti
La sezione Proventi e Oneri Finanziari è dove si vedono gli effetti di prestiti e investimenti finanziari. Gli interessi attivi sono soldi che l'azienda guadagna (ad esempio dai depositi bancari), mentre gli oneri finanziari sono quello che paga sui prestiti.
Una voce particolare sono le variazioni delle rimanenze. Si fa la differenza tra quello che c'era in magazzino a inizio anno e quello che c'è alla fine. Se aumentano le scorte, è un costo (ho speso per comprarle), se diminuiscono è un ricavo (ho venduto la merce).
Dopo aver sottratto le imposte IRES, ottieni il Risultato Economico finale - il famoso utile o perdita dell'anno. È il numero che tutti guardano per capire se l'azienda ha fatto bene o male.
💡 Attenzione all'inflazione: Con l'inflazione alta, anche gli interessi attivi stanno salendo, ma il potere d'acquisto si riduce!
Il Patrimonio Netto ha due componenti principali. Il capitale proprio conferito inizialmente dai soci, e il risultato economico d'esercizio che si aggiunge (se è utile) o si sottrae (se è perdita) ogni anno.
Nelle S.p.A. il patrimonio netto è più articolato: capitale sociale, riserva legale (5% degli utili che per legge non si può distribuire), riserve statutarie, utili portati a nuovo e utili dell'esercizio corrente.

Accesso a tutti i documenti
Migliora i tuoi voti
Unisciti a milioni di studenti
Per classificare le aziende si usano tre criteri di grandezza: numero di dipendenti, fatturato (ricavi delle vendite principali) e capitale investito (totale degli investimenti nell'attivo dello stato patrimoniale). Questi parametri aiutano a capire se un'azienda è piccola, media o grande.
Il Rendiconto Finanziario è il documento che traccia tutti i movimenti di liquidità. Confronta i dati dell'anno corrente con quelli precedenti (stati comparati) per capire come si generano e si usano i flussi di cassa.
L'obiettivo è verificare se l'azienda riesce a creare liquidità sufficiente per pagare stipendi, bollette e fornitori. La liquidità si genera principalmente incassando le vendite e recuperando i crediti dai clienti.
💡 Fondamentale: Il rendiconto finanziario ti dice se l'azienda riesce a "far girare" il denaro nel modo giusto!
La Nota Integrativa è come il "manuale di istruzioni" del bilancio. Spiega i criteri di valutazione usati: alcune voci sono al valore nominale (come i conti bancari), altre al presunto valore di realizzo (crediti), altre ancora al costo storico (immobilizzazioni).
Nella nota trovi anche informazioni su partecipazioni, composizione del patrimonio netto, garanzie prestate o ricevute, numero medio di dipendenti. È tutto quello che serve per interpretare correttamente i numeri del bilancio.
Il nostro assistente AI è costruito specificamente per le esigenze degli studenti. Sulla base dei milioni di contenuti presenti sulla piattaforma, possiamo fornire agli studenti risposte davvero significative e pertinenti. Ma non si tratta solo di risposte, l'assistente è in grado di guidare gli studenti attraverso le loro sfide quotidiane di studio, con piani di studio personalizzati, quiz o contenuti nella chat e una personalizzazione al 100% basata sulle competenze e sugli sviluppi degli studenti.
È possibile scaricare l'applicazione dal Google Play Store e dall'Apple App Store.
Sì, hai accesso completamente gratuito a tutti i contenuti nell'app e puoi chattare o seguire i Creatori in qualsiasi momento. Sbloccherai nuove funzioni crescendo il tuo numero di follower. Inoltre, offriamo Knowunity Premium, che consente di studiare senza alcun limite!!
84
Strumenti Intelligenti NUOVO
Trasforma questi appunti in: ✓ 50+ Domande di Pratica ✓ Flashcard Interattive ✓ Simulazione d'esame completa ✓ Schemi per Saggi
App Store
Google Play
L'applicazione è molto facile da usare e ben progettata. Finora ho trovato tutto quello che cercavo e ho potuto imparare molto dalle presentazioni! Utilizzerò sicuramente l'app per i compiti in classe! È molto utile anche come fonte di ispirazione.
Stefano S
utente iOS
Questa applicazione è davvero grande! Ci sono tantissimi appunti e aiuti con lo studio [...]. La mia materia problematica, per esempio, è il francese e l'app ha così tante opzioni per aiutarmi. Grazie a questa app ho migliorato il mio francese. La consiglio a tutti.
Samantha Klich
utente Android
Wow, sono davvero stupita. Ho appena provato l'app perché l'ho vista pubblicizzata molte volte e sono rimasta assolutamente sbalordita. Questa app è L'AIUTO che cercate per la scuola e soprattutto offre tantissime cose, come allenamenti e schede, che a me personalmente sono state MOLTO utili.
Anna
utente iOS
È bellissima questa app, la adoro. È utilissima per lo studio e mi aiuta molto, anzi moltissimo, ma soprattutto mi aiutano molto i quiz, per memorizzare anche quello che non sapevo
Anastasia
utente Android
Fantastica per qualsiasi materia avere gli appunti anche di altre persone è molto utile perchè posso confrontarmi e vedere come migliorarmi. con i quiz riesco ad apprendere al meglio.
Francesca
utente Android
moooolto utile,gli appunti sono belli e funzionanti,schoolGPT da dei consigli formidabili!!
Marianna
utente Android
L'applicazione è semplicemente fantastica! Tutto ciò che devo fare è inserire l'argomento nella barra di ricerca e ottengo la risposta molto velocemente. Non devo guardare 10 video di YouTube per capire qualcosa, quindi risparmio tempo. Consigliatissima!
Sudenaz Ocak
utente Android
A scuola andavo malissimo in matematica, ma grazie a questa applicazione ora vado meglio. Vi sono molto grato per aver creato questa app.
Greenlight Bonnie
utente Android
Knowunity è un applicazione fantastica,considerando che ha degli schemi veramente molto carini e sfiziosi e che ci sono dei quiz,oltre al fatto che questa cosa dell intelligenza artificiale "school gpt" è almeno per me molto utile, perché a differenza di Chatgpt ti da le spiegazioni, ti spiega ciò che non è chiaro! Posso studiare più velocemente tramite gli schemi e che posso pubblicare io stessa gli schemi è una funzione utilissima per gli altri studenti. Knowunity è PERFETTA
Aurora
utente Android
L’app funziona benissimo e puoi trovare qualsiasi tipo di informazione. Non ho l’abbonamento ma la parte gratuita è sufficiente per uno studio approfondito.
Martina
utente iOS
I quiz E LE flashcard SONO COSÌ UTILI E ADORO Knowunity IA. È ANCHE LETTERALMENTE COME CHATGPT MA PIÙ INTELLIGENTE!! MI HA AIUTATO ANCHE COI MIEI PROBLEMI DI MASCARA!! E ANCHE CON LE MIE VERE MATERIE! OVVIO 😍😁😲🤑💗✨🎀😮
Chiara
utente IOS
Questa app è una delle migliori, nient’altro da dire.
Andrea
utente iOS
L'applicazione è molto facile da usare e ben progettata. Finora ho trovato tutto quello che cercavo e ho potuto imparare molto dalle presentazioni! Utilizzerò sicuramente l'app per i compiti in classe! È molto utile anche come fonte di ispirazione.
Stefano S
utente iOS
Questa applicazione è davvero grande! Ci sono tantissimi appunti e aiuti con lo studio [...]. La mia materia problematica, per esempio, è il francese e l'app ha così tante opzioni per aiutarmi. Grazie a questa app ho migliorato il mio francese. La consiglio a tutti.
Samantha Klich
utente Android
Wow, sono davvero stupita. Ho appena provato l'app perché l'ho vista pubblicizzata molte volte e sono rimasta assolutamente sbalordita. Questa app è L'AIUTO che cercate per la scuola e soprattutto offre tantissime cose, come allenamenti e schede, che a me personalmente sono state MOLTO utili.
Anna
utente iOS
È bellissima questa app, la adoro. È utilissima per lo studio e mi aiuta molto, anzi moltissimo, ma soprattutto mi aiutano molto i quiz, per memorizzare anche quello che non sapevo
Anastasia
utente Android
Fantastica per qualsiasi materia avere gli appunti anche di altre persone è molto utile perchè posso confrontarmi e vedere come migliorarmi. con i quiz riesco ad apprendere al meglio.
Francesca
utente Android
moooolto utile,gli appunti sono belli e funzionanti,schoolGPT da dei consigli formidabili!!
Marianna
utente Android
L'applicazione è semplicemente fantastica! Tutto ciò che devo fare è inserire l'argomento nella barra di ricerca e ottengo la risposta molto velocemente. Non devo guardare 10 video di YouTube per capire qualcosa, quindi risparmio tempo. Consigliatissima!
Sudenaz Ocak
utente Android
A scuola andavo malissimo in matematica, ma grazie a questa applicazione ora vado meglio. Vi sono molto grato per aver creato questa app.
Greenlight Bonnie
utente Android
Knowunity è un applicazione fantastica,considerando che ha degli schemi veramente molto carini e sfiziosi e che ci sono dei quiz,oltre al fatto che questa cosa dell intelligenza artificiale "school gpt" è almeno per me molto utile, perché a differenza di Chatgpt ti da le spiegazioni, ti spiega ciò che non è chiaro! Posso studiare più velocemente tramite gli schemi e che posso pubblicare io stessa gli schemi è una funzione utilissima per gli altri studenti. Knowunity è PERFETTA
Aurora
utente Android
L’app funziona benissimo e puoi trovare qualsiasi tipo di informazione. Non ho l’abbonamento ma la parte gratuita è sufficiente per uno studio approfondito.
Martina
utente iOS
I quiz E LE flashcard SONO COSÌ UTILI E ADORO Knowunity IA. È ANCHE LETTERALMENTE COME CHATGPT MA PIÙ INTELLIGENTE!! MI HA AIUTATO ANCHE COI MIEI PROBLEMI DI MASCARA!! E ANCHE CON LE MIE VERE MATERIE! OVVIO 😍😁😲🤑💗✨🎀😮
Chiara
utente IOS
Questa app è una delle migliori, nient’altro da dire.
Andrea
utente iOS